酒精消费对就业和社会结果的影响:一项孟德尔随机研究

IF 2.2 4区 医学 Q3 SUBSTANCE ABUSE
Desmond D Campbell, Michael Green, Neil M Davies, Sean Harrison, Evangelia Demou, Laura D Howe, Marcus R Munafò, Srinivasa Vittal Katikireddi
{"title":"酒精消费对就业和社会结果的影响:一项孟德尔随机研究","authors":"Desmond D Campbell, Michael Green, Neil M Davies, Sean Harrison, Evangelia Demou, Laura D Howe, Marcus R Munafò, Srinivasa Vittal Katikireddi","doi":"10.1093/alcalc/agaf038","DOIUrl":null,"url":null,"abstract":"<p><strong>Aims: </strong>Alcohol consumption is associated with socioeconomic disadvantage, but causality is unclear. We used Mendelian randomisation (MR) to estimate the effect of alcohol consumption on socioeconomic and employment-related outcomes.</p><p><strong>Methods: </strong>We conducted observational analyses and two-sample MR analyses using 230 775 working-age participants (aged 40+) of White British ethnicity/ancestry (54.5% male) from the UK Biobank.</p><p><strong>Outcomes: </strong>employment status (employed vs not; employed vs sickness/disability, unemployment, retirement or caring for home/family); weekly hours worked (among employed); deprivation (Townsend Deprivation Index); highest educational attainment; and household income.</p><p><strong>Exposures: </strong>alcohol consumption (units per week), hazardous alcohol consumption assessed by Alcohol Use Disorder Identification Test-C score and Alcohol use disorder (AUD).</p><p><strong>Results: </strong>MR analyses suggested that alcohol exposure increased the risk of living in a more deprived area. A unit per week increase in alcohol consumption increased deprivation by 0.31 deciles (95% CI: 0.10, 0.52). A unit increase in liability for AUD increased deprivation by 0.09 deciles (95% CI: 0.02, 0.16). Findings, and often effect directions, differed by sex. In men, increased alcohol consumption decreased household income and increased the risk of not being in paid employment and unemployment. In women, increased alcohol consumption decreased the risk of not being in paid employment, retirement, and caring for home/family. Effects were generally more detrimental for men than women. This is especially evident for not being in paid employment, household income, and deprivation.</p><p><strong>Conclusions: </strong>Alcohol consumption may increase the risk of living in deprived neighbourhoods. It may have deleterious effects on employment (including unemployment) and income, but these differ strongly by sex, largely affecting men.</p>","PeriodicalId":7407,"journal":{"name":"Alcohol and alcoholism","volume":"60 5","pages":""},"PeriodicalIF":2.2000,"publicationDate":"2025-07-16","publicationTypes":"Journal Article","fieldsOfStudy":null,"isOpenAccess":false,"openAccessPdf":"https://www.ncbi.nlm.nih.gov/pmc/articles/PMC12271571/pdf/","citationCount":"0","resultStr":"{\"title\":\"Effects of alcohol consumption on employment and social outcomes: a Mendelian randomisation study.\",\"authors\":\"Desmond D Campbell, Michael Green, Neil M Davies, Sean Harrison, Evangelia Demou, Laura D Howe, Marcus R Munafò, Srinivasa Vittal Katikireddi\",\"doi\":\"10.1093/alcalc/agaf038\",\"DOIUrl\":null,\"url\":null,\"abstract\":\"<p><strong>Aims: </strong>Alcohol consumption is associated with socioeconomic disadvantage, but causality is unclear. We used Mendelian randomisation (MR) to estimate the effect of alcohol consumption on socioeconomic and employment-related outcomes.</p><p><strong>Methods: </strong>We conducted observational analyses and two-sample MR analyses using 230 775 working-age participants (aged 40+) of White British ethnicity/ancestry (54.5% male) from the UK Biobank.</p><p><strong>Outcomes: </strong>employment status (employed vs not; employed vs sickness/disability, unemployment, retirement or caring for home/family); weekly hours worked (among employed); deprivation (Townsend Deprivation Index); highest educational attainment; and household income.</p><p><strong>Exposures: </strong>alcohol consumption (units per week), hazardous alcohol consumption assessed by Alcohol Use Disorder Identification Test-C score and Alcohol use disorder (AUD).</p><p><strong>Results: </strong>MR analyses suggested that alcohol exposure increased the risk of living in a more deprived area. A unit per week increase in alcohol consumption increased deprivation by 0.31 deciles (95% CI: 0.10, 0.52). A unit increase in liability for AUD increased deprivation by 0.09 deciles (95% CI: 0.02, 0.16). Findings, and often effect directions, differed by sex. In men, increased alcohol consumption decreased household income and increased the risk of not being in paid employment and unemployment. In women, increased alcohol consumption decreased the risk of not being in paid employment, retirement, and caring for home/family. Effects were generally more detrimental for men than women. This is especially evident for not being in paid employment, household income, and deprivation.</p><p><strong>Conclusions: </strong>Alcohol consumption may increase the risk of living in deprived neighbourhoods. It may have deleterious effects on employment (including unemployment) and income, but these differ strongly by sex, largely affecting men.</p>\",\"PeriodicalId\":7407,\"journal\":{\"name\":\"Alcohol and alcoholism\",\"volume\":\"60 5\",\"pages\":\"\"},\"PeriodicalIF\":2.2000,\"publicationDate\":\"2025-07-16\",\"publicationTypes\":\"Journal Article\",\"fieldsOfStudy\":null,\"isOpenAccess\":false,\"openAccessPdf\":\"https://www.ncbi.nlm.nih.gov/pmc/articles/PMC12271571/pdf/\",\"citationCount\":\"0\",\"resultStr\":null,\"platform\":\"Semanticscholar\",\"paperid\":null,\"PeriodicalName\":\"Alcohol and alcoholism\",\"FirstCategoryId\":\"3\",\"ListUrlMain\":\"https://doi.org/10.1093/alcalc/agaf038\",\"RegionNum\":4,\"RegionCategory\":\"医学\",\"ArticlePicture\":[],\"TitleCN\":null,\"AbstractTextCN\":null,\"PMCID\":null,\"EPubDate\":\"\",\"PubModel\":\"\",\"JCR\":\"Q3\",\"JCRName\":\"SUBSTANCE ABUSE\",\"Score\":null,\"Total\":0}","platform":"Semanticscholar","paperid":null,"PeriodicalName":"Alcohol and alcoholism","FirstCategoryId":"3","ListUrlMain":"https://doi.org/10.1093/alcalc/agaf038","RegionNum":4,"RegionCategory":"医学","ArticlePicture":[],"TitleCN":null,"AbstractTextCN":null,"PMCID":null,"EPubDate":"","PubModel":"","JCR":"Q3","JCRName":"SUBSTANCE ABUSE","Score":null,"Total":0}
引用次数: 0

