自由表面气泡流动在一个开放的毛细管通道。

IF 4.1 1区 物理与天体物理 Q1 MULTIDISCIPLINARY SCIENCES
Bo Wu, Zongyu Wu, Yong Chen, Guangyu Li, Wen Yao
{"title":"自由表面气泡流动在一个开放的毛细管通道。","authors":"Bo Wu, Zongyu Wu, Yong Chen, Guangyu Li, Wen Yao","doi":"10.1038/s41526-025-00496-7","DOIUrl":null,"url":null,"abstract":"<p><p>This study investigates bubbly flow in a rectangular open channel under microgravity. A homogeneous flow model is used to compute frictional pressure loss and then establish a correlation between the drag coefficient and mass quality, leading to a one-dimensional model of free surface bubbly flow. Furthermore, the homogeneous flow model is integrated into computational fluid dynamics simulations, which align closely with experimental observations. The theoretical model and simulations show a strong concordance, with a critical flow rate determined through calculations exhibiting an average relative error of 4.93%. The findings reveal a positive correlation between mass quality and critical flow rate; increasing mass quality enhances the critical flow rate and stabilizes the free surface but reduces the liquid phase's flow efficiency. This research contributes to the theoretical understanding of microgravity free surface flow.</p>","PeriodicalId":54263,"journal":{"name":"npj Microgravity","volume":"11 1","pages":"43"},"PeriodicalIF":4.1000,"publicationDate":"2025-07-16","publicationTypes":"Journal Article","fieldsOfStudy":null,"isOpenAccess":false,"openAccessPdf":"https://www.ncbi.nlm.nih.gov/pmc/articles/PMC12267821/pdf/","citationCount":"0","resultStr":"{\"title\":\"Free surface bubbly flow in an open capillary channel.\",\"authors\":\"Bo Wu, Zongyu Wu, Yong Chen, Guangyu Li, Wen Yao\",\"doi\":\"10.1038/s41526-025-00496-7\",\"DOIUrl\":null,\"url\":null,\"abstract\":\"<p><p>This study investigates bubbly flow in a rectangular open channel under microgravity. A homogeneous flow model is used to compute frictional pressure loss and then establish a correlation between the drag coefficient and mass quality, leading to a one-dimensional model of free surface bubbly flow. Furthermore, the homogeneous flow model is integrated into computational fluid dynamics simulations, which align closely with experimental observations. The theoretical model and simulations show a strong concordance, with a critical flow rate determined through calculations exhibiting an average relative error of 4.93%. The findings reveal a positive correlation between mass quality and critical flow rate; increasing mass quality enhances the critical flow rate and stabilizes the free surface but reduces the liquid phase's flow efficiency. This research contributes to the theoretical understanding of microgravity free surface flow.</p>\",\"PeriodicalId\":54263,\"journal\":{\"name\":\"npj Microgravity\",\"volume\":\"11 1\",\"pages\":\"43\"},\"PeriodicalIF\":4.1000,\"publicationDate\":\"2025-07-16\",\"publicationTypes\":\"Journal Article\",\"fieldsOfStudy\":null,\"isOpenAccess\":false,\"openAccessPdf\":\"https://www.ncbi.nlm.nih.gov/pmc/articles/PMC12267821/pdf/\",\"citationCount\":\"0\",\"resultStr\":null,\"platform\":\"Semanticscholar\",\"paperid\":null,\"PeriodicalName\":\"npj Microgravity\",\"FirstCategoryId\":\"1085\",\"ListUrlMain\":\"https://doi.org/10.1038/s41526-025-00496-7\",\"RegionNum\":1,\"RegionCategory\":\"物理与天体物理\",\"ArticlePicture\":[],\"TitleCN\":null,\"AbstractTextCN\":null,\"PMCID\":null,\"EPubDate\":\"\",\"PubModel\":\"\",\"JCR\":\"Q1\",\"JCRName\":\"MULTIDISCIPLINARY SCIENCES\",\"Score\":null,\"Total\":0}","platform":"Semanticscholar","paperid":null,"PeriodicalName":"npj Microgravity","FirstCategoryId":"1085","ListUrlMain":"https://doi.org/10.1038/s41526-025-00496-7","RegionNum":1,"RegionCategory":"物理与天体物理","ArticlePicture":[],"TitleCN":null,"AbstractTextCN":null,"PMCID":null,"EPubDate":"","PubModel":"","JCR":"Q1","JCRName":"MULTIDISCIPLINARY SCIENCES","Score":null,"Total":0}
引用次数: 0

