局部晚期食管鳞状细胞癌的新辅助免疫化疗:2年生存分析的回顾性研究。

IF 2.8 3区 医学 Q3 ONCOLOGY
Chong-Rui Li, Yu-Zhen Chen, Bin Li, Mei-Yu Ren, Yu-Qi Meng, Tie-Niu Song, Jian-Bao Yang, Cheng Wang, Xiao-Ping Wei, Peng Jiang, Duo-Jie Zhu
{"title":"局部晚期食管鳞状细胞癌的新辅助免疫化疗:2年生存分析的回顾性研究。","authors":"Chong-Rui Li, Yu-Zhen Chen, Bin Li, Mei-Yu Ren, Yu-Qi Meng, Tie-Niu Song, Jian-Bao Yang, Cheng Wang, Xiao-Ping Wei, Peng Jiang, Duo-Jie Zhu","doi":"10.1007/s00432-025-06263-1","DOIUrl":null,"url":null,"abstract":"<p><strong>Background: </strong>Neoadjuvant immunochemotherapy (NICT) has shown encouraging short-term outcomes in patients with locally advanced resectable esophageal squamous cell carcinoma (ESCC), but data on long-term survival remain limited. This study compared the therapeutic efficacy, safety, and 2-year survival outcomes of NICT versus surgery alone.</p><p><strong>Methods: </strong>We retrospectively analyzed patients with locally advanced resectable ESCC who underwent either NICT followed by surgery or upfront surgery alone. Primary endpoints were disease-free survival (DFS) and overall survival (OS).</p><p><strong>Results: </strong>A total of 188 patients were included, with 60 receiving NICT and 128 undergoing surgery alone. The NICT group achieved better 2-year DFS (76.7% vs. 57.0%, P = 0.021) and OS (86.7% vs. 68.0%, P = 0.0053), with similar rates of postoperative complications (40.0% vs. 37.5%, P = 0.742). No ≥ grade 3 postoperative complications occurred in the NICT group, while three cases (2.3%) were observed in the surgery-alone group. Pathological responses to NICT included 28.3% complete response (pCR) and 61.7% major response (MPR). Grade 3 treatment-related adverse events occurred in 20.0% of NICT patients, with no grade ≥ 4 events. Patients achieving pCR or MPR had significantly better survival outcomes than non-responders. Survival outcomes were similar between 2-cycle and > 2-cycle NICT regimens. ECOG performance status, coronary artery disease, and treatment modality were identified as independent prognostic factors.</p><p><strong>Conclusion: </strong>NICT followed by surgery demonstrated favorable pathological response and 2-year survival outcomes in locally advanced ESCC, supporting its potential as a neoadjuvant strategy pending further prospective validation.</p>","PeriodicalId":15118,"journal":{"name":"Journal of Cancer Research and Clinical Oncology","volume":"151 7","pages":"217"},"PeriodicalIF":2.8000,"publicationDate":"2025-07-17","publicationTypes":"Journal Article","fieldsOfStudy":null,"isOpenAccess":false,"openAccessPdf":"https://www.ncbi.nlm.nih.gov/pmc/articles/PMC12271257/pdf/","citationCount":"0","resultStr":"{\"title\":\"Neoadjuvant immunochemotherapy in locally advanced esophageal squamous cell carcinoma: a retrospective study with 2-year survival analysis.