社会经济地位和城市环境是抗菌素耐药性的驱动因素?2010年至2019年在德国进行的生态研究。

IF 7.8 2区 医学 Q1 INFECTIOUS DISEASES
Regina Singer, Mirco Sandfort, Felix Reichert, Achim Dörre, Jens Hoebel, Anja Klingeberg, Sebastian Haller, Niels Michalski
{"title":"社会经济地位和城市环境是抗菌素耐药性的驱动因素?2010年至2019年在德国进行的生态研究。","authors":"Regina Singer, Mirco Sandfort, Felix Reichert, Achim Dörre, Jens Hoebel, Anja Klingeberg, Sebastian Haller, Niels Michalski","doi":"10.2807/1560-7917.ES.2025.30.28.2400723","DOIUrl":null,"url":null,"abstract":"<p><p>BACKGROUNDGermany lacks comprehensive studies on the relationship between socioeconomic position (SEP) and antimicrobial resistance (AMR).AIMWe assessed the association between area-level SEP and AMR infection and colonisation in Germany.METHODSIn an ecological study design, we analysed statutory notifications of invasive meticillin-resistant <i>Staphylococcus aureus</i> (MRSA, n = 34,440) in 2010-2019, and colonisations and infections with carbapenem-resistant <i>Acinetobacter</i> spp. (CRA, n = 1,979) and Enterobacterales (CRE, n = 10,825) in 2017-2019. Area-level SEP was measured by the German index of socioeconomic deprivation (GISD), incorporating education, employment and income data. A multilevel Poisson regression analysis estimated the association between AMR incidence and GISD at district level, adjusting for age, sex, notification year and urbanisation degree.RESULTSMedian ages of patients with carbapenem-resistant bacteria were between 66 (CRA colonisation) and 69 years (CRE infection). For MRSA infections, the median age was 74 years. Across each pathogen, approximately two thirds of patients were male. Estimated MRSA incidence was almost five times higher in districts with lowest vs highest area-level SEP (incidence rate ratio, IRR: 4.8; 95% CI: 2.8-8.2). This association was strongest in large cities (IRR: 9.1; 95% CI: 2.7-30.9), and sparsely populated rural districts (IRR: 6.5; 95% CI: 2.8-15.0). Associations of CRA (IRR: 0.6; 95% CI: 0.3-1.2) and CRE (IRR: 0.9; 95% CI: 0.6-1.4) infections with SEP were not statistically significant.CONCLUSIONLower area-level SEP and degree of urbanisation were associated with MRSA incidence, however, no associations were uncovered between SEP and CRA or CRE infections. Further individual-level research could explore if health behaviours, living/working conditions or healthcare access explain the findings. Socioeconomic conditions should be considered for AMR prevention and control.</p>","PeriodicalId":12161,"journal":{"name":"Eurosurveillance","volume":"30 28","pages":""},"PeriodicalIF":7.8000,"publicationDate":"2025-07-01","publicationTypes":"Journal Article","fieldsOfStudy":null,"isOpenAccess":false,"openAccessPdf":"https://www.ncbi.nlm.nih.gov/pmc/articles/PMC12273257/pdf/","citationCount":"0","resultStr":"{\"title\":\"Socioeconomic position and urban environments as drivers of antimicrobial resistance? An ecological study in Germany, 2010 to 2019.\",\"authors\":\"Regina Singer, Mirco Sandfort, Felix Reichert, Achim Dörre, Jens Hoebel, Anja Klingeberg, Sebastian Haller, Niels Michalski\",\"doi\":\"10.2807/1560-7917.ES.2025.30.28.2400723\",\"DOIUrl\":null,\"url\":null,\"abstract\":\"<p><p>BACKGROUNDGermany lacks comprehensive studies on the relationship between socioeconomic position (SEP) and antimicrobial resistance (AMR).AIMWe assessed the association between area-level SEP and AMR infection and colonisation in Germany.METHODSIn an ecological study design, we analysed statutory notifications of invasive meticillin-resistant <i>Staphylococcus aureus</i> (MRSA, n = 34,440) in 2010-2019, and colonisations and infections with carbapenem-resistant <i>Acinetobacter</i> spp. (CRA, n = 1,979) and Enterobacterales (CRE, n = 10,825) in 2017-2019. Area-level SEP was measured by the German index of socioeconomic deprivation (GISD), incorporating education, employment and income data. A multilevel Poisson regression analysis estimated the association between AMR incidence and GISD at district level, adjusting for age, sex, notification year and urbanisation degree.RESULTSMedian ages of patients with carbapenem-resistant bacteria were between 66 (CRA colonisation) and 69 years (CRE infection). For MRSA infections, the median age was 74 years. Across each pathogen, approximately two thirds of patients were male. Estimated MRSA incidence was almost five times higher in districts with lowest vs highest area-level SEP (incidence rate ratio, IRR: 4.8; 95% CI: 2.8-8.2). This association was strongest in large cities (IRR: 9.1; 95% CI: 2.7-30.9), and sparsely populated rural districts (IRR: 6.5; 95% CI: 2.8-15.0). Associations of CRA (IRR: 0.6; 95% CI: 0.3-1.2) and CRE (IRR: 0.9; 95% CI: 0.6-1.4) infections with SEP were not statistically significant.CONCLUSIONLower area-level SEP and degree of urbanisation were associated with MRSA incidence, however, no associations were uncovered between SEP and CRA or CRE infections. Further individual-level research could explore if health behaviours, living/working conditions or healthcare access explain the findings. Socioeconomic conditions should be considered for AMR prevention and control.</p>\",\"PeriodicalId\":12161,\"journal\":{\"name\":\"Eurosurveillance\",\"volume\":\"30 28\",\"pages\":\"\"},\"PeriodicalIF\":7.8000,\"publicationDate\":\"2025-07-01\",\"publicationTypes\":\"Journal Article\",\"fieldsOfStudy\":null,\"isOpenAccess\":false,\"openAccessPdf\":\"https://www.ncbi.nlm.nih.gov/pmc/articles/PMC12273257/pdf/\",\"citationCount\":\"0\",\"resultStr\":null,\"platform\":\"Semanticscholar\",\"paperid\":null,\"PeriodicalName\":\"Eurosurveillance\",\"FirstCategoryId\":\"3\",\"ListUrlMain\":\"https://doi.org/10.2807/1560-7917.ES.2025.30.28.2400723\",\"RegionNum\":2,\"RegionCategory\":\"医学\",\"ArticlePicture\":[],\"TitleCN\":null,\"AbstractTextCN\":null,\"PMCID\":null,\"EPubDate\":\"\",\"PubModel\":\"\",\"JCR\":\"Q1\",\"JCRName\":\"INFECTIOUS DISEASES\",\"Score\":null,\"Total\":0}","platform":"Semanticscholar","paperid":null,"PeriodicalName":"Eurosurveillance","FirstCategoryId":"3","ListUrlMain":"https://doi.org/10.2807/1560-7917.ES.2025.30.28.2400723","RegionNum":2,"RegionCategory":"医学","ArticlePicture":[],"TitleCN":null,"AbstractTextCN":null,"PMCID":null,"EPubDate":"","PubModel":"","JCR":"Q1","JCRName":"INFECTIOUS DISEASES","Score":null,"Total":0}
引用次数: 0

