超分辨率超声放射组学模型在预测异位妊娠保守治疗失败中的应用。

IF 4.7 2区 医学 Q1 ENDOCRINOLOGY & METABOLISM
Mingyan Zhang, Junfa Sheng
{"title":"超分辨率超声放射组学模型在预测异位妊娠保守治疗失败中的应用。","authors":"Mingyan Zhang, Junfa Sheng","doi":"10.1186/s12958-025-01437-5","DOIUrl":null,"url":null,"abstract":"<p><strong>Background: </strong>Conservative treatment remains a viable option for selected patients with ectopic pregnancy (EP), but failure may lead to rupture and serious complications. Currently, serum β-hCG is the main predictor for treatment outcomes, yet its accuracy is limited. This study aimed to develop and validate a predictive model that integrates radiomic features derived from super-resolution (SR) ultrasound images with clinical biomarkers to improve risk stratification.</p><p><strong>Methods: </strong>A total of 228 patients with EP receiving conservative treatment were retrospectively included, with 169 classified as treatment success and 59 as failure. SR images were generated using a deep learning-based generative adversarial network (GAN). Radiomic features were extracted from both normal-resolution (NR) and SR ultrasound images. Features with intraclass correlation coefficient (ICC) ≥ 0.75 were retained after intra- and inter-observer evaluation. Feature selection involved statistical testing and Least Absolute Shrinkage and Selection Operator (LASSO) regression. Random forest algorithms were used to construct NR and SR models. A clinical model based on serum β-hCG was also developed. The Clin-SR model was constructed by fusing SR radiomics with β-hCG values. Model performance was evaluated using area under the curve (AUC), calibration, and decision curve analysis (DCA). An independent temporal validation cohort (n = 40; 20 failures, 20 successes) was used to validation of the nomogram derived from the Clin-SR model.</p><p><strong>Results: </strong>The SR model significantly outperformed the NR model in the test cohort (AUC: 0.791 ± 0.015 vs. 0.629 ± 0.083). In a representative iteration, the Clin-SR fusion model achieved an AUC of 0.870 ± 0.015, with good calibration and net clinical benefit, suggesting reliable performance in predicting conservative treatment failure. In the independent validation cohort, the nomogram demonstrated good generalizability with an AUC of 0.808 and consistent calibration across risk thresholds. Key contributing radiomic features included Gray Level Variance and Voxel Volume, reflecting lesion heterogeneity and size.</p><p><strong>Conclusions: </strong>The Clin-SR model, which integrates deep learning-enhanced SR ultrasound radiomics with serum β-hCG, offers a robust and non-invasive tool for predicting conservative treatment failure in ectopic pregnancy. This multimodal approach enhances early risk stratification and supports personalized clinical decision-making, potentially reducing overtreatment and emergency interventions.</p>","PeriodicalId":21011,"journal":{"name":"Reproductive Biology and Endocrinology","volume":"23 1","pages":"102"},"PeriodicalIF":4.7000,"publicationDate":"2025-07-17","publicationTypes":"Journal Article","fieldsOfStudy":null,"isOpenAccess":false,"openAccessPdf":"https://www.ncbi.nlm.nih.gov/pmc/articles/PMC12269241/pdf/","citationCount":"0","resultStr":"{\"title\":\"The application of super-resolution ultrasound radiomics models in predicting the failure of conservative treatment for ectopic pregnancy.\",\"authors\":\"Mingyan Zhang, Junfa Sheng\",\"doi\":\"10.1186/s12958-025-01437-5\",\"DOIUrl\":null,\"url\":null,\"abstract\":\"<p><strong>Background: </strong>Conservative treatment remains a viable option for selected patients with ectopic pregnancy (EP), but failure may lead to rupture and serious complications. Currently, serum β-hCG is the main predictor for treatment outcomes, yet its accuracy is limited. This study aimed to develop and validate a predictive model that integrates radiomic features derived from super-resolution (SR) ultrasound images with clinical biomarkers to improve risk stratification.</p><p><strong>Methods: </strong>A total of 228 patients with EP receiving conservative treatment were retrospectively included, with 169 classified as treatment success and 59 as failure. SR images were generated using a deep learning-based generative adversarial network (GAN). Radiomic features were extracted from both normal-resolution (NR) and SR ultrasound images. Features with intraclass correlation coefficient (ICC) ≥ 0.75 were retained after intra- and inter-observer evaluation. Feature selection involved statistical testing and Least Absolute Shrinkage and Selection Operator (LASSO) regression. Random forest algorithms were used to construct NR and SR models. A clinical model based on serum β-hCG was also developed. The Clin-SR model was constructed by fusing SR radiomics with β-hCG values. Model performance was evaluated using area under the curve (AUC), calibration, and decision curve analysis (DCA). An independent temporal validation cohort (n = 40; 20 failures, 20 successes) was used to validation of the nomogram derived from the Clin-SR model.</p><p><strong>Results: </strong>The SR model significantly outperformed the NR model in the test cohort (AUC: 0.791 ± 0.015 vs. 0.629 ± 0.083). In a representative iteration, the Clin-SR fusion model achieved an AUC of 0.870 ± 0.015, with good calibration and net clinical benefit, suggesting reliable performance in predicting conservative treatment failure. In the independent validation cohort, the nomogram demonstrated good generalizability with an AUC of 0.808 and consistent calibration across risk thresholds. Key contributing radiomic features included Gray Level Variance and Voxel Volume, reflecting lesion heterogeneity and size.</p><p><strong>Conclusions: </strong>The Clin-SR model, which integrates deep learning-enhanced SR ultrasound radiomics with serum β-hCG, offers a robust and non-invasive tool for predicting conservative treatment failure in ectopic pregnancy. This multimodal approach enhances early risk stratification and supports personalized clinical decision-making, potentially reducing overtreatment and emergency interventions.</p>\",\"PeriodicalId\":21011,\"journal\":{\"name\":\"Reproductive Biology and Endocrinology\",\"volume\":\"23 1\",\"pages\":\"102\"},\"PeriodicalIF\":4.7000,\"publicationDate\":\"2025-07-17\",\"publicationTypes\":\"Journal Article\",\"fieldsOfStudy\":null,\"isOpenAccess\":false,\"openAccessPdf\":\"https://www.ncbi.nlm.nih.gov/pmc/articles/PMC12269241/pdf/\",\"citationCount\":\"0\",\"resultStr\":null,\"platform\":\"Semanticscholar\",\"paperid\":null,\"PeriodicalName\":\"Reproductive Biology and Endocrinology\",\"FirstCategoryId\":\"3\",\"ListUrlMain\":\"https://doi.org/10.1186/s12958-025-01437-5\",\"RegionNum\":2,\"RegionCategory\":\"医学\",\"ArticlePicture\":[],\"TitleCN\":null,\"AbstractTextCN\":null,\"PMCID\":null,\"EPubDate\":\"\",\"PubModel\":\"\",\"JCR\":\"Q1\",\"JCRName\":\"ENDOCRINOLOGY & METABOLISM\",\"Score\":null,\"Total\":0}","platform":"Semanticscholar","paperid":null,"PeriodicalName":"Reproductive Biology and Endocrinology","FirstCategoryId":"3","ListUrlMain":"https://doi.org/10.1186/s12958-025-01437-5","RegionNum":2,"RegionCategory":"医学","ArticlePicture":[],"TitleCN":null,"AbstractTextCN":null,"PMCID":null,"EPubDate":"","PubModel":"","JCR":"Q1","JCRName":"ENDOCRINOLOGY & METABOLISM","Score":null,"Total":0}
引用次数: 0

