基线25-羟基维生素D水平预测维生素D补充对膝关节骨关节炎患者关节症状和软骨损失的影响。

IF 2.1 Q3 RHEUMATOLOGY
Rheumatology Advances in Practice Pub Date : 2025-05-27 eCollection Date: 2025-01-01 DOI:10.1093/rap/rkaf061
Tian Wang, Shuang Zheng, Xingzhong Jin, Han Cen, Zhaohua Zhu, Weiyu Han, Anita Wluka, Flavia Cicuttini, Peihua Cao, Changhai Ding
{"title":"基线25-羟基维生素D水平预测维生素D补充对膝关节骨关节炎患者关节症状和软骨损失的影响。","authors":"Tian Wang, Shuang Zheng, Xingzhong Jin, Han Cen, Zhaohua Zhu, Weiyu Han, Anita Wluka, Flavia Cicuttini, Peihua Cao, Changhai Ding","doi":"10.1093/rap/rkaf061","DOIUrl":null,"url":null,"abstract":"<p><strong>Objectives: </strong>To examine whether the baseline vitamin D level modifies the effects of vitamin D supplementation on knee symptoms and cartilage loss in patients with symptomatic knee OA.</p><p><strong>Methods: </strong>This was a post hoc analysis for the VIDEO study, which was a large (<i>n</i> = 413), randomized, double-blind, placebo-controlled clinical trial in knee OA patients with 25-hydroxyvitamin D [25(OH)D levels ranging from 12.5 to 60 nmol/l]. Knee pain was assessed using the WOMAC pain scale. MRI scans of the knee were obtained. Cartilage volume, cartilage defects (0-4) and bone marrow lesions were measured or graded. Classification trees were applied to categorize the subgroups.</p><p><strong>Results: </strong>A total of 413 participants (mean age 63.2 years; 50% women) were randomly assigned to vitamin D and placebo groups. A baseline 25(OH)D level of 43 nmol/l was found as the cut-off value. For the total WOMAC score, vitamin D supplementation decreased more than placebo in patients with 25(OH)D levels of 12.5-43 nmol/l (-256.41 <i>vs</i> -72.10, <i>P</i> = 0.0060) over 2 years but not in those with 25(OH)D levels of 43-60 nmol/l. Comparatively, vitamin D supplementation reduced the total cartilage volume loss (-0.21 <i>vs</i> -0.31, <i>P</i> = 0.0415) and total cartilage defects progression (0.26 <i>vs</i> 0.92, <i>P</i> = 0.0029) in patients with 25(OH)D levels of 43-60 nmol/l but not in those with 25(OH)D of 12.5-43 nmol/l.</p><p><strong>Conclusion: </strong>Supplementation of vitamin D in patients with OA who have 25(OH)D levels ≤43 nmol/l could relieve pain and improve physical function, while in OA patients with 25(OH)D levels >43 nmol/l, supplementation may ameliorate cartilage lesions.</p><p><strong>Trial registration: </strong>clinicaltrials.gov, NCT01176344; anzctr.org.au, ACTRN12610000495022.</p>","PeriodicalId":21350,"journal":{"name":"Rheumatology Advances in Practice","volume":"9 3","pages":"rkaf061"},"PeriodicalIF":2.1000,"publicationDate":"2025-05-27","publicationTypes":"Journal Article","fieldsOfStudy":null,"isOpenAccess":false,"openAccessPdf":"https://www.ncbi.nlm.nih.gov/pmc/articles/PMC12267135/pdf/","citationCount":"0","resultStr":"{\"title\":\"Baseline 25-hydroxyvitamin D levels predict the effects of vitamin D supplementation on joint symptoms and cartilage loss in patients with knee osteoarthritis.