牛屠宰场污水经过氧乙酸消毒和不经过氧乙酸消毒后发酵蒙巴拉达草的产量和化学色相组成

IF 1.9 4区 环境科学与生态学 Q3 ENGINEERING, ENVIRONMENTAL
Warlyton Silva Martins, Keila Cardoso Teixeira, Elizangela Alves de Freitas, Alex Sander Rodrigues Cangussu, Anna Karla Dos Santos Pereira, Grasiele Soares Cavallini
{"title":"牛屠宰场污水经过氧乙酸消毒和不经过氧乙酸消毒后发酵蒙巴拉达草的产量和化学色相组成","authors":"Warlyton Silva Martins, Keila Cardoso Teixeira, Elizangela Alves de Freitas, Alex Sander Rodrigues Cangussu, Anna Karla Dos Santos Pereira, Grasiele Soares Cavallini","doi":"10.1002/wer.70140","DOIUrl":null,"url":null,"abstract":"<p><p>Wastewater from cattle slaughterhouses is a source of nutrients for the fertigation of crops because of the presence of nitrogen and phosphorus. This study aimed to analyze the yield and nutritional composition of Mombaça grass (Panicum maximum) exposed to different doses of cattle slaughter effluent, with and without the addition of the disinfectant peracetic acid (PAA). The experiment was conducted using a completely randomized design, with eight treatments: E<sub>100</sub> = 100% effluent; E<sub>50:50</sub> = 50% effluent + 50% water; ET<sub>50:50</sub> = 50% effluent treated with PAA + 50% water; E<sub>75:25</sub> = 75% effluent + 25% water; ET<sub>75:25</sub> = 75% effluent treated with PAA + 25% water; E<sub>25:75</sub> = 25% effluent + 75% water; ET<sub>25:75</sub> = 25% effluent treated with PAA + 75% water; and Control = 100% water, with five replicates each. Chemical and bromatological analyses of Mombaça grass showed that nitrogen, phosphorus, magnesium, and calcium levels increased progressively with an increase in the amount of effluent compared with that in plants irrigated only with water (control group). An increase of crude protein, mineral matter, and total digestible nutrients was observed, along with a reduction in the concentrations of crude fiber and ether extract in the E<sub>100</sub> group. Fertigation with bovine effluent contributed to an improvement in the quality of Mombaça grass, mainly due to the increased protein amount and adequate nutrient levels. The application of PAA in the effluent contributed to the reduction of pathogens, but presented fewer benefits for the plant when compared with the effluent without PAA.</p>","PeriodicalId":23621,"journal":{"name":"Water Environment Research","volume":"97 7","pages":"e70140"},"PeriodicalIF":1.9000,"publicationDate":"2025-07-01","publicationTypes":"Journal Article","fieldsOfStudy":null,"isOpenAccess":false,"openAccessPdf":"https://www.ncbi.nlm.nih.gov/pmc/articles/PMC12269340/pdf/","citationCount":"0","resultStr":"{\"title\":\"Productivity and Chemical-Bromatological Composition of Mombaça Grass Fertigated With Cattle Slaughterhouse Effluent With and Without Disinfection With Peracetic Acid.\",\"authors\":\"Warlyton Silva Martins, Keila Cardoso Teixeira, Elizangela Alves de Freitas, Alex Sander Rodrigues Cangussu, Anna Karla Dos Santos Pereira, Grasiele Soares Cavallini\",\"doi\":\"10.1002/wer.70140\",\"DOIUrl\":null,\"url\":null,\"abstract\":\"<p><p>Wastewater from cattle slaughterhouses is a source of nutrients for the fertigation of crops because of the presence of nitrogen and phosphorus. This study aimed to analyze the yield and nutritional composition of Mombaça grass (Panicum maximum) exposed to different doses of cattle slaughter effluent, with and without the addition of the disinfectant peracetic acid (PAA). The experiment was conducted using a completely randomized design, with eight treatments: E<sub>100</sub> = 100% effluent; E<sub>50:50</sub> = 50% effluent + 50% water; ET<sub>50:50</sub> = 50% effluent treated with PAA + 50% water; E<sub>75:25</sub> = 75% effluent + 25% water; ET<sub>75:25</sub> = 75% effluent treated with PAA + 25% water; E<sub>25:75</sub> = 25% effluent + 75% water; ET<sub>25:75</sub> = 25% effluent treated with PAA + 75% water; and Control = 100% water, with five replicates each. Chemical and bromatological analyses of Mombaça grass showed that nitrogen, phosphorus, magnesium, and calcium levels increased progressively with an increase in the amount of effluent compared with that in plants irrigated only with water (control group). An increase of crude protein, mineral matter, and total digestible nutrients was observed, along with a reduction in the concentrations of crude fiber and ether extract in the E<sub>100</sub> group. Fertigation with bovine effluent contributed to an improvement in the quality of Mombaça grass, mainly due to the increased protein amount and adequate nutrient levels. The application of PAA in the effluent contributed to the reduction of pathogens, but presented fewer benefits for the plant when compared with the effluent without PAA.</p>\",\"PeriodicalId\":23621,\"journal\":{\"name\":\"Water Environment Research\",\"volume\":\"97 7\",\"pages\":\"e70140\"},\"PeriodicalIF\":1.9000,\"publicationDate\":\"2025-07-01\",\"publicationTypes\":\"Journal Article\",\"fieldsOfStudy\":null,\"isOpenAccess\":false,\"openAccessPdf\":\"https://www.ncbi.nlm.nih.gov/pmc/articles/PMC12269340/pdf/\",\"citationCount\":\"0\",\"resultStr\":null,\"platform\":\"Semanticscholar\",\"paperid\":null,\"PeriodicalName\":\"Water Environment Research\",\"FirstCategoryId\":\"93\",\"ListUrlMain\":\"https://doi.org/10.1002/wer.70140\",\"RegionNum\":4,\"RegionCategory\":\"环境科学与生态学\",\"ArticlePicture\":[],\"TitleCN\":null,\"AbstractTextCN\":null,\"PMCID\":null,\"EPubDate\":\"\",\"PubModel\":\"\",\"JCR\":\"Q3\",\"JCRName\":\"ENGINEERING, ENVIRONMENTAL\",\"Score\":null,\"Total\":0}","platform":"Semanticscholar","paperid":null,"PeriodicalName":"Water Environment Research","FirstCategoryId":"93","ListUrlMain":"https://doi.org/10.1002/wer.70140","RegionNum":4,"RegionCategory":"环境科学与生态学","ArticlePicture":[],"TitleCN":null,"AbstractTextCN":null,"PMCID":null,"EPubDate":"","PubModel":"","JCR":"Q3","JCRName":"ENGINEERING, ENVIRONMENTAL","Score":null,"Total":0}
引用次数: 0