摘要

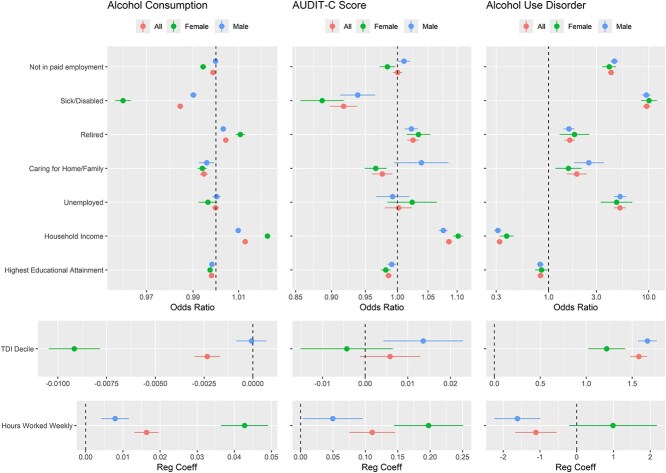
目的:饮酒与社会经济劣势有关,但因果关系尚不清楚。我们使用孟德尔随机化(MR)来估计酒精消费对社会经济和就业相关结果的影响。方法:我们对来自英国生物银行(UK Biobank)的230 775名工作年龄(40岁以上)的英国白人/血统(54.5%为男性)进行了观察分析和双样本磁共振分析。结果:就业状况(受雇与否;受雇vs疾病/残疾、失业、退休或照顾家庭);每周工作时数(在职人员);贫困(汤森贫困指数);最高的教育程度;还有家庭收入。暴露:酒精消费(每周单位),酒精使用障碍识别测试- c评分评估的危险酒精消费和酒精使用障碍(AUD)。结果:磁共振分析表明,酒精暴露增加了生活在更贫困地区的风险。每周每增加一个单位的饮酒量,剥夺感就增加0.31个十分位数(95%可信区间:0.10,0.52)。澳元负债每增加一个单位,剥夺率增加0.09个十分位数(95%可信区间:0.02,0.16)。结果,以及通常的影响方向,因性别而异。在男性中,饮酒增加会降低家庭收入,增加无薪就业和失业的风险。在女性中,酒精消费量的增加降低了不从事有薪工作、退休和照顾家庭/家庭的风险。对男性的影响通常比女性更大。这一点在不从事有偿工作、家庭收入和贫困的情况下尤为明显。结论:饮酒可能会增加生活在贫困社区的风险。它可能对就业(包括失业)和收入产生有害影响,但这些影响因性别而异,主要影响男性。
本文章由计算机程序翻译,如有差异,请以英文原文为准。

