在加纳的一个HIV队列中,使用多替替韦锚定治疗的病毒学控制缓慢,但免疫和代谢恢复强劲。

IF 4 3区 医学 Q2 VIROLOGY
Mark Appeaning, Edwin Magomere, Alberta Mawulawoe Abotsi, Nana Ama Yeboaa Amoako, Kirk Elorm Kouffie, Becky Ewurama Tetteh, Bridget Nana Darkoa Quist, Christèle Nguepou Tchopba, Gloria Akosua Ansa, Evelyn Yayra Bonney, Peter Kojo Quashie
{"title":"在加纳的一个HIV队列中,使用多替替韦锚定治疗的病毒学控制缓慢,但免疫和代谢恢复强劲。","authors":"Mark Appeaning, Edwin Magomere, Alberta Mawulawoe Abotsi, Nana Ama Yeboaa Amoako, Kirk Elorm Kouffie, Becky Ewurama Tetteh, Bridget Nana Darkoa Quist, Christèle Nguepou Tchopba, Gloria Akosua Ansa, Evelyn Yayra Bonney, Peter Kojo Quashie","doi":"10.1186/s12985-025-02873-w","DOIUrl":null,"url":null,"abstract":"<p><strong>Introduction: </strong>The West African HIV/AIDS epidemic, historically driven by HIV-1 CRF02_AG, other recombinant forms and HIV-2, remains less researched for various preventive and therapeutic interventions. We established the WACCBIP long-term HIV Infection Cohort (WHICH Study) to investigate the dynamics of HIV epidemic in Ghana. This report evaluates viral load dynamics, immune responses, and organ-level metabolic changes following antiretroviral therapy (ART) initiation.</p><p><strong>Method: </strong>We collected blood samples, medical, and demographic data from ART-naïve individuals at baseline and six months post-ART, and from ART-experienced individuals at a single time point. Participants, aged 10 years and above, were purposively enrolled from six health facilities. Laboratory analyses included viral load, CD4 and CD8 counts, co-infection screening (hepatitis B/C, syphilis), liver and kidney function tests, haemoglobin estimation, and HIV-1/2 typing. Chi-square and logistic regression analyses were used to assess associations between participant demographics and clinical data with uncontrolled viremia and immune recovery.</p><p><strong>Results: </strong>A total of 426 participants were recruited, comprising 159 ART-naïve and 267 ART-experienced individuals, with a mean age of 41.5 years. Median ART duration for ART-experienced was greater than 5 years. Infections included HIV-1 (78.6%), HIV-2 (2.1%), and dual HIV-1&2 (19.2%). Common comorbidities were anaemia (54.9%), hepatitis B (9.5%), and hypertension (8.2%). Most participant (97.9%) were on dolutegravir-anchored regimen. Among ART-naïve individuals, median viral load decreased from log<sub>10</sub> 5.16 at baseline to log<sub>10</sub> 4.64 copies/mL after six months (p = 0.0156). Median viral load for the ART-experienced arm was log<sub>10</sub> 3.23 copies/mL. Median CD4 count increased from 290 cells/mm³ in ART-naïve participants to 504 cells/mm³ at six-months post-ART (p = 0.0003) and 581 cells/mm³ in ART-experienced participants (p < 0.0001). ART-naïve participants were 19 times more likely to have unsuppressed viral loads at baseline compared to ART-experienced participants. ARTnaïve- participants had significantly decreased odds of immune recovery (aOR = 0.35, 95% CI: 0.140-0.85, p = 0.021), as did those with low CD4/CD8 ratio (aOR = 0.06, 95% CI: 0.02-0.20; p < 0.001). Kidney function and haemoglobin levels were significantly improved six-month post-ART among the ART-naïve group.</p><p><strong>Conclusion: </strong>This study highlights the significant reduction in viral load and improved immune recovery following ART initiation despite uncontrolled viremia in a subset of participants. This cohort presents an opportunity to study Ghana's local HIV epidemic, including HIV-1 and HIV-2, and impact of ART on disease progression.</p>","PeriodicalId":23616,"journal":{"name":"Virology Journal","volume":"22 1","pages":"247"},"PeriodicalIF":4.0000,"publicationDate":"2025-07-19","publicationTypes":"Journal Article","fieldsOfStudy":null,"isOpenAccess":false,"openAccessPdf":"https://www.ncbi.nlm.nih.gov/pmc/articles/PMC12275435/pdf/","citationCount":"0","resultStr":"{\"title\":\"Slow virologic control but strong immune and metabolic recovery with dolutegravir-anchored therapy in an HIV cohort in Ghana.