哮喘发展中高多基因风险评分与长期暴露于空气污染之间的关系:一项基于医院的病例对照研究

IF 5.3 2区 环境科学与生态学 Q1 ENVIRONMENTAL SCIENCES
I-Chieh Chen, Yi-Ming Chen, Yun-Wen Chen, Tzu-Hung Hsiao, Hui-Wen Yang, Kuo-Tung Tang, Ching-Heng Lin, Yu-Wen Chu
{"title":"哮喘发展中高多基因风险评分与长期暴露于空气污染之间的关系:一项基于医院的病例对照研究","authors":"I-Chieh Chen, Yi-Ming Chen, Yun-Wen Chen, Tzu-Hung Hsiao, Hui-Wen Yang, Kuo-Tung Tang, Ching-Heng Lin, Yu-Wen Chu","doi":"10.1186/s12940-025-01206-2","DOIUrl":null,"url":null,"abstract":"<p><strong>Background: </strong>Air pollution is widely associated with allergic diseases, including asthma. Although previous studies have suggested an epidemiological link between air pollution and asthma, the combined effects of air pollutants and polygenic risk scores (PRSs) on asthma risk remain incompletely understood. This study aimed to examine the impact of air pollutants and PRS on asthma risk among patients in a Taiwan medical institution.</p><p><strong>Methods: </strong>This retrospective matched case-control study utilized data from the Taiwan Precision Medicine Initiative (TPMI) project to compare asthma patients with a non-asthmatic control group. Participants were stratified into quartiles based on their asthma PRS, while air pollutant exposure was assessed by both duration and concentration. Conducted at Taichung Veterans General Hospital, the study followed participants from January 1, 2000, to December 31, 2021. Logistic regression was used to analyze the relationships between air pollution exposure, genetic risk, and asthma incidence.</p><p><strong>Results: </strong>A total of 9,756 participants were included (3,252 asthma patients and 6,504 controls). Individuals in the highest PRS quartile demonstrated a significantly increased asthma risk (odds ratio = 1.532, 95% CI = 1.333-1.762, p < 0.0001). Long-term exposure to low levels of PM<sub>2.5</sub>, PM<sub>10</sub>, NO<sub>2</sub>, Mn, and O<sub>3</sub> further elevated asthma risk, with the association becoming more pronounced under conditions of high air pollution.</p><p><strong>Conclusion: </strong>Long-term exposure to low concentrations of air pollutants significantly increases asthma risk, especially among individuals with high genetic susceptibility. These findings emphasize the importance of personalized health management for individuals with elevated PRS.</p><p><strong>Trial registration: </strong>Not applicable.</p>","PeriodicalId":11686,"journal":{"name":"Environmental Health","volume":"24 1","pages":"49"},"PeriodicalIF":5.3000,"publicationDate":"2025-07-18","publicationTypes":"Journal Article","fieldsOfStudy":null,"isOpenAccess":false,"openAccessPdf":"https://www.ncbi.nlm.nih.gov/pmc/articles/PMC12273307/pdf/","citationCount":"0","resultStr":"{\"title\":\"Association between high polygenic risk scores and long-term exposure to air pollution in asthma development: a hospital-based case-control study.\",\"authors\":\"I-Chieh Chen, Yi-Ming Chen, Yun-Wen Chen, Tzu-Hung Hsiao, Hui-Wen Yang, Kuo-Tung Tang, Ching-Heng Lin, Yu-Wen Chu\",\"doi\":\"10.1186/s12940-025-01206-2\",\"DOIUrl\":null,\"url\":null,\"abstract\":\"<p><strong>Background: </strong>Air pollution is widely associated with allergic diseases, including asthma. Although previous studies have suggested an epidemiological link between air pollution and asthma, the combined effects of air pollutants and polygenic risk scores (PRSs) on asthma risk remain incompletely understood. This study aimed to examine the impact of air pollutants and PRS on asthma risk among patients in a Taiwan medical institution.</p><p><strong>Methods: </strong>This retrospective matched case-control study utilized data from the Taiwan Precision Medicine Initiative (TPMI) project to compare asthma patients with a non-asthmatic control group. Participants were stratified into quartiles based on their asthma PRS, while air pollutant exposure was assessed by both duration and concentration. Conducted at Taichung Veterans General Hospital, the study followed participants from January 1, 2000, to December 31, 2021. Logistic regression was used to analyze the relationships between air pollution exposure, genetic risk, and asthma incidence.</p><p><strong>Results: </strong>A total of 9,756 participants were included (3,252 asthma patients and 6,504 controls). Individuals in the highest PRS quartile demonstrated a significantly increased asthma risk (odds ratio = 1.532, 95% CI = 1.333-1.762, p < 0.0001). Long-term exposure to low levels of PM<sub>2.5</sub>, PM<sub>10</sub>, NO<sub>2</sub>, Mn, and O<sub>3</sub> further elevated asthma risk, with the association becoming more pronounced under conditions of high air pollution.</p><p><strong>Conclusion: </strong>Long-term exposure to low concentrations of air pollutants significantly increases asthma risk, especially among individuals with high genetic susceptibility. These findings emphasize the importance of personalized health management for individuals with elevated PRS.</p><p><strong>Trial registration: </strong>Not applicable.</p>\",\"PeriodicalId\":11686,\"journal\":{\"name\":\"Environmental Health\",\"volume\":\"24 1\",\"pages\":\"49\"},\"PeriodicalIF\":5.3000,\"publicationDate\":\"2025-07-18\",\"publicationTypes\":\"Journal Article\",\"fieldsOfStudy\":null,\"isOpenAccess\":false,\"openAccessPdf\":\"https://www.ncbi.nlm.nih.gov/pmc/articles/PMC12273307/pdf/\",\"citationCount\":\"0\",\"resultStr\":null,\"platform\":\"Semanticscholar\",\"paperid\":null,\"PeriodicalName\":\"Environmental Health\",\"FirstCategoryId\":\"93\",\"ListUrlMain\":\"https://doi.org/10.1186/s12940-025-01206-2\",\"RegionNum\":2,\"RegionCategory\":\"环境科学与生态学\",\"ArticlePicture\":[],\"TitleCN\":null,\"AbstractTextCN\":null,\"PMCID\":null,\"EPubDate\":\"\",\"PubModel\":\"\",\"JCR\":\"Q1\",\"JCRName\":\"ENVIRONMENTAL SCIENCES\",\"Score\":null,\"Total\":0}","platform":"Semanticscholar","paperid":null,"PeriodicalName":"Environmental Health","FirstCategoryId":"93","ListUrlMain":"https://doi.org/10.1186/s12940-025-01206-2","RegionNum":2,"RegionCategory":"环境科学与生态学","ArticlePicture":[],"TitleCN":null,"AbstractTextCN":null,"PMCID":null,"EPubDate":"","PubModel":"","JCR":"Q1","JCRName":"ENVIRONMENTAL SCIENCES","Score":null,"Total":0}
引用次数: 0