Effects of alcohol consumption on employment and social outcomes: a Mendelian randomisation study.

Effects of alcohol consumption on employment and social outcomes: a Mendelian randomisation study.

Effects of alcohol consumption on employment and social outcomes: a Mendelian randomisation study.

Aims: Alcohol consumption is associated with socioeconomic disadvantage, but causality is unclear. We used Mendelian randomisation (MR) to estimate the effect of alcohol consumption on socioeconomic and employment-related outcomes.

Methods: We conducted observational analyses and two-sample MR analyses using 230 775 working-age participants (aged 40+) of White British ethnicity/ancestry (54.5% male) from the UK Biobank.

Outcomes: employment status (employed vs not; employed vs sickness/disability, unemployment, retirement or caring for home/family); weekly hours worked (among employed); deprivation (Townsend Deprivation Index); highest educational attainment; and household income.

Exposures: alcohol consumption (units per week), hazardous alcohol consumption assessed by Alcohol Use Disorder Identification Test-C score and Alcohol use disorder (AUD).

Results: MR analyses suggested that alcohol exposure increased the risk of living in a more deprived area. A unit per week increase in alcohol consumption increased deprivation by 0.31 deciles (95% CI: 0.10, 0.52). A unit increase in liability for AUD increased deprivation by 0.09 deciles (95% CI: 0.02, 0.16). Findings, and often effect directions, differed by sex. In men, increased alcohol consumption decreased household income and increased the risk of not being in paid employment and unemployment. In women, increased alcohol consumption decreased the risk of not being in paid employment, retirement, and caring for home/family. Effects were generally more detrimental for men than women. This is especially evident for not being in paid employment, household income, and deprivation.

Conclusions: Alcohol consumption may increase the risk of living in deprived neighbourhoods. It may have deleterious effects on employment (including unemployment) and income, but these differ strongly by sex, largely affecting men.

求助全文
通过发布文献求助,成功后即可免费获取论文全文。 去求助
来源期刊
Alcohol and alcoholism
Alcohol and alcoholism 医学-药物滥用
CiteScore
4.70
自引率
3.60%
发文量
62
审稿时长
4-8 weeks
期刊介绍: About the Journal Alcohol and Alcoholism publishes papers on the biomedical, psychological, and sociological aspects of alcoholism and alcohol research, provided that they make a new and significant contribution to knowledge in the field. Papers include new results obtained experimentally, descriptions of new experimental (including clinical) methods of importance to the field of alcohol research and treatment, or new interpretations of existing results. Theoretical contributions are considered equally with papers dealing with experimental work provided that such theoretical contributions are not of a largely speculative or philosophical nature.
×
引用
GB/T 7714-2015
复制
MLA
复制
APA
复制
导出至
BibTeX EndNote RefMan NoteFirst NoteExpress
×
提示
您的信息不完整,为了账户安全,请先补充。
现在去补充
×
提示
您因"违规操作"
具体请查看互助需知
我知道了
×
提示
确定
请完成安全验证×
copy
已复制链接
快去分享给好友吧!
我知道了
右上角分享
点击右上角分享
0
联系我们:info@booksci.cn Book学术提供免费学术资源搜索服务,方便国内外学者检索中英文文献。致力于提供最便捷和优质的服务体验。 Copyright © 2023 布克学术 All rights reserved.
京ICP备2023020795号-1
ghs 京公网安备 11010802042870号
Book学术文献互助
Book学术文献互助群
群 号:604180095
Book学术官方微信