\",\"authors\":\"Mark Appeaning, Edwin Magomere, Alberta Mawulawoe Abotsi, Nana Ama Yeboaa Amoako, Kirk Elorm Kouffie, Becky Ewurama Tetteh, Bridget Nana Darkoa Quist, Christèle Nguepou Tchopba, Gloria Akosua Ansa, Evelyn Yayra Bonney, Peter Kojo Quashie\",\"doi\":\"10.1186/s12985-025-02873-w\",\"DOIUrl\":null,\"url\":null,\"abstract\":\"<p><strong>Introduction: </strong>The West African HIV/AIDS epidemic, historically driven by HIV-1 CRF02_AG, other recombinant forms and HIV-2, remains less researched for various preventive and therapeutic interventions. We established the WACCBIP long-term HIV Infection Cohort (WHICH Study) to investigate the dynamics of HIV epidemic in Ghana. This report evaluates viral load dynamics, immune responses, and organ-level metabolic changes following antiretroviral therapy (ART) initiation.</p><p><strong>Method: </strong>We collected blood samples, medical, and demographic data from ART-naïve individuals at baseline and six months post-ART, and from ART-experienced individuals at a single time point. Participants, aged 10 years and above, were purposively enrolled from six health facilities. Laboratory analyses included viral load, CD4 and CD8 counts, co-infection screening (hepatitis B/C, syphilis), liver and kidney function tests, haemoglobin estimation, and HIV-1/2 typing. Chi-square and logistic regression analyses were used to assess associations between participant demographics and clinical data with uncontrolled viremia and immune recovery.</p><p><strong>Results: </strong>A total of 426 participants were recruited, comprising 159 ART-naïve and 267 ART-experienced individuals, with a mean age of 41.5 years. Median ART duration for ART-experienced was greater than 5 years. Infections included HIV-1 (78.6%), HIV-2 (2.1%), and dual HIV-1&2 (19.2%). Common comorbidities were anaemia (54.9%), hepatitis B (9.5%), and hypertension (8.2%). Most participant (97.9%) were on dolutegravir-anchored regimen. Among ART-naïve individuals, median viral load decreased from log<sub>10</sub> 5.16 at baseline to log<sub>10</sub> 4.64 copies/mL after six months (p = 0.0156). Median viral load for the ART-experienced arm was log<sub>10</sub> 3.23 copies/mL. Median CD4 count increased from 290 cells/mm³ in ART-naïve participants to 504 cells/mm³ at six-months post-ART (p = 0.0003) and 581 cells/mm³ in ART-experienced participants (p < 0.0001). ART-naïve participants were 19 times more likely to have unsuppressed viral loads at baseline compared to ART-experienced participants. ARTnaïve- participants had significantly decreased odds of immune recovery (aOR = 0.35, 95% CI: 0.140-0.85, p = 0.021), as did those with low CD4/CD8 ratio (aOR = 0.06, 95% CI: 0.02-0.20; p < 0.001). Kidney function and haemoglobin levels were significantly improved six-month post-ART among the ART-naïve group.</p><p><strong>Conclusion: </strong>This study highlights the significant reduction in viral load and improved immune recovery following ART initiation despite uncontrolled viremia in a subset of participants. This cohort presents an opportunity to study Ghana's local HIV epidemic, including HIV-1 and HIV-2, and impact of ART on disease progression.</p>\",\"PeriodicalId\":23616,\"journal\":{\"name\":\"Virology Journal\",\"volume\":\"22 1\",\"pages\":\"247\"},\"PeriodicalIF\":4.0000,\"publicationDate\":\"2025-07-19\",\"publicationTypes\":\"Journal Article\",\"fieldsOfStudy\":null,\"isOpenAccess\":false,\"openAccessPdf\":\"https://www.ncbi.nlm.nih.gov/pmc/articles/PMC12275435/pdf/\",\"citationCount\":\"0\",\"resultStr\":null,\"platform\":\"Semanticscholar\",\"paperid\":null,\"PeriodicalName\":\"Virology Journal\",\"FirstCategoryId\":\"3\",\"ListUrlMain\":\"https://doi.org/10.1186/s12985-025-02873-w\",\"RegionNum\":3,\"RegionCategory\":\"医学\",\"ArticlePicture\":[],\"TitleCN\":null,\"AbstractTextCN\":null,\"PMCID\":null,\"EPubDate\":\"\",\"PubModel\":\"\",\"JCR\":\"Q2\",\"JCRName\":\"VIROLOGY\",\"Score\":null,\"Total\":0}","platform":"Semanticscholar","paperid":null,"PeriodicalName":"Virology Journal","FirstCategoryId":"3","ListUrlMain":"https://doi.org/10.1186/s12985-025-02873-w","RegionNum":3,"RegionCategory":"医学","ArticlePicture":[],"TitleCN":null,"AbstractTextCN":null,"PMCID":null,"EPubDate":"","PubModel":"","JCR":"Q2","JCRName":"VIROLOGY","Score":null,"Total":0}
引用次数: 0