\",\"authors\":\"Tian Wang, Shuang Zheng, Xingzhong Jin, Han Cen, Zhaohua Zhu, Weiyu Han, Anita Wluka, Flavia Cicuttini, Peihua Cao, Changhai Ding\",\"doi\":\"10.1093/rap/rkaf061\",\"DOIUrl\":null,\"url\":null,\"abstract\":\"<p><strong>Objectives: </strong>To examine whether the baseline vitamin D level modifies the effects of vitamin D supplementation on knee symptoms and cartilage loss in patients with symptomatic knee OA.</p><p><strong>Methods: </strong>This was a post hoc analysis for the VIDEO study, which was a large (<i>n</i> = 413), randomized, double-blind, placebo-controlled clinical trial in knee OA patients with 25-hydroxyvitamin D [25(OH)D levels ranging from 12.5 to 60 nmol/l]. Knee pain was assessed using the WOMAC pain scale. MRI scans of the knee were obtained. Cartilage volume, cartilage defects (0-4) and bone marrow lesions were measured or graded. Classification trees were applied to categorize the subgroups.</p><p><strong>Results: </strong>A total of 413 participants (mean age 63.2 years; 50% women) were randomly assigned to vitamin D and placebo groups. A baseline 25(OH)D level of 43 nmol/l was found as the cut-off value. For the total WOMAC score, vitamin D supplementation decreased more than placebo in patients with 25(OH)D levels of 12.5-43 nmol/l (-256.41 <i>vs</i> -72.10, <i>P</i> = 0.0060) over 2 years but not in those with 25(OH)D levels of 43-60 nmol/l. Comparatively, vitamin D supplementation reduced the total cartilage volume loss (-0.21 <i>vs</i> -0.31, <i>P</i> = 0.0415) and total cartilage defects progression (0.26 <i>vs</i> 0.92, <i>P</i> = 0.0029) in patients with 25(OH)D levels of 43-60 nmol/l but not in those with 25(OH)D of 12.5-43 nmol/l.</p><p><strong>Conclusion: </strong>Supplementation of vitamin D in patients with OA who have 25(OH)D levels ≤43 nmol/l could relieve pain and improve physical function, while in OA patients with 25(OH)D levels >43 nmol/l, supplementation may ameliorate cartilage lesions.</p><p><strong>Trial registration: </strong>clinicaltrials.gov, NCT01176344; anzctr.org.au, ACTRN12610000495022.</p>\",\"PeriodicalId\":21350,\"journal\":{\"name\":\"Rheumatology Advances in Practice\",\"volume\":\"9 3\",\"pages\":\"rkaf061\"},\"PeriodicalIF\":2.1000,\"publicationDate\":\"2025-05-27\",\"publicationTypes\":\"Journal Article\",\"fieldsOfStudy\":null,\"isOpenAccess\":false,\"openAccessPdf\":\"https://www.ncbi.nlm.nih.gov/pmc/articles/PMC12267135/pdf/\",\"citationCount\":\"0\",\"resultStr\":null,\"platform\":\"Semanticscholar\",\"paperid\":null,\"PeriodicalName\":\"Rheumatology Advances in Practice\",\"FirstCategoryId\":\"1085\",\"ListUrlMain\":\"https://doi.org/10.1093/rap/rkaf061\",\"RegionNum\":0,\"RegionCategory\":null,\"ArticlePicture\":[],\"TitleCN\":null,\"AbstractTextCN\":null,\"PMCID\":null,\"EPubDate\":\"2025/1/1 0:00:00\",\"PubModel\":\"eCollection\",\"JCR\":\"Q3\",\"JCRName\":\"RHEUMATOLOGY\",\"Score\":null,\"Total\":0}","platform":"Semanticscholar","paperid":null,"PeriodicalName":"Rheumatology Advances in Practice","FirstCategoryId":"1085","ListUrlMain":"https://doi.org/10.1093/rap/rkaf061","RegionNum":0,"RegionCategory":null,"ArticlePicture":[],"TitleCN":null,"AbstractTextCN":null,"PMCID":null,"EPubDate":"2025/1/1 0:00:00","PubModel":"eCollection","JCR":"Q3","JCRName":"RHEUMATOLOGY","Score":null,"Total":0}
引用次数: 0

