母体抗氧化剂补充对青春期前伊比利亚猪子代卵巢发育的影响。

IF 1.8 Q3 AGRICULTURE, DAIRY & ANIMAL SCIENCE
Translational Animal Science Pub Date : 2025-06-13 eCollection Date: 2025-01-01 DOI:10.1093/tas/txaf078
Gerardo Gómez, Ana Heras-Molina, Yolanda Núñez, Fernando Sánchez-Esquiliche, Fernando Gómez-Carballar, Álvaro Olivares, Antonio González-Bulnes, Ana Isabel Rey, Cristina Óvilo, Juan María García-Casco, María Muñoz, Clemente López-Bote
{"title":"母体抗氧化剂补充对青春期前伊比利亚猪子代卵巢发育的影响。","authors":"Gerardo Gómez, Ana Heras-Molina, Yolanda Núñez, Fernando Sánchez-Esquiliche, Fernando Gómez-Carballar, Álvaro Olivares, Antonio González-Bulnes, Ana Isabel Rey, Cristina Óvilo, Juan María García-Casco, María Muñoz, Clemente López-Bote","doi":"10.1093/tas/txaf078","DOIUrl":null,"url":null,"abstract":"<p><p>A large percentage of breeding sows are culled before replacement costs are covered. Management and feeding are important factors affecting the performance of replacing gilts. Specifically, an optimal redox status has been linked to better fertility. Current research highlights the importance of neonatal criteria and age at puberty as factors in the gilt selection. Maternal antioxidant supplementation has benefits on the litter's performance, but there is scarce data on its effect on the future breeder. The aim of the study is to evaluate the effects of maternal supplementation with vitamin E (VE) and/or hydroxytyrosol (HXT) on prepuberal ovarian characteristics in Iberian pig offspring. Fifty Iberian sows were supplemented from day 85<sup>th</sup> of gestation until weaning with 30 or 100 mg/kg VE and 0 or 1.5 mg/kg HXT, resulting in four groups: VE30HXT0, VE100HXT0, VE30HXT1.5, VE100HXT1.5. At 110 d-old, 10 to 12 daughters were selected from each group to study weight, redox status and ovary histological measures and differences of selected gene expression patterns. Results showed that gilts with high VE had higher superoxide dismutase activity and malondialdehyde levels (P < 0.05 for both). Furthermore, total and oxidized glutathione showed a VE*HXT interaction, with VE100 gilts having the lowest activity values. These results imply a higher oxidative status with high VE supplementation. However, VE100 gilts also showed larger ovarian surfaces (P < 0.05 for planes 1, 6 and 10) and a lower proportion of small follicles (P < 0.05), which could mean a more proximal state to puberty of VE100 gilts. Furthermore, HXT effects on the ovarian surfaces and ovarian gene expression patterns were modulated by maternal parity. Thus, in gilts from primiparous mothers supplemented with HXT, plane 6 and plane 10 ovarian surfaces were smaller, and the expression of certain genes (<i>FSHR, RUNX1</i> and <i>IGF1</i>) were lower than those from primiparous sows without supplementation (P < 0.05 for all the interactions). In conclusion, dietary antioxidant supplementation during perinatal period affected ovary development during prepuberal stages of the progeny, with different effects according to maternal parity.</p>","PeriodicalId":23272,"journal":{"name":"Translational Animal Science","volume":"9 ","pages":"txaf078"},"PeriodicalIF":1.8000,"publicationDate":"2025-06-13","publicationTypes":"Journal Article","fieldsOfStudy":null,"isOpenAccess":false,"openAccessPdf":"https://www.ncbi.nlm.nih.gov/pmc/articles/PMC12267981/pdf/","citationCount":"0","resultStr":"{\"title\":\"Impact of maternal antioxidant supplementation on ovarian development in prepuberal Iberian pig offspring.\",\"authors\":\"Gerardo Gómez, Ana Heras-Molina, Yolanda Núñez, Fernando Sánchez-Esquiliche, Fernando Gómez-Carballar, Álvaro Olivares, Antonio González-Bulnes, Ana Isabel Rey, Cristina Óvilo, Juan María García-Casco, María Muñoz, Clemente López-Bote\",\"doi\":\"10.1093/tas/txaf078\",\"DOIUrl\":null,\"url\":null,\"abstract\":\"<p><p>A large percentage of breeding sows are culled before replacement costs are covered. Management and feeding are important factors affecting the performance of replacing gilts. Specifically, an optimal redox status has been linked to better fertility. Current research highlights the importance of neonatal criteria and age at puberty as factors in the gilt selection. Maternal antioxidant supplementation has benefits on the litter's performance, but there is scarce data on its effect on the future breeder. The aim of the study is to evaluate the effects of maternal supplementation with vitamin E (VE) and/or hydroxytyrosol (HXT) on prepuberal ovarian characteristics in Iberian pig offspring. Fifty Iberian sows were supplemented from day 85<sup>th</sup> of gestation until weaning with 30 or 100 mg/kg VE and 0 or 1.5 mg/kg HXT, resulting in four groups: VE30HXT0, VE100HXT0, VE30HXT1.5, VE100HXT1.5. At 110 d-old, 10 to 12 daughters were selected from each group to study weight, redox status and ovary histological measures and differences of selected gene expression patterns. Results showed that gilts with high VE had higher superoxide dismutase activity and malondialdehyde levels (P < 0.05 for both). Furthermore, total and oxidized glutathione showed a VE*HXT interaction, with VE100 gilts having the lowest activity values. These results imply a higher oxidative status with high VE supplementation. However, VE100 gilts also showed larger ovarian surfaces (P < 0.05 for planes 1, 6 and 10) and a lower proportion of small follicles (P < 0.05), which could mean a more proximal state to puberty of VE100 gilts. Furthermore, HXT effects on the ovarian surfaces and ovarian gene expression patterns were modulated by maternal parity. Thus, in gilts from primiparous mothers supplemented with HXT, plane 6 and plane 10 ovarian surfaces were smaller, and the expression of certain genes (<i>FSHR, RUNX1</i> and <i>IGF1</i>) were lower than those from primiparous sows without supplementation (P < 0.05 for all the interactions). In conclusion, dietary antioxidant supplementation during perinatal period affected ovary development during prepuberal stages of the progeny, with different effects according to maternal parity.</p>\",\"PeriodicalId\":23272,\"journal\":{\"name\":\"Translational Animal Science\",\"volume\":\"9 \",\"pages\":\"txaf078\"},\"PeriodicalIF\":1.8000,\"publicationDate\":\"2025-06-13\",\"publicationTypes\":\"Journal Article\",\"fieldsOfStudy\":null,\"isOpenAccess\":false,\"openAccessPdf\":\"https://www.ncbi.nlm.nih.gov/pmc/articles/PMC12267981/pdf/\",\"citationCount\":\"0\",\"resultStr\":null,\"platform\":\"Semanticscholar\",\"paperid\":null,\"PeriodicalName\":\"Translational Animal Science\",\"FirstCategoryId\":\"1085\",\"ListUrlMain\":\"https://doi.org/10.1093/tas/txaf078\",\"RegionNum\":0,\"RegionCategory\":null,\"ArticlePicture\":[],\"TitleCN\":null,\"AbstractTextCN\":null,\"PMCID\":null,\"EPubDate\":\"2025/1/1 0:00:00\",\"PubModel\":\"eCollection\",\"JCR\":\"Q3\",\"JCRName\":\"AGRICULTURE, DAIRY & ANIMAL SCIENCE\",\"Score\":null,\"Total\":0}","platform":"Semanticscholar","paperid":null,"PeriodicalName":"Translational Animal Science","FirstCategoryId":"1085","ListUrlMain":"https://doi.org/10.1093/tas/txaf078","RegionNum":0,"RegionCategory":null,"ArticlePicture":[],"TitleCN":null,"AbstractTextCN":null,"PMCID":null,"EPubDate":"2025/1/1 0:00:00","PubModel":"eCollection","JCR":"Q3","JCRName":"AGRICULTURE, DAIRY & ANIMAL SCIENCE","Score":null,"Total":0}
引用次数: 0