\",\"authors\":\"Chong-Rui Li, Yu-Zhen Chen, Bin Li, Mei-Yu Ren, Yu-Qi Meng, Tie-Niu Song, Jian-Bao Yang, Cheng Wang, Xiao-Ping Wei, Peng Jiang, Duo-Jie Zhu\",\"doi\":\"10.1007/s00432-025-06263-1\",\"DOIUrl\":null,\"url\":null,\"abstract\":\"<p><strong>Background: </strong>Neoadjuvant immunochemotherapy (NICT) has shown encouraging short-term outcomes in patients with locally advanced resectable esophageal squamous cell carcinoma (ESCC), but data on long-term survival remain limited. This study compared the therapeutic efficacy, safety, and 2-year survival outcomes of NICT versus surgery alone.</p><p><strong>Methods: </strong>We retrospectively analyzed patients with locally advanced resectable ESCC who underwent either NICT followed by surgery or upfront surgery alone. Primary endpoints were disease-free survival (DFS) and overall survival (OS).</p><p><strong>Results: </strong>A total of 188 patients were included, with 60 receiving NICT and 128 undergoing surgery alone. The NICT group achieved better 2-year DFS (76.7% vs. 57.0%, P = 0.021) and OS (86.7% vs. 68.0%, P = 0.0053), with similar rates of postoperative complications (40.0% vs. 37.5%, P = 0.742). No ≥ grade 3 postoperative complications occurred in the NICT group, while three cases (2.3%) were observed in the surgery-alone group. Pathological responses to NICT included 28.3% complete response (pCR) and 61.7% major response (MPR). Grade 3 treatment-related adverse events occurred in 20.0% of NICT patients, with no grade ≥ 4 events. Patients achieving pCR or MPR had significantly better survival outcomes than non-responders. Survival outcomes were similar between 2-cycle and > 2-cycle NICT regimens. ECOG performance status, coronary artery disease, and treatment modality were identified as independent prognostic factors.</p><p><strong>Conclusion: </strong>NICT followed by surgery demonstrated favorable pathological response and 2-year survival outcomes in locally advanced ESCC, supporting its potential as a neoadjuvant strategy pending further prospective validation.</p>\",\"PeriodicalId\":15118,\"journal\":{\"name\":\"Journal of Cancer Research and Clinical Oncology\",\"volume\":\"151 7\",\"pages\":\"217\"},\"PeriodicalIF\":2.8000,\"publicationDate\":\"2025-07-17\",\"publicationTypes\":\"Journal Article\",\"fieldsOfStudy\":null,\"isOpenAccess\":false,\"openAccessPdf\":\"https://www.ncbi.nlm.nih.gov/pmc/articles/PMC12271257/pdf/\",\"citationCount\":\"0\",\"resultStr\":null,\"platform\":\"Semanticscholar\",\"paperid\":null,\"PeriodicalName\":\"Journal of Cancer Research and Clinical Oncology\",\"FirstCategoryId\":\"3\",\"ListUrlMain\":\"https://doi.org/10.1007/s00432-025-06263-1\",\"RegionNum\":3,\"RegionCategory\":\"医学\",\"ArticlePicture\":[],\"TitleCN\":null,\"AbstractTextCN\":null,\"PMCID\":null,\"EPubDate\":\"\",\"PubModel\":\"\",\"JCR\":\"Q3\",\"JCRName\":\"ONCOLOGY\",\"Score\":null,\"Total\":0}","platform":"Semanticscholar","paperid":null,"PeriodicalName":"Journal of Cancer Research and Clinical Oncology","FirstCategoryId":"3","ListUrlMain":"https://doi.org/10.1007/s00432-025-06263-1","RegionNum":3,"RegionCategory":"医学","ArticlePicture":[],"TitleCN":null,"AbstractTextCN":null,"PMCID":null,"EPubDate":"","PubModel":"","JCR":"Q3","JCRName":"ONCOLOGY","Score":null,"Total":0}
引用次数: 0

