比较右美托咪定和异丙酚在机械通气患者中以唾液α -淀淀酶作为应激标志物的镇静效果:一项随机开放标签试验。

Q2 Medicine
Anesthesiology and Pain Medicine Pub Date : 2024-10-27 eCollection Date: 2024-10-01 DOI:10.5812/aapm-149364
Ahmed Mohamed Ibrahim, Mohammed Said ElSharkawy, Reda Khalil Abdelrahman, Abdallah Elabd Hassan, Mohammed Gaber Ibrahim Saad, Ismail Ahmed Elzoughari, Abdelkarem Hussini Ismail Alsayed, Asmaa Abdelbadie, Rehab Abd El Fattah Helal
{"title":"比较右美托咪定和异丙酚在机械通气患者中以唾液α -淀淀酶作为应激标志物的镇静效果:一项随机开放标签试验。","authors":"Ahmed Mohamed Ibrahim, Mohammed Said ElSharkawy, Reda Khalil Abdelrahman, Abdallah Elabd Hassan, Mohammed Gaber Ibrahim Saad, Ismail Ahmed Elzoughari, Abdelkarem Hussini Ismail Alsayed, Asmaa Abdelbadie, Rehab Abd El Fattah Helal","doi":"10.5812/aapm-149364","DOIUrl":null,"url":null,"abstract":"<p><strong>Background: </strong>Patients receiving mechanical ventilation (MV) in the intensive care unit (ICU) experience significant distress, which triggers a stress response.</p><p><strong>Objectives: </strong>This study aimed to assess the effectiveness of dexmedetomidine and propofol in reducing stress levels, using salivary alpha-amylase (SAA) as a specific indicator of stress.</p><p><strong>Methods: </strong>A randomized, open-label trial was conducted involving 40 patients newly placed on MV. In a parallel study design, participants were randomly assigned into two equal groups (n = 20) through the sealed envelope method using computer-generated randomization. Group D received dexmedetomidine at a dosage of 0.2 to 1.4 μg/kg/h, while group P received propofol at a dosage of 0.3 to 4 mg/kg/h for sedation. Salivary alpha-amylase levels were measured according to the kit manufacturer's protocol.</p><p><strong>Results: </strong>Salivary alpha-amylase levels were significantly lower in group D than in group P at 12, 24, 36, and 48 hours after the initiation of MV (P < 0.05). Heart rate and mean arterial pressure were also significantly lower in group D at 12, 18, and 24 hours (P < 0.05). The duration of MV was significantly shorter in group D compared to group P (4.4 ± 1.85 vs 6.1 ± 2.45 days, P = 0.018). There were no significant differences in ICU length of stay, mortality, or adverse events between the groups.</p><p><strong>Conclusions: </strong>Dexmedetomidine demonstrated superior stress-reducing effects compared to propofol in MV patients, as evidenced by lower SAA levels and improved hemodynamic stability. The shorter duration of MV in the dexmedetomidine group further suggests potential clinical benefits of its use in managing stress in MV patients.</p>","PeriodicalId":7841,"journal":{"name":"Anesthesiology and Pain Medicine","volume":"14 5","pages":"e149364"},"PeriodicalIF":0.0000,"publicationDate":"2024-10-27","publicationTypes":"Journal Article","fieldsOfStudy":null,"isOpenAccess":false,"openAccessPdf":"https://www.ncbi.nlm.nih.gov/pmc/articles/PMC12275634/pdf/","citationCount":"0","resultStr":"{\"title\":\"Comparing the Sedative Effect of Dexmedetomidine and Propofol in Mechanically Ventilated Patients Using Salivary Alpha-Amylase as a Stress Marker: A Randomized Open-Label Trial.