摘要

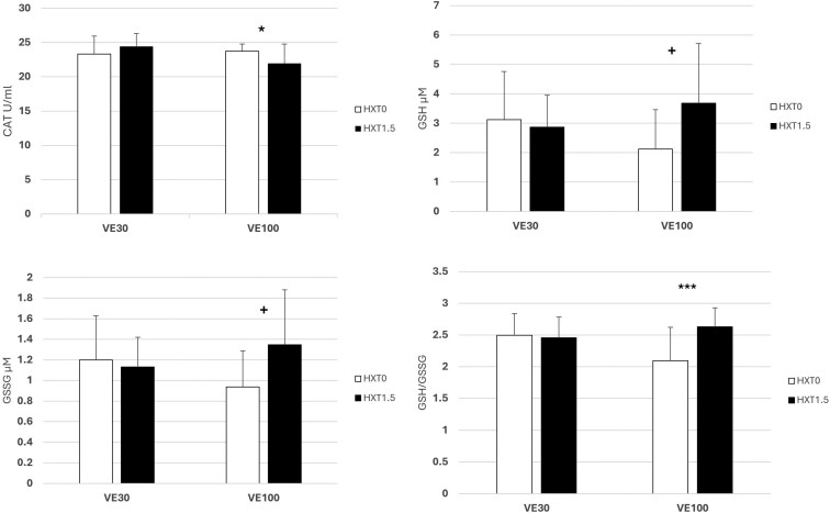
在支付替代费用之前,很大比例的繁殖母猪被淘汰。管理和饲养是影响后备母猪生产性能的重要因素。具体来说,最佳氧化还原状态与更好的生育能力有关。目前的研究强调了新生儿标准和青春期年龄作为后备母猪选择因素的重要性。母体抗氧化剂的补充对窝仔的生产性能有好处,但对未来繁殖者的影响缺乏数据。本研究的目的是评估母体补充维生素E (VE)和/或羟酪醇(HXT)对伊比利猪子代青春期前卵巢特征的影响。50头伊比拉母猪从妊娠第85天开始至断奶,分别添加30或100 mg/kg VE和0或1.5 mg/kg HXT,分为VE30HXT0、VE100HXT0、VE30HXT1.5、VE100HXT1.5 4组。在110 d时,每组选取10 ~ 12只雌性小鼠,研究其体重、氧化还原状态、卵巢组织学指标和所选基因表达模式的差异。结果表明,高VE的母猪超氧化物歧化酶活性和丙二醛水平(P FSHR、RUNX1和IGF1)均低于未添加VE的母猪(P
本文章由计算机程序翻译,如有差异,请以英文原文为准。