摘要

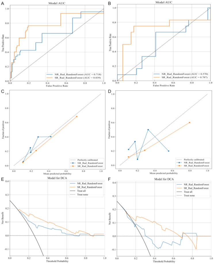
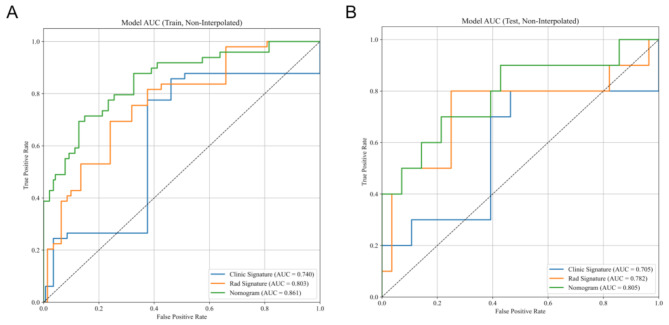
背景:对于部分异位妊娠(EP)患者,保守治疗仍然是一种可行的选择,但失败可能导致破裂和严重的并发症。目前,血清β-hCG是治疗结果的主要预测指标,但其准确性有限。本研究旨在开发并验证一种预测模型,该模型将超分辨率(SR)超声图像的放射学特征与临床生物标志物相结合,以改善风险分层。方法:回顾性分析经保守治疗的EP患者228例,其中治疗成功169例,治疗失败59例。使用基于深度学习的生成对抗网络(GAN)生成SR图像。从正常分辨率(NR)和SR超声图像中提取放射学特征。在观察者内部和观察者之间评价后,保留类内相关系数(ICC)≥0.75的特征。特征选择包括统计测试和最小绝对收缩和选择算子(LASSO)回归。采用随机森林算法构建NR和SR模型。建立了基于血清β-hCG的临床模型。将SR放射组学与β-hCG值融合构建clin1 -SR模型。使用曲线下面积(AUC)、校准和决策曲线分析(DCA)来评估模型的性能。独立时间验证队列(n = 40;20例失败,20例成功)用于验证由clin1 - sr模型导出的nomogram。结果:SR模型在测试队列中显著优于NR模型(AUC: 0.791±0.015比0.629±0.083)。在一次代表性的迭代中,clini - sr融合模型的AUC为0.870±0.015,具有良好的校准和净临床效益,表明在预测保守治疗失败方面具有可靠的性能。在独立验证队列中,nomogram显示出良好的泛化性,AUC为0.808,跨风险阈值的校准一致。关键的放射学特征包括灰度方差和体素体积,反映病变的异质性和大小。结论:将深度学习增强的SR超声放射组学与血清β-hCG相结合的clini -SR模型为预测异位妊娠保守治疗失败提供了一种可靠且无创的工具。这种多模式方法增强了早期风险分层,支持个性化临床决策,可能减少过度治疗和紧急干预。
本文章由计算机程序翻译,如有差异,请以英文原文为准。