\",\"authors\":\"Ahmed Mohamed Ibrahim, Mohammed Said ElSharkawy, Reda Khalil Abdelrahman, Abdallah Elabd Hassan, Mohammed Gaber Ibrahim Saad, Ismail Ahmed Elzoughari, Abdelkarem Hussini Ismail Alsayed, Asmaa Abdelbadie, Rehab Abd El Fattah Helal\",\"doi\":\"10.5812/aapm-149364\",\"DOIUrl\":null,\"url\":null,\"abstract\":\"<p><strong>Background: </strong>Patients receiving mechanical ventilation (MV) in the intensive care unit (ICU) experience significant distress, which triggers a stress response.</p><p><strong>Objectives: </strong>This study aimed to assess the effectiveness of dexmedetomidine and propofol in reducing stress levels, using salivary alpha-amylase (SAA) as a specific indicator of stress.</p><p><strong>Methods: </strong>A randomized, open-label trial was conducted involving 40 patients newly placed on MV. In a parallel study design, participants were randomly assigned into two equal groups (n = 20) through the sealed envelope method using computer-generated randomization. Group D received dexmedetomidine at a dosage of 0.2 to 1.4 μg/kg/h, while group P received propofol at a dosage of 0.3 to 4 mg/kg/h for sedation. Salivary alpha-amylase levels were measured according to the kit manufacturer's protocol.</p><p><strong>Results: </strong>Salivary alpha-amylase levels were significantly lower in group D than in group P at 12, 24, 36, and 48 hours after the initiation of MV (P < 0.05). Heart rate and mean arterial pressure were also significantly lower in group D at 12, 18, and 24 hours (P < 0.05). The duration of MV was significantly shorter in group D compared to group P (4.4 ± 1.85 vs 6.1 ± 2.45 days, P = 0.018). There were no significant differences in ICU length of stay, mortality, or adverse events between the groups.</p><p><strong>Conclusions: </strong>Dexmedetomidine demonstrated superior stress-reducing effects compared to propofol in MV patients, as evidenced by lower SAA levels and improved hemodynamic stability. The shorter duration of MV in the dexmedetomidine group further suggests potential clinical benefits of its use in managing stress in MV patients.</p>\",\"PeriodicalId\":7841,\"journal\":{\"name\":\"Anesthesiology and Pain Medicine\",\"volume\":\"14 5\",\"pages\":\"e149364\"},\"PeriodicalIF\":0.0000,\"publicationDate\":\"2024-10-27\",\"publicationTypes\":\"Journal Article\",\"fieldsOfStudy\":null,\"isOpenAccess\":false,\"openAccessPdf\":\"https://www.ncbi.nlm.nih.gov/pmc/articles/PMC12275634/pdf/\",\"citationCount\":\"0\",\"resultStr\":null,\"platform\":\"Semanticscholar\",\"paperid\":null,\"PeriodicalName\":\"Anesthesiology and Pain Medicine\",\"FirstCategoryId\":\"1085\",\"ListUrlMain\":\"https://doi.org/10.5812/aapm-149364\",\"RegionNum\":0,\"RegionCategory\":null,\"ArticlePicture\":[],\"TitleCN\":null,\"AbstractTextCN\":null,\"PMCID\":null,\"EPubDate\":\"2024/10/1 0:00:00\",\"PubModel\":\"eCollection\",\"JCR\":\"Q2\",\"JCRName\":\"Medicine\",\"Score\":null,\"Total\":0}","platform":"Semanticscholar","paperid":null,"PeriodicalName":"Anesthesiology and Pain Medicine","FirstCategoryId":"1085","ListUrlMain":"https://doi.org/10.5812/aapm-149364","RegionNum":0,"RegionCategory":null,"ArticlePicture":[],"TitleCN":null,"AbstractTextCN":null,"PMCID":null,"EPubDate":"2024/10/1 0:00:00","PubModel":"eCollection","JCR":"Q2","JCRName":"Medicine","Score":null,"Total":0}
引用次数: 0