摘要

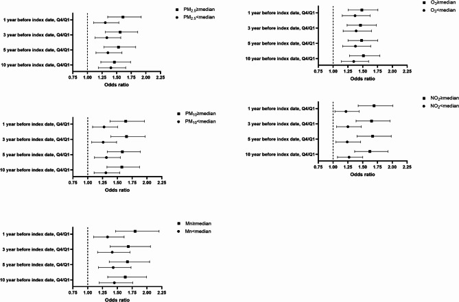
背景:空气污染与包括哮喘在内的过敏性疾病广泛相关。尽管先前的研究表明空气污染与哮喘之间存在流行病学联系,但空气污染物和多基因风险评分(PRSs)对哮喘风险的综合影响仍不完全清楚。本研究旨在探讨台湾某医疗机构空气污染物与PRS对患者哮喘风险的影响。方法:本研究利用台湾精准医疗计划(TPMI)的资料,进行回顾性配对病例对照研究,比较哮喘患者与非哮喘对照组。参与者根据他们的哮喘PRS被分成四分之一,而空气污染物暴露的持续时间和浓度被评估。该研究在台中退伍军人总医院进行,从2000年1月1日至2021年12月31日对参与者进行了随访。采用Logistic回归分析空气污染暴露、遗传风险和哮喘发病率之间的关系。结果:共纳入9756名参与者(3252名哮喘患者和6504名对照组)。最高PRS四分位数的个体哮喘风险显著增加(优势比= 1.532,95% CI = 1.333-1.762, p = 2.5), PM10、NO2、Mn和O3进一步提高哮喘风险,在高空气污染条件下,这种关联变得更加明显。结论:长期暴露于低浓度空气污染物可显著增加哮喘风险,特别是在高遗传易感性人群中。这些发现强调了对PRS升高的个体进行个性化健康管理的重要性。试验注册:不适用。
本文章由计算机程序翻译,如有差异,请以英文原文为准。