摘要

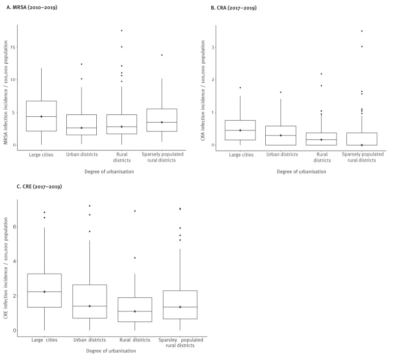
德国缺乏对社会经济地位(SEP)与抗菌素耐药性(AMR)之间关系的全面研究。AIMWe评估了德国地区水平SEP与AMR感染和定植之间的关系。方法采用生态学研究设计,分析2010-2019年侵袭性耐甲氧西林金黄色葡萄球菌(MRSA, n = 34,440)的法定通报情况,以及2017-2019年耐碳青霉烯不动杆菌(CRA, n = 1,979)和肠杆菌(CRE, n = 10,825)的定植和感染情况。地区层面的SEP由德国社会经济剥夺指数(GISD)衡量,包括教育、就业和收入数据。在调整了年龄、性别、通报年份和城市化程度等因素后,采用多水平泊松回归分析估计了AMR发病率与地区一级GISD之间的关系。结果碳青霉烯耐药菌患者的中位年龄在66岁(CRA定植)至69岁(CRE感染)之间。MRSA感染的中位年龄为74岁。在每种病原体中,大约三分之二的患者是男性。估计MRSA的发病率在SEP最低的地区比SEP最高的地区高出近5倍(发病率比,IRR: 4.8;95% ci: 2.8-8.2)。这种关联在大城市中最强(IRR: 9.1;95% CI: 2.7-30.9)和人口稀少的农村地区(IRR: 6.5;95% ci: 2.8-15.0)。CRA的相关性(IRR: 0.6;95% CI: 0.3-1.2)和CRE (IRR: 0.9;95% CI: 0.6-1.4) SEP感染无统计学意义。结论低水平SEP和城市化程度与MRSA发病率相关,但SEP与CRA或CRE感染无相关性。进一步的个人层面研究可以探索健康行为、生活/工作条件或医疗保健获取是否可以解释这些发现。预防和控制抗菌素耐药性应考虑社会经济条件。
本文章由计算机程序翻译,如有差异,请以英文原文为准。

