严重急性呼吸综合征冠状病毒2型疫苗接种和严重感染后血小板-中性粒细胞聚集比升高。

IF 2.9 4区 综合性期刊 Q2 MULTIDISCIPLINARY SCIENCES
Science Progress Pub Date : 2025-07-01 Epub Date: 2025-07-17 DOI:10.1177/00368504251352079
Barbara Réger, Margit Solymár, Sándor Pál, Viktória Temesfői, Attila Miseta, Zsuzsanna Faust
{"title":"严重急性呼吸综合征冠状病毒2型疫苗接种和严重感染后血小板-中性粒细胞聚集比升高。","authors":"Barbara Réger, Margit Solymár, Sándor Pál, Viktória Temesfői, Attila Miseta, Zsuzsanna Faust","doi":"10.1177/00368504251352079","DOIUrl":null,"url":null,"abstract":"<p><p>ObjectivesPlatelet-neutrophil aggregates (PNA) bridge inflammatory processes with the hemostatic system. The goal of this study was the comparative evaluation of PNAs in healthy individuals vaccinated against severe acute respiratory syndrome coronavirus 2 (SARS-CoV-2), septic patients, coronavirus disease 2019 (COVID-19) patients, and a pre-pandemic control group from 2019.MethodsThis observational study involved prospective blood sample collection from vaccinated individuals at separate times after immunization with Pfizer-BioNTech mRNA vaccine, together with the retrospective analysis of laboratory data from COVID-19, sepsis, and control subjects. PNA ratios and anti-S-protein antibody levels were also measured.ResultsFollowing primary SARS-CoV-2 vaccination, PNA levels increased significantly, showing a gradual decline over six months while remaining elevated. Booster vaccinations did not elevate PNA levels. In COVID-19 patients PNA ratios were the highest, while in the patients with sepsis remained comparable to those of the control group. A moderate correlation was found between PNA and anti-S-protein levels after primary immunization (rho = 0.31, <i>p</i> = 0.0071), but no correlation was observed post-booster. Strong associations between PNA and platelet counts occurred in COVID-19 and sepsis groups, while leukocyte and neutrophil counts showed no significant correlations with PNA.ConclusionsThe results of this study may support the possibility of using PNA ratio assessment for the evaluation of the immune response.</p>","PeriodicalId":56061,"journal":{"name":"Science Progress","volume":"108 3","pages":"368504251352079"},"PeriodicalIF":2.9000,"publicationDate":"2025-07-01","publicationTypes":"Journal Article","fieldsOfStudy":null,"isOpenAccess":false,"openAccessPdf":"https://www.ncbi.nlm.nih.gov/pmc/articles/PMC12276486/pdf/","citationCount":"0","resultStr":"{\"title\":\"Increased platelet-neutrophil aggregate ratio after severe acute respiratory syndrome coronavirus 2 vaccination and severe infection.\",\"authors\":\"Barbara Réger, Margit Solymár, Sándor Pál, Viktória Temesfői, Attila Miseta, Zsuzsanna Faust\",\"doi\":\"10.1177/00368504251352079\",\"DOIUrl\":null,\"url\":null,\"abstract\":\"<p><p>ObjectivesPlatelet-neutrophil aggregates (PNA) bridge inflammatory processes with the hemostatic system. The goal of this study was the comparative evaluation of PNAs in healthy individuals vaccinated against severe acute respiratory syndrome coronavirus 2 (SARS-CoV-2), septic patients, coronavirus disease 2019 (COVID-19) patients, and a pre-pandemic control group from 2019.MethodsThis observational study involved prospective blood sample collection from vaccinated individuals at separate times after immunization with Pfizer-BioNTech mRNA vaccine, together with the retrospective analysis of laboratory data from COVID-19, sepsis, and control subjects. PNA ratios and anti-S-protein antibody levels were also measured.ResultsFollowing primary SARS-CoV-2 vaccination, PNA levels increased significantly, showing a gradual decline over six months while remaining elevated. Booster vaccinations did not elevate PNA levels. In COVID-19 patients PNA ratios were the highest, while in the patients with sepsis remained comparable to those of the control group. A moderate correlation was found between PNA and anti-S-protein levels after primary immunization (rho = 0.31, <i>p</i> = 0.0071), but no correlation was observed post-booster. Strong associations between PNA and platelet counts occurred in COVID-19 and sepsis groups, while leukocyte and neutrophil counts showed no significant correlations with PNA.ConclusionsThe results of this study may support the possibility of using PNA ratio assessment for the evaluation of the immune response.</p>\",\"PeriodicalId\":56061,\"journal\":{\"name\":\"Science Progress\",\"volume\":\"108 3\",\"pages\":\"368504251352079\"},\"PeriodicalIF\":2.9000,\"publicationDate\":\"2025-07-01\",\"publicationTypes\":\"Journal Article\",\"fieldsOfStudy\":null,\"isOpenAccess\":false,\"openAccessPdf\":\"https://www.ncbi.nlm.nih.gov/pmc/articles/PMC12276486/pdf/\",\"citationCount\":\"0\",\"resultStr\":null,\"platform\":\"Semanticscholar\",\"paperid\":null,\"PeriodicalName\":\"Science Progress\",\"FirstCategoryId\":\"103\",\"ListUrlMain\":\"https://doi.org/10.1177/00368504251352079\",\"RegionNum\":4,\"RegionCategory\":\"综合性期刊\",\"ArticlePicture\":[],\"TitleCN\":null,\"AbstractTextCN\":null,\"PMCID\":null,\"EPubDate\":\"2025/7/17 0:00:00\",\"PubModel\":\"Epub\",\"JCR\":\"Q2\",\"JCRName\":\"MULTIDISCIPLINARY SCIENCES\",\"Score\":null,\"Total\":0}","platform":"Semanticscholar","paperid":null,"PeriodicalName":"Science Progress","FirstCategoryId":"103","ListUrlMain":"https://doi.org/10.1177/00368504251352079","RegionNum":4,"RegionCategory":"综合性期刊","ArticlePicture":[],"TitleCN":null,"AbstractTextCN":null,"PMCID":null,"EPubDate":"2025/7/17 0:00:00","PubModel":"Epub","JCR":"Q2","JCRName":"MULTIDISCIPLINARY SCIENCES","Score":null,"Total":0}
引用次数: 0