Association between high polygenic risk scores and long-term exposure to air pollution in asthma development: a hospital-based case-control study.

Association between high polygenic risk scores and long-term exposure to air pollution in asthma development: a hospital-based case-control study.

Association between high polygenic risk scores and long-term exposure to air pollution in asthma development: a hospital-based case-control study.

Background: Air pollution is widely associated with allergic diseases, including asthma. Although previous studies have suggested an epidemiological link between air pollution and asthma, the combined effects of air pollutants and polygenic risk scores (PRSs) on asthma risk remain incompletely understood. This study aimed to examine the impact of air pollutants and PRS on asthma risk among patients in a Taiwan medical institution.

Methods: This retrospective matched case-control study utilized data from the Taiwan Precision Medicine Initiative (TPMI) project to compare asthma patients with a non-asthmatic control group. Participants were stratified into quartiles based on their asthma PRS, while air pollutant exposure was assessed by both duration and concentration. Conducted at Taichung Veterans General Hospital, the study followed participants from January 1, 2000, to December 31, 2021. Logistic regression was used to analyze the relationships between air pollution exposure, genetic risk, and asthma incidence.

Results: A total of 9,756 participants were included (3,252 asthma patients and 6,504 controls). Individuals in the highest PRS quartile demonstrated a significantly increased asthma risk (odds ratio = 1.532, 95% CI = 1.333-1.762, p < 0.0001). Long-term exposure to low levels of PM2.5, PM10, NO2, Mn, and O3 further elevated asthma risk, with the association becoming more pronounced under conditions of high air pollution.

Conclusion: Long-term exposure to low concentrations of air pollutants significantly increases asthma risk, especially among individuals with high genetic susceptibility. These findings emphasize the importance of personalized health management for individuals with elevated PRS.

Trial registration: Not applicable.

求助全文
通过发布文献求助,成功后即可免费获取论文全文。 去求助
来源期刊
Environmental Health
Environmental Health 环境科学-公共卫生、环境卫生与职业卫生
CiteScore
10.10
自引率
1.70%
发文量
115
审稿时长
3.0 months
期刊介绍: Environmental Health publishes manuscripts on all aspects of environmental and occupational medicine and related studies in toxicology and epidemiology. Environmental Health is aimed at scientists and practitioners in all areas of environmental science where human health and well-being are involved, either directly or indirectly. Environmental Health is a public health journal serving the public health community and scientists working on matters of public health interest and importance pertaining to the environment.
×
引用
GB/T 7714-2015
复制
MLA
复制
APA
复制
导出至
BibTeX EndNote RefMan NoteFirst NoteExpress
×
提示
您的信息不完整,为了账户安全,请先补充。
现在去补充
×
提示
您因"违规操作"
具体请查看互助需知
我知道了
×
提示
确定
请完成安全验证×
copy
已复制链接
快去分享给好友吧!
我知道了
右上角分享
点击右上角分享
0
联系我们:info@booksci.cn Book学术提供免费学术资源搜索服务,方便国内外学者检索中英文文献。致力于提供最便捷和优质的服务体验。 Copyright © 2023 布克学术 All rights reserved.
京ICP备2023020795号-1
ghs 京公网安备 11010802042870号
Book学术文献互助
Book学术文献互助群
群 号:604180095
Book学术官方微信