Socioeconomic position and urban environments as drivers of antimicrobial resistance? An ecological study in Germany, 2010 to 2019.

Socioeconomic position and urban environments as drivers of antimicrobial resistance? An ecological study in Germany, 2010 to 2019.

Socioeconomic position and urban environments as drivers of antimicrobial resistance? An ecological study in Germany, 2010 to 2019.

BACKGROUNDGermany lacks comprehensive studies on the relationship between socioeconomic position (SEP) and antimicrobial resistance (AMR).AIMWe assessed the association between area-level SEP and AMR infection and colonisation in Germany.METHODSIn an ecological study design, we analysed statutory notifications of invasive meticillin-resistant Staphylococcus aureus (MRSA, n = 34,440) in 2010-2019, and colonisations and infections with carbapenem-resistant Acinetobacter spp. (CRA, n = 1,979) and Enterobacterales (CRE, n = 10,825) in 2017-2019. Area-level SEP was measured by the German index of socioeconomic deprivation (GISD), incorporating education, employment and income data. A multilevel Poisson regression analysis estimated the association between AMR incidence and GISD at district level, adjusting for age, sex, notification year and urbanisation degree.RESULTSMedian ages of patients with carbapenem-resistant bacteria were between 66 (CRA colonisation) and 69 years (CRE infection). For MRSA infections, the median age was 74 years. Across each pathogen, approximately two thirds of patients were male. Estimated MRSA incidence was almost five times higher in districts with lowest vs highest area-level SEP (incidence rate ratio, IRR: 4.8; 95% CI: 2.8-8.2). This association was strongest in large cities (IRR: 9.1; 95% CI: 2.7-30.9), and sparsely populated rural districts (IRR: 6.5; 95% CI: 2.8-15.0). Associations of CRA (IRR: 0.6; 95% CI: 0.3-1.2) and CRE (IRR: 0.9; 95% CI: 0.6-1.4) infections with SEP were not statistically significant.CONCLUSIONLower area-level SEP and degree of urbanisation were associated with MRSA incidence, however, no associations were uncovered between SEP and CRA or CRE infections. Further individual-level research could explore if health behaviours, living/working conditions or healthcare access explain the findings. Socioeconomic conditions should be considered for AMR prevention and control.

求助全文
通过发布文献求助,成功后即可免费获取论文全文。 去求助
来源期刊
Eurosurveillance
Eurosurveillance INFECTIOUS DISEASES-
CiteScore
32.70
自引率
2.10%
发文量
430
审稿时长
3-8 weeks
期刊介绍: Eurosurveillance is a European peer-reviewed journal focusing on the epidemiology, surveillance, prevention, and control of communicable diseases relevant to Europe.It is a weekly online journal, with 50 issues per year published on Thursdays. The journal includes short rapid communications, in-depth research articles, surveillance reports, reviews, and perspective papers. It excels in timely publication of authoritative papers on ongoing outbreaks or other public health events. Under special circumstances when current events need to be urgently communicated to readers for rapid public health action, e-alerts can be released outside of the regular publishing schedule. Additionally, topical compilations and special issues may be provided in PDF format.
×
引用
GB/T 7714-2015
复制
MLA
复制
APA
复制
导出至
BibTeX EndNote RefMan NoteFirst NoteExpress
×
提示
您的信息不完整,为了账户安全,请先补充。
现在去补充
×
提示
您因"违规操作"
具体请查看互助需知
我知道了
×
提示
确定
请完成安全验证×
copy
已复制链接
快去分享给好友吧!
我知道了
右上角分享
点击右上角分享
0
联系我们:info@booksci.cn Book学术提供免费学术资源搜索服务,方便国内外学者检索中英文文献。致力于提供最便捷和优质的服务体验。 Copyright © 2023 布克学术 All rights reserved.
京ICP备2023020795号-1
ghs 京公网安备 11010802042870号
Book学术文献互助
Book学术文献互助群
群 号:604180095
Book学术官方微信