摘要

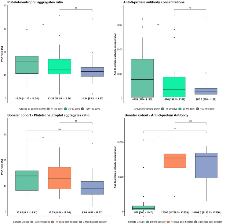
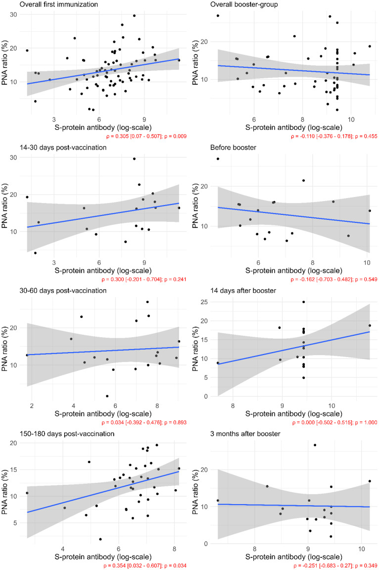
目的血小板-中性粒细胞聚集体(PNA)在炎症过程和止血系统之间起桥梁作用。本研究的目的是比较评估接种了严重急性呼吸综合征冠状病毒2 (SARS-CoV-2)疫苗的健康个体、脓毒症患者、2019年冠状病毒病(COVID-19)患者和2019年大流行前对照组的PNAs。方法本观察性研究包括在接种辉瑞- biontech mRNA疫苗后的不同时间对接种者进行前瞻性血液采集,并对COVID-19、败血症和对照组的实验室数据进行回顾性分析。测定PNA比值和抗s蛋白抗体水平。结果首次接种SARS-CoV-2后,PNA水平显著升高,在6个月内逐渐下降,但仍保持较高水平。加强疫苗接种没有提高PNA水平。在COVID-19患者中,PNA比率最高,而脓毒症患者的PNA比率与对照组相当。初级免疫后PNA与抗s蛋白水平有中度相关性(rho = 0.31, p = 0.0071),强化免疫后PNA与抗s蛋白水平无相关性。在COVID-19组和败血症组中,PNA与血小板计数有很强的相关性,而白细胞和中性粒细胞计数与PNA无显著相关性。结论本研究结果为PNA比值评价免疫应答提供了依据。
本文章由计算机程序翻译,如有差异,请以英文原文为准。