Impact of maternal antioxidant supplementation on ovarian development in prepuberal Iberian pig offspring.

Impact of maternal antioxidant supplementation on ovarian development in prepuberal Iberian pig offspring.

Impact of maternal antioxidant supplementation on ovarian development in prepuberal Iberian pig offspring.

Impact of maternal antioxidant supplementation on ovarian development in prepuberal Iberian pig offspring.

A large percentage of breeding sows are culled before replacement costs are covered. Management and feeding are important factors affecting the performance of replacing gilts. Specifically, an optimal redox status has been linked to better fertility. Current research highlights the importance of neonatal criteria and age at puberty as factors in the gilt selection. Maternal antioxidant supplementation has benefits on the litter's performance, but there is scarce data on its effect on the future breeder. The aim of the study is to evaluate the effects of maternal supplementation with vitamin E (VE) and/or hydroxytyrosol (HXT) on prepuberal ovarian characteristics in Iberian pig offspring. Fifty Iberian sows were supplemented from day 85th of gestation until weaning with 30 or 100 mg/kg VE and 0 or 1.5 mg/kg HXT, resulting in four groups: VE30HXT0, VE100HXT0, VE30HXT1.5, VE100HXT1.5. At 110 d-old, 10 to 12 daughters were selected from each group to study weight, redox status and ovary histological measures and differences of selected gene expression patterns. Results showed that gilts with high VE had higher superoxide dismutase activity and malondialdehyde levels (P < 0.05 for both). Furthermore, total and oxidized glutathione showed a VE*HXT interaction, with VE100 gilts having the lowest activity values. These results imply a higher oxidative status with high VE supplementation. However, VE100 gilts also showed larger ovarian surfaces (P < 0.05 for planes 1, 6 and 10) and a lower proportion of small follicles (P < 0.05), which could mean a more proximal state to puberty of VE100 gilts. Furthermore, HXT effects on the ovarian surfaces and ovarian gene expression patterns were modulated by maternal parity. Thus, in gilts from primiparous mothers supplemented with HXT, plane 6 and plane 10 ovarian surfaces were smaller, and the expression of certain genes (FSHR, RUNX1 and IGF1) were lower than those from primiparous sows without supplementation (P < 0.05 for all the interactions). In conclusion, dietary antioxidant supplementation during perinatal period affected ovary development during prepuberal stages of the progeny, with different effects according to maternal parity.

求助全文
通过发布文献求助,成功后即可免费获取论文全文。 去求助
来源期刊
Translational Animal Science
Translational Animal Science Veterinary-Veterinary (all)
CiteScore
2.80
自引率
15.40%
发文量
149
审稿时长
8 weeks
期刊介绍: Translational Animal Science (TAS) is the first open access-open review animal science journal, encompassing a broad scope of research topics in animal science. TAS focuses on translating basic science to innovation, and validation of these innovations by various segments of the allied animal industry. Readers of TAS will typically represent education, industry, and government, including research, teaching, administration, extension, management, quality assurance, product development, and technical services. Those interested in TAS typically include animal breeders, economists, embryologists, engineers, food scientists, geneticists, microbiologists, nutritionists, veterinarians, physiologists, processors, public health professionals, and others with an interest in animal production and applied aspects of animal sciences.
×
引用
GB/T 7714-2015
复制
MLA
复制
APA
复制
导出至
BibTeX EndNote RefMan NoteFirst NoteExpress
×
提示
您的信息不完整,为了账户安全,请先补充。
现在去补充
×
提示
您因"违规操作"
具体请查看互助需知
我知道了
×
提示
确定
请完成安全验证×
copy
已复制链接
快去分享给好友吧!
我知道了
右上角分享
点击右上角分享
0
联系我们:info@booksci.cn Book学术提供免费学术资源搜索服务,方便国内外学者检索中英文文献。致力于提供最便捷和优质的服务体验。 Copyright © 2023 布克学术 All rights reserved.
京ICP备2023020795号-1
ghs 京公网安备 11010802042870号
Book学术文献互助
Book学术文献互助群
群 号:604180095
Book学术官方微信