摘要

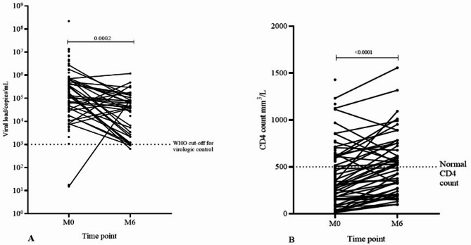
西非的艾滋病毒/艾滋病流行历史上是由HIV-1 CRF02_AG、其他重组形式和HIV-2驱动的,但对各种预防和治疗干预措施的研究仍然较少。我们建立了WACCBIP长期HIV感染队列(WHICH研究)来调查加纳HIV流行的动态。本报告评估了抗逆转录病毒治疗(ART)开始后的病毒载量动态、免疫反应和器官水平代谢变化。方法:我们在基线和抗逆转录病毒治疗后6个月收集ART-naïve个体的血液样本、医学和人口统计数据,以及在单一时间点收集有抗逆转录病毒治疗经验的个体的数据。参与者年龄在10岁及以上,有意从6家卫生机构招募。实验室分析包括病毒载量、CD4和CD8计数、合并感染筛查(乙型/丙型肝炎、梅毒)、肝肾功能检查、血红蛋白估计和HIV-1/2分型。使用卡方和逻辑回归分析来评估参与者人口统计学和临床数据与未控制的病毒血症和免疫恢复之间的关系。结果:共招募了426名参与者,包括159名ART-naïve和267名有art经验的个体,平均年龄为41.5岁。接受过ART治疗的患者中位ART持续时间大于5年。感染包括HIV-1(78.6%)、HIV-2(2.1%)和双重HIV-1&2(19.2%)。常见的合并症是贫血(54.9%)、乙型肝炎(9.5%)和高血压(8.2%)。大多数参与者(97.9%)采用盐酸孕酮锚定方案。在ART-naïve个体中,六个月后中位病毒载量从基线时的log10 5.16拷贝/毫升下降到log10 4.64拷贝/毫升(p = 0.0156)。接受art治疗组的中位病毒载量为log10 3.23拷贝/mL。中位CD4计数从ART-naïve参与者的290个细胞/mm³增加到ART后6个月的504个细胞/mm³(p = 0.0003),经历过ART的参与者的581个细胞/mm³(p结论:本研究强调了在一部分参与者中病毒血症不受控制的情况下,开始ART后病毒载量显著降低,免疫恢复得到改善。该队列提供了一个机会来研究加纳当地的艾滋病毒流行情况,包括HIV-1和HIV-2,以及抗逆转录病毒治疗对疾病进展的影响。
本文章由计算机程序翻译,如有差异,请以英文原文为准。

Slow virologic control but strong immune and metabolic recovery with dolutegravir-anchored therapy in an HIV cohort in Ghana.

Slow virologic control but strong immune and metabolic recovery with dolutegravir-anchored therapy in an HIV cohort in Ghana.

Slow virologic control but strong immune and metabolic recovery with dolutegravir-anchored therapy in an HIV cohort in Ghana.