摘要

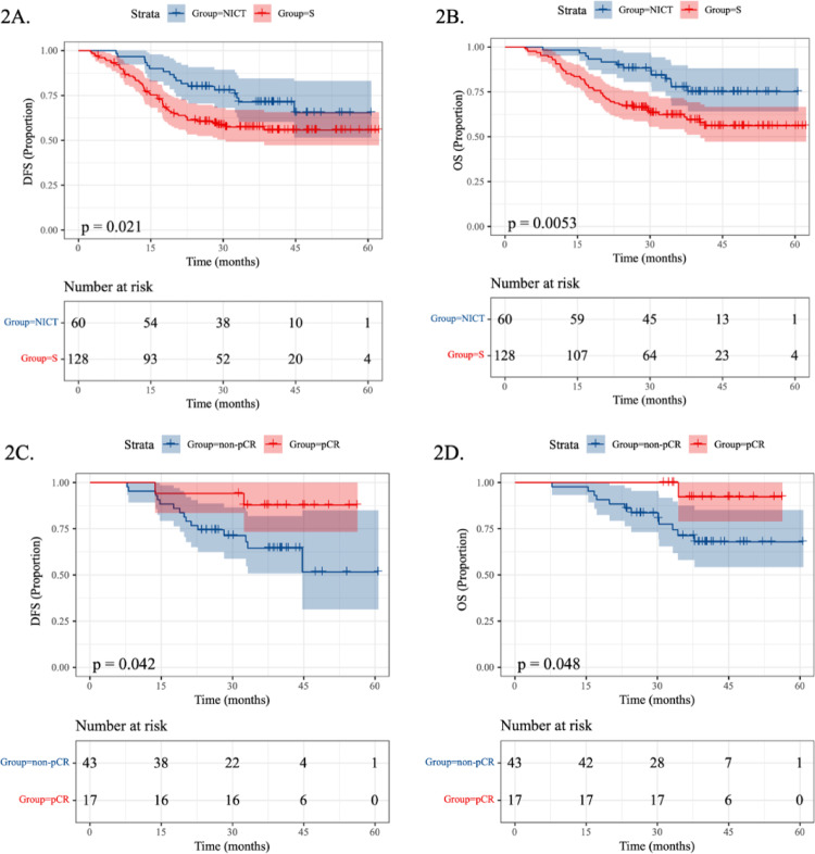
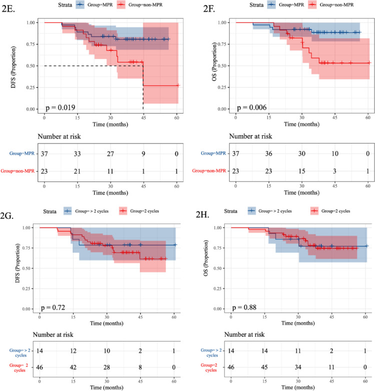
背景:新辅助免疫化疗(NICT)在局部晚期可切除食管鳞状细胞癌(ESCC)患者中显示出令人鼓舞的短期结果,但长期生存数据仍然有限。本研究比较了NICT与单纯手术的疗效、安全性和2年生存率。方法:我们回顾性分析局部晚期可切除ESCC患者,这些患者要么接受NICT,要么接受手术,要么单独进行术前手术。主要终点为无病生存期(DFS)和总生存期(OS)。结果:共纳入188例患者,其中60例接受NICT治疗,128例单独手术治疗。NICT组获得了更好的2年DFS (76.7% vs. 57.0%, P = 0.021)和OS (86.7% vs. 68.0%, P = 0.0053),术后并发症发生率相似(40.0% vs. 37.5%, P = 0.742)。NICT组无术后≥3级并发症发生,单纯手术组3例(2.3%)。NICT的病理反应包括28.3%的完全缓解(pCR)和61.7%的主要缓解(MPR)。20.0%的NICT患者发生3级治疗相关不良事件,无≥4级不良事件。获得pCR或MPR的患者的生存结果明显优于无反应的患者。2周期和10 2周期NICT方案的生存结果相似。ECOG表现状态、冠状动脉疾病和治疗方式被确定为独立的预后因素。结论:NICT后手术治疗局部晚期ESCC表现出良好的病理反应和2年生存结果,支持其作为新辅助策略的潜力,有待进一步的前瞻性验证。
本文章由计算机程序翻译,如有差异,请以英文原文为准。

Neoadjuvant immunochemotherapy in locally advanced esophageal squamous cell carcinoma: a retrospective study with 2-year survival analysis.