摘要

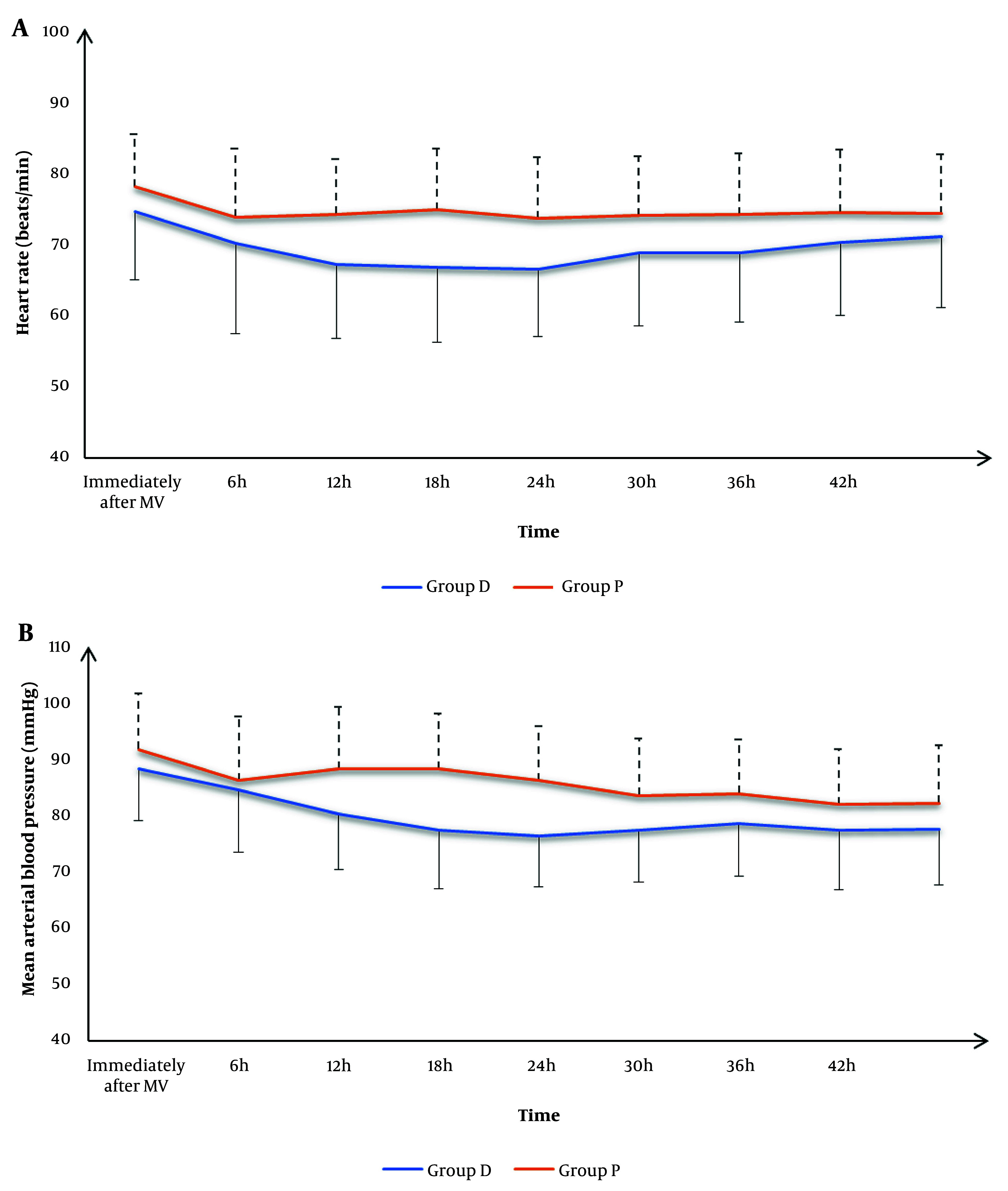
背景:在重症监护病房(ICU)接受机械通气(MV)的患者会经历显著的窘迫,从而引发应激反应。目的:本研究以唾液α -淀粉酶(SAA)作为应激指标,评价右美托咪定和异丙酚降低应激水平的有效性。方法:一项随机、开放标签的试验,涉及40名新接受MV治疗的患者。在平行研究设计中,参与者通过计算机生成随机化的密封信封法随机分为两组(n = 20)。D组给予右美托咪定0.2 ~ 1.4 μg/kg/h, P组给予异丙酚0.3 ~ 4 mg/kg/h镇静。唾液α -淀粉酶水平根据试剂盒制造商的方案测定。结果:MV开始后12、24、36、48 h, D组唾液α -淀粉酶水平显著低于P组(P < 0.05)。D组患者12、18、24 h心率、平均动脉压均显著降低(P < 0.05)。D组的MV持续时间明显短于P组(4.4±1.85 vs 6.1±2.45,P = 0.018)。两组间ICU住院时间、死亡率或不良事件均无显著差异。结论:与异丙酚相比,右美托咪定在MV患者中表现出更好的减压效果,这可以通过降低SAA水平和改善血流动力学稳定性来证明。右美托咪定组MV持续时间较短,进一步表明其在管理MV患者压力方面的潜在临床益处。
本文章由计算机程序翻译,如有差异,请以英文原文为准。