Slow virologic control but strong immune and metabolic recovery with dolutegravir-anchored therapy in an HIV cohort in Ghana.

Introduction: The West African HIV/AIDS epidemic, historically driven by HIV-1 CRF02_AG, other recombinant forms and HIV-2, remains less researched for various preventive and therapeutic interventions. We established the WACCBIP long-term HIV Infection Cohort (WHICH Study) to investigate the dynamics of HIV epidemic in Ghana. This report evaluates viral load dynamics, immune responses, and organ-level metabolic changes following antiretroviral therapy (ART) initiation.

Method: We collected blood samples, medical, and demographic data from ART-naïve individuals at baseline and six months post-ART, and from ART-experienced individuals at a single time point. Participants, aged 10 years and above, were purposively enrolled from six health facilities. Laboratory analyses included viral load, CD4 and CD8 counts, co-infection screening (hepatitis B/C, syphilis), liver and kidney function tests, haemoglobin estimation, and HIV-1/2 typing. Chi-square and logistic regression analyses were used to assess associations between participant demographics and clinical data with uncontrolled viremia and immune recovery.

Results: A total of 426 participants were recruited, comprising 159 ART-naïve and 267 ART-experienced individuals, with a mean age of 41.5 years. Median ART duration for ART-experienced was greater than 5 years. Infections included HIV-1 (78.6%), HIV-2 (2.1%), and dual HIV-1&2 (19.2%). Common comorbidities were anaemia (54.9%), hepatitis B (9.5%), and hypertension (8.2%). Most participant (97.9%) were on dolutegravir-anchored regimen. Among ART-naïve individuals, median viral load decreased from log10 5.16 at baseline to log10 4.64 copies/mL after six months (p = 0.0156). Median viral load for the ART-experienced arm was log10 3.23 copies/mL. Median CD4 count increased from 290 cells/mm³ in ART-naïve participants to 504 cells/mm³ at six-months post-ART (p = 0.0003) and 581 cells/mm³ in ART-experienced participants (p < 0.0001). ART-naïve participants were 19 times more likely to have unsuppressed viral loads at baseline compared to ART-experienced participants. ARTnaïve- participants had significantly decreased odds of immune recovery (aOR = 0.35, 95% CI: 0.140-0.85, p = 0.021), as did those with low CD4/CD8 ratio (aOR = 0.06, 95% CI: 0.02-0.20; p < 0.001). Kidney function and haemoglobin levels were significantly improved six-month post-ART among the ART-naïve group.

Conclusion: This study highlights the significant reduction in viral load and improved immune recovery following ART initiation despite uncontrolled viremia in a subset of participants. This cohort presents an opportunity to study Ghana's local HIV epidemic, including HIV-1 and HIV-2, and impact of ART on disease progression.

求助全文
通过发布文献求助,成功后即可免费获取论文全文。 去求助
来源期刊
Virology Journal
Virology Journal 医学-病毒学
CiteScore
7.40
自引率
2.10%
发文量
186
审稿时长
1 months
期刊介绍: Virology Journal is an open access, peer reviewed journal that considers articles on all aspects of virology, including research on the viruses of animals, plants and microbes. The journal welcomes basic research as well as pre-clinical and clinical studies of novel diagnostic tools, vaccines and anti-viral therapies. The Editorial policy of Virology Journal is to publish all research which is assessed by peer reviewers to be a coherent and sound addition to the scientific literature, and puts less emphasis on interest levels or perceived impact.
×
引用
GB/T 7714-2015
复制
MLA
复制
APA
复制
导出至
BibTeX EndNote RefMan NoteFirst NoteExpress
×
提示
您的信息不完整,为了账户安全,请先补充。
现在去补充
×
提示
您因"违规操作"
具体请查看互助需知
我知道了
×
提示
确定
请完成安全验证×
copy
已复制链接
快去分享给好友吧!
我知道了
右上角分享
点击右上角分享
0
联系我们:info@booksci.cn Book学术提供免费学术资源搜索服务,方便国内外学者检索中英文文献。致力于提供最便捷和优质的服务体验。 Copyright © 2023 布克学术 All rights reserved.
京ICP备2023020795号-1
ghs 京公网安备 11010802042870号
Book学术文献互助
Book学术文献互助群
群 号:604180095
Book学术官方微信