Neoadjuvant immunochemotherapy in locally advanced esophageal squamous cell carcinoma: a retrospective study with 2-year survival analysis.

Neoadjuvant immunochemotherapy in locally advanced esophageal squamous cell carcinoma: a retrospective study with 2-year survival analysis.

Neoadjuvant immunochemotherapy in locally advanced esophageal squamous cell carcinoma: a retrospective study with 2-year survival analysis.

Background: Neoadjuvant immunochemotherapy (NICT) has shown encouraging short-term outcomes in patients with locally advanced resectable esophageal squamous cell carcinoma (ESCC), but data on long-term survival remain limited. This study compared the therapeutic efficacy, safety, and 2-year survival outcomes of NICT versus surgery alone.

Methods: We retrospectively analyzed patients with locally advanced resectable ESCC who underwent either NICT followed by surgery or upfront surgery alone. Primary endpoints were disease-free survival (DFS) and overall survival (OS).

Results: A total of 188 patients were included, with 60 receiving NICT and 128 undergoing surgery alone. The NICT group achieved better 2-year DFS (76.7% vs. 57.0%, P = 0.021) and OS (86.7% vs. 68.0%, P = 0.0053), with similar rates of postoperative complications (40.0% vs. 37.5%, P = 0.742). No ≥ grade 3 postoperative complications occurred in the NICT group, while three cases (2.3%) were observed in the surgery-alone group. Pathological responses to NICT included 28.3% complete response (pCR) and 61.7% major response (MPR). Grade 3 treatment-related adverse events occurred in 20.0% of NICT patients, with no grade ≥ 4 events. Patients achieving pCR or MPR had significantly better survival outcomes than non-responders. Survival outcomes were similar between 2-cycle and > 2-cycle NICT regimens. ECOG performance status, coronary artery disease, and treatment modality were identified as independent prognostic factors.

Conclusion: NICT followed by surgery demonstrated favorable pathological response and 2-year survival outcomes in locally advanced ESCC, supporting its potential as a neoadjuvant strategy pending further prospective validation.

求助全文
通过发布文献求助,成功后即可免费获取论文全文。 去求助
来源期刊
CiteScore
4.00
自引率
2.80%
发文量
577
审稿时长
2 months
期刊介绍: The "Journal of Cancer Research and Clinical Oncology" publishes significant and up-to-date articles within the fields of experimental and clinical oncology. The journal, which is chiefly devoted to Original papers, also includes Reviews as well as Editorials and Guest editorials on current, controversial topics. The section Letters to the editors provides a forum for a rapid exchange of comments and information concerning previously published papers and topics of current interest. Meeting reports provide current information on the latest results presented at important congresses. The following fields are covered: carcinogenesis - etiology, mechanisms; molecular biology; recent developments in tumor therapy; general diagnosis; laboratory diagnosis; diagnostic and experimental pathology; oncologic surgery; and epidemiology.
×
引用
GB/T 7714-2015
复制
MLA
复制
APA
复制
导出至
BibTeX EndNote RefMan NoteFirst NoteExpress
×
提示
您的信息不完整,为了账户安全,请先补充。
现在去补充
×
提示
您因"违规操作"
具体请查看互助需知
我知道了
×
提示
确定
请完成安全验证×
copy
已复制链接
快去分享给好友吧!
我知道了
右上角分享
点击右上角分享
0
联系我们:info@booksci.cn Book学术提供免费学术资源搜索服务,方便国内外学者检索中英文文献。致力于提供最便捷和优质的服务体验。 Copyright © 2023 布克学术 All rights reserved.
京ICP备2023020795号-1
ghs 京公网安备 11010802042870号
Book学术文献互助
Book学术文献互助群
群 号:604180095
Book学术官方微信