Comparing the Sedative Effect of Dexmedetomidine and Propofol in Mechanically Ventilated Patients Using Salivary Alpha-Amylase as a Stress Marker: A Randomized Open-Label Trial.

Comparing the Sedative Effect of Dexmedetomidine and Propofol in Mechanically Ventilated Patients Using Salivary Alpha-Amylase as a Stress Marker: A Randomized Open-Label Trial.

Comparing the Sedative Effect of Dexmedetomidine and Propofol in Mechanically Ventilated Patients Using Salivary Alpha-Amylase as a Stress Marker: A Randomized Open-Label Trial.

Background: Patients receiving mechanical ventilation (MV) in the intensive care unit (ICU) experience significant distress, which triggers a stress response.

Objectives: This study aimed to assess the effectiveness of dexmedetomidine and propofol in reducing stress levels, using salivary alpha-amylase (SAA) as a specific indicator of stress.

Methods: A randomized, open-label trial was conducted involving 40 patients newly placed on MV. In a parallel study design, participants were randomly assigned into two equal groups (n = 20) through the sealed envelope method using computer-generated randomization. Group D received dexmedetomidine at a dosage of 0.2 to 1.4 μg/kg/h, while group P received propofol at a dosage of 0.3 to 4 mg/kg/h for sedation. Salivary alpha-amylase levels were measured according to the kit manufacturer's protocol.

Results: Salivary alpha-amylase levels were significantly lower in group D than in group P at 12, 24, 36, and 48 hours after the initiation of MV (P < 0.05). Heart rate and mean arterial pressure were also significantly lower in group D at 12, 18, and 24 hours (P < 0.05). The duration of MV was significantly shorter in group D compared to group P (4.4 ± 1.85 vs 6.1 ± 2.45 days, P = 0.018). There were no significant differences in ICU length of stay, mortality, or adverse events between the groups.

Conclusions: Dexmedetomidine demonstrated superior stress-reducing effects compared to propofol in MV patients, as evidenced by lower SAA levels and improved hemodynamic stability. The shorter duration of MV in the dexmedetomidine group further suggests potential clinical benefits of its use in managing stress in MV patients.

求助全文
通过发布文献求助,成功后即可免费获取论文全文。 去求助
来源期刊
Anesthesiology and Pain Medicine
Anesthesiology and Pain Medicine Medicine-Anesthesiology and Pain Medicine
CiteScore
4.60
自引率
0.00%
发文量
49
×
引用
GB/T 7714-2015
复制
MLA
复制
APA
复制
导出至
BibTeX EndNote RefMan NoteFirst NoteExpress
×
提示
您的信息不完整,为了账户安全,请先补充。
现在去补充
×
提示
您因"违规操作"
具体请查看互助需知
我知道了
×
提示
确定
请完成安全验证×
copy
已复制链接
快去分享给好友吧!
我知道了
右上角分享
点击右上角分享
0
联系我们:info@booksci.cn Book学术提供免费学术资源搜索服务,方便国内外学者检索中英文文献。致力于提供最便捷和优质的服务体验。 Copyright © 2023 布克学术 All rights reserved.
京ICP备2023020795号-1
ghs 京公网安备 11010802042870号
Book学术文献互助
Book学术文献互助群
群 号:604180095
Book学术官方微信