The application of super-resolution ultrasound radiomics models in predicting the failure of conservative treatment for ectopic pregnancy.

The application of super-resolution ultrasound radiomics models in predicting the failure of conservative treatment for ectopic pregnancy.

The application of super-resolution ultrasound radiomics models in predicting the failure of conservative treatment for ectopic pregnancy.

The application of super-resolution ultrasound radiomics models in predicting the failure of conservative treatment for ectopic pregnancy.

Background: Conservative treatment remains a viable option for selected patients with ectopic pregnancy (EP), but failure may lead to rupture and serious complications. Currently, serum β-hCG is the main predictor for treatment outcomes, yet its accuracy is limited. This study aimed to develop and validate a predictive model that integrates radiomic features derived from super-resolution (SR) ultrasound images with clinical biomarkers to improve risk stratification.

Methods: A total of 228 patients with EP receiving conservative treatment were retrospectively included, with 169 classified as treatment success and 59 as failure. SR images were generated using a deep learning-based generative adversarial network (GAN). Radiomic features were extracted from both normal-resolution (NR) and SR ultrasound images. Features with intraclass correlation coefficient (ICC) ≥ 0.75 were retained after intra- and inter-observer evaluation. Feature selection involved statistical testing and Least Absolute Shrinkage and Selection Operator (LASSO) regression. Random forest algorithms were used to construct NR and SR models. A clinical model based on serum β-hCG was also developed. The Clin-SR model was constructed by fusing SR radiomics with β-hCG values. Model performance was evaluated using area under the curve (AUC), calibration, and decision curve analysis (DCA). An independent temporal validation cohort (n = 40; 20 failures, 20 successes) was used to validation of the nomogram derived from the Clin-SR model.

Results: The SR model significantly outperformed the NR model in the test cohort (AUC: 0.791 ± 0.015 vs. 0.629 ± 0.083). In a representative iteration, the Clin-SR fusion model achieved an AUC of 0.870 ± 0.015, with good calibration and net clinical benefit, suggesting reliable performance in predicting conservative treatment failure. In the independent validation cohort, the nomogram demonstrated good generalizability with an AUC of 0.808 and consistent calibration across risk thresholds. Key contributing radiomic features included Gray Level Variance and Voxel Volume, reflecting lesion heterogeneity and size.

Conclusions: The Clin-SR model, which integrates deep learning-enhanced SR ultrasound radiomics with serum β-hCG, offers a robust and non-invasive tool for predicting conservative treatment failure in ectopic pregnancy. This multimodal approach enhances early risk stratification and supports personalized clinical decision-making, potentially reducing overtreatment and emergency interventions.

求助全文
通过发布文献求助,成功后即可免费获取论文全文。 去求助
来源期刊
Reproductive Biology and Endocrinology
Reproductive Biology and Endocrinology 医学-内分泌学与代谢
CiteScore
7.90
自引率
2.30%
发文量
161
审稿时长
4-8 weeks
期刊介绍: Reproductive Biology and Endocrinology publishes and disseminates high-quality results from excellent research in the reproductive sciences. The journal publishes on topics covering gametogenesis, fertilization, early embryonic development, embryo-uterus interaction, reproductive development, pregnancy, uterine biology, endocrinology of reproduction, control of reproduction, reproductive immunology, neuroendocrinology, and veterinary and human reproductive medicine, including all vertebrate species.
×
引用
GB/T 7714-2015
复制
MLA
复制
APA
复制
导出至
BibTeX EndNote RefMan NoteFirst NoteExpress
×
提示
您的信息不完整,为了账户安全,请先补充。
现在去补充
×
提示
您因"违规操作"
具体请查看互助需知
我知道了
×
提示
确定
请完成安全验证×
copy
已复制链接
快去分享给好友吧!
我知道了
右上角分享
点击右上角分享
0
联系我们:info@booksci.cn Book学术提供免费学术资源搜索服务,方便国内外学者检索中英文文献。致力于提供最便捷和优质的服务体验。 Copyright © 2023 布克学术 All rights reserved.
京ICP备2023020795号-1
ghs 京公网安备 11010802042870号
Book学术文献互助
Book学术文献互助群
群 号:604180095
Book学术官方微信