摘要

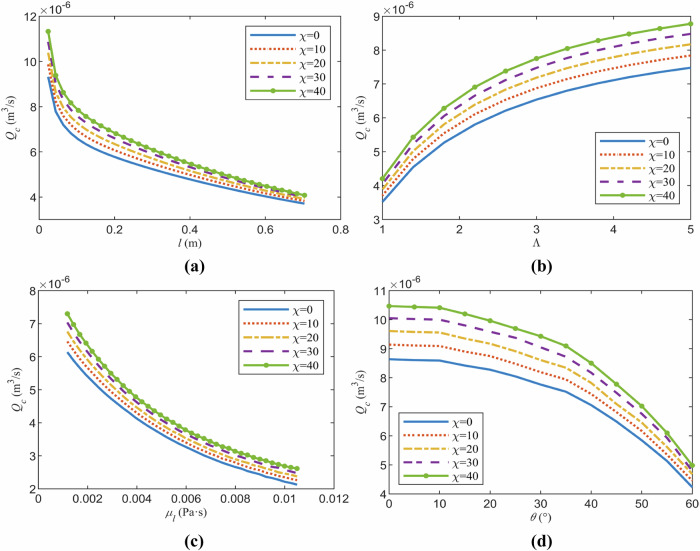
本文研究了微重力条件下矩形明渠中的气泡流动。采用均匀流动模型计算摩擦压力损失,建立阻力系数与质量之间的关系,得到一维自由表面气泡流动模型。此外,将均匀流动模型集成到计算流体动力学模拟中,与实验观测结果密切一致。理论模型与仿真结果具有较强的一致性,计算得到的临界流量平均相对误差为4.93%。结果表明:质量质量与临界流量呈正相关;质量的提高提高了临界流速,稳定了自由表面,但降低了液相的流动效率。该研究有助于对微重力自由表面流动的理论认识。
本文章由计算机程序翻译,如有差异,请以英文原文为准。

Free surface bubbly flow in an open capillary channel.

Free surface bubbly flow in an open capillary channel.

Free surface bubbly flow in an open capillary channel.

Free surface bubbly flow in an open capillary channel.

This study investigates bubbly flow in a rectangular open channel under microgravity. A homogeneous flow model is used to compute frictional pressure loss and then establish a correlation between the drag coefficient and mass quality, leading to a one-dimensional model of free surface bubbly flow. Furthermore, the homogeneous flow model is integrated into computational fluid dynamics simulations, which align closely with experimental observations. The theoretical model and simulations show a strong concordance, with a critical flow rate determined through calculations exhibiting an average relative error of 4.93%. The findings reveal a positive correlation between mass quality and critical flow rate; increasing mass quality enhances the critical flow rate and stabilizes the free surface but reduces the liquid phase's flow efficiency. This research contributes to the theoretical understanding of microgravity free surface flow.

求助全文
通过发布文献求助,成功后即可免费获取论文全文。 去求助
来源期刊
npj Microgravity
npj Microgravity Physics and Astronomy-Physics and Astronomy (miscellaneous)
CiteScore
7.30
自引率
7.80%
发文量
50
审稿时长
9 weeks
期刊介绍: A new open access, online-only, multidisciplinary research journal, npj Microgravity is dedicated to publishing the most important scientific advances in the life sciences, physical sciences, and engineering fields that are facilitated by spaceflight and analogue platforms.
×
引用
GB/T 7714-2015
复制
MLA
复制
APA
复制
导出至
BibTeX EndNote RefMan NoteFirst NoteExpress
×
提示
您的信息不完整,为了账户安全,请先补充。
现在去补充
×
提示
您因"违规操作"
具体请查看互助需知
我知道了
×
提示
确定
请完成安全验证×
copy
已复制链接
快去分享给好友吧!
我知道了
右上角分享
点击右上角分享
0
联系我们:info@booksci.cn Book学术提供免费学术资源搜索服务,方便国内外学者检索中英文文献。致力于提供最便捷和优质的服务体验。 Copyright © 2023 布克学术 All rights reserved.
京ICP备2023020795号-1
ghs 京公网安备 11010802042870号
Book学术文献互助
Book学术文献互助群
群 号:604180095
Book学术官方微信