Increased platelet-neutrophil aggregate ratio after severe acute respiratory syndrome coronavirus 2 vaccination and severe infection.

Increased platelet-neutrophil aggregate ratio after severe acute respiratory syndrome coronavirus 2 vaccination and severe infection.

Increased platelet-neutrophil aggregate ratio after severe acute respiratory syndrome coronavirus 2 vaccination and severe infection.

Increased platelet-neutrophil aggregate ratio after severe acute respiratory syndrome coronavirus 2 vaccination and severe infection.

ObjectivesPlatelet-neutrophil aggregates (PNA) bridge inflammatory processes with the hemostatic system. The goal of this study was the comparative evaluation of PNAs in healthy individuals vaccinated against severe acute respiratory syndrome coronavirus 2 (SARS-CoV-2), septic patients, coronavirus disease 2019 (COVID-19) patients, and a pre-pandemic control group from 2019.MethodsThis observational study involved prospective blood sample collection from vaccinated individuals at separate times after immunization with Pfizer-BioNTech mRNA vaccine, together with the retrospective analysis of laboratory data from COVID-19, sepsis, and control subjects. PNA ratios and anti-S-protein antibody levels were also measured.ResultsFollowing primary SARS-CoV-2 vaccination, PNA levels increased significantly, showing a gradual decline over six months while remaining elevated. Booster vaccinations did not elevate PNA levels. In COVID-19 patients PNA ratios were the highest, while in the patients with sepsis remained comparable to those of the control group. A moderate correlation was found between PNA and anti-S-protein levels after primary immunization (rho = 0.31, p = 0.0071), but no correlation was observed post-booster. Strong associations between PNA and platelet counts occurred in COVID-19 and sepsis groups, while leukocyte and neutrophil counts showed no significant correlations with PNA.ConclusionsThe results of this study may support the possibility of using PNA ratio assessment for the evaluation of the immune response.

求助全文
通过发布文献求助,成功后即可免费获取论文全文。 去求助
来源期刊
Science Progress
Science Progress Multidisciplinary-Multidisciplinary
CiteScore
3.80
自引率
0.00%
发文量
119
期刊介绍: Science Progress has for over 100 years been a highly regarded review publication in science, technology and medicine. Its objective is to excite the readers'' interest in areas with which they may not be fully familiar but which could facilitate their interest, or even activity, in a cognate field.
×
引用
GB/T 7714-2015
复制
MLA
复制
APA
复制
导出至
BibTeX EndNote RefMan NoteFirst NoteExpress
×
提示
您的信息不完整,为了账户安全,请先补充。
现在去补充
×
提示
您因"违规操作"
具体请查看互助需知
我知道了
×
提示
确定
请完成安全验证×
copy
已复制链接
快去分享给好友吧!
我知道了
右上角分享
点击右上角分享
0
联系我们:info@booksci.cn Book学术提供免费学术资源搜索服务,方便国内外学者检索中英文文献。致力于提供最便捷和优质的服务体验。 Copyright © 2023 布克学术 All rights reserved.
京ICP备2023020795号-1
ghs 京公网安备 11010802042870号
Book学术文献互助
Book学术文献互助群
群 号:604180095
Book学术官方微信