摘要

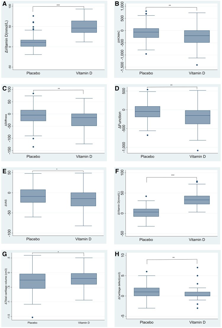
目的:研究基线维生素D水平是否会改变维生素D补充对症状性膝关节炎患者膝关节症状和软骨损失的影响。方法:这是VIDEO研究的事后分析,这是一项大型(n = 413)、随机、双盲、安慰剂对照的临床试验,研究对象是25-羟基维生素D [25(OH)D水平从12.5到60 nmol/l]的膝关节OA患者。膝关节疼痛采用WOMAC疼痛量表进行评估。对膝关节进行核磁共振扫描。测量软骨体积、软骨缺损(0-4)和骨髓病变程度或分级。使用分类树对子组进行分类。结果:共有413名参与者(平均年龄63.2岁;50%的女性)被随机分配到维生素D组和安慰剂组。基线25(OH)D水平为43 nmol/l作为临界值。对于总WOMAC评分,在25(OH)D水平为12.5-43 nmol/l的患者中,维生素D补充剂在2年内比安慰剂降低更多(-256.41 vs -72.10, P = 0.0060),而在25(OH)D水平为43-60 nmol/l的患者中则没有。相比之下,在25(OH)D水平为43-60 nmol/l的患者中,补充维生素D可以减少软骨总体积损失(-0.21 vs -0.31, P = 0.0415)和软骨总缺损进展(0.26 vs 0.92, P = 0.0029),而在25(OH)D水平为12.5-43 nmol/l的患者中则没有。结论:在25(OH)D水平≤43 nmol/l的OA患者中补充维生素D可减轻疼痛,改善身体功能,而在25(OH)D水平≤43 nmol/l的OA患者中补充维生素D可改善软骨病变。试验注册:clinicaltrials.gov, NCT01176344;anzctr.org.au ACTRN12610000495022。
本文章由计算机程序翻译,如有差异,请以英文原文为准。

Baseline 25-hydroxyvitamin D levels predict the effects of vitamin D supplementation on joint symptoms and cartilage loss in patients with knee osteoarthritis.

Baseline 25-hydroxyvitamin D levels predict the effects of vitamin D supplementation on joint symptoms and cartilage loss in patients with knee osteoarthritis.

Baseline 25-hydroxyvitamin D levels predict the effects of vitamin D supplementation on joint symptoms and cartilage loss in patients with knee osteoarthritis.

Objectives: To examine whether the baseline vitamin D level modifies the effects of vitamin D supplementation on knee symptoms and cartilage loss in patients with symptomatic knee OA.

Methods: This was a post hoc analysis for the VIDEO study, which was a large (n = 413), randomized, double-blind, placebo-controlled clinical trial in knee OA patients with 25-hydroxyvitamin D [25(OH)D levels ranging from 12.5 to 60 nmol/l]. Knee pain was assessed using the WOMAC pain scale. MRI scans of the knee were obtained. Cartilage volume, cartilage defects (0-4) and bone marrow lesions were measured or graded. Classification trees were applied to categorize the subgroups.

Results: A total of 413 participants (mean age 63.2 years; 50% women) were randomly assigned to vitamin D and placebo groups. A baseline 25(OH)D level of 43 nmol/l was found as the cut-off value. For the total WOMAC score, vitamin D supplementation decreased more than placebo in patients with 25(OH)D levels of 12.5-43 nmol/l (-256.41 vs -72.10, P = 0.0060) over 2 years but not in those with 25(OH)D levels of 43-60 nmol/l. Comparatively, vitamin D supplementation reduced the total cartilage volume loss (-0.21 vs -0.31, P = 0.0415) and total cartilage defects progression (0.26 vs 0.92, P = 0.0029) in patients with 25(OH)D levels of 43-60 nmol/l but not in those with 25(OH)D of 12.5-43 nmol/l.

Conclusion: Supplementation of vitamin D in patients with OA who have 25(OH)D levels ≤43 nmol/l could relieve pain and improve physical function, while in OA patients with 25(OH)D levels >43 nmol/l, supplementation may ameliorate cartilage lesions.

Trial registration: clinicaltrials.gov, NCT01176344; anzctr.org.au, ACTRN12610000495022.

求助全文
通过发布文献求助,成功后即可免费获取论文全文。 去求助
来源期刊
Rheumatology Advances in Practice
Rheumatology Advances in Practice Medicine-Rheumatology
CiteScore
3.60
自引率
3.20%
发文量
197
审稿时长
11 weeks
×
引用
GB/T 7714-2015
复制
MLA
复制
APA
复制
导出至
BibTeX EndNote RefMan NoteFirst NoteExpress
×
提示
您的信息不完整,为了账户安全,请先补充。
现在去补充
×
提示
您因"违规操作"
具体请查看互助需知
我知道了
×
提示
确定
请完成安全验证×
copy
已复制链接
快去分享给好友吧!
我知道了
右上角分享
点击右上角分享
0
联系我们:info@booksci.cn Book学术提供免费学术资源搜索服务,方便国内外学者检索中英文文献。致力于提供最便捷和优质的服务体验。 Copyright © 2023 布克学术 All rights reserved.
京ICP备2023020795号-1
ghs 京公网安备 11010802042870号
Book学术文献互助
Book学术文献互助群
群 号:604180095
Book学术官方微信