摘要

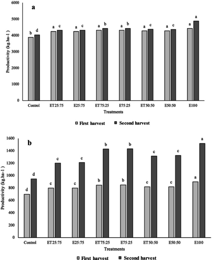
牛屠宰场的废水是作物施肥的营养来源,因为其中含有氮和磷。本研究旨在分析在添加和不添加过氧乙酸(PAA)消毒剂的情况下,不同剂量的牛屠宰废水对蒙巴帕拉草(Panicum maximum)的产量和营养成分的影响。试验采用完全随机设计,共设8个处理:E100 = 100%出水;E50:50 = 50%的废水+ 50%的水;ET50:50 = 50%的PAA处理废水+ 50%的水;E75:25 = 75%的废水+ 25%的水;ET75:25 = 75%的污水用PAA + 25%的水处理;E25:75 = 25%的废水+ 75%的水;ET25:75 = 25%用PAA + 75%水处理的出水;对照组= 100%水,每组5个重复。mombaa草的化学和色相分析表明,与只用水灌溉的植物(对照组)相比,氮、磷、镁和钙的含量随着流出水量的增加而逐渐增加。E100组粗蛋白质、矿物质和总可消化营养物质含量增加,粗纤维和粗脂肪含量降低。用牛排出物施肥有助于改善蒙巴帕拉达草的质量,主要是由于蛋白质含量增加和营养水平充足。PAA在废水中的应用有助于减少病原菌,但与不含PAA的废水相比,对植物的益处较少。
本文章由计算机程序翻译,如有差异,请以英文原文为准。

Productivity and Chemical-Bromatological Composition of Mombaça Grass Fertigated With Cattle Slaughterhouse Effluent With and Without Disinfection With Peracetic Acid.

Productivity and Chemical-Bromatological Composition of Mombaça Grass Fertigated With Cattle Slaughterhouse Effluent With and Without Disinfection With Peracetic Acid.

Productivity and Chemical-Bromatological Composition of Mombaça Grass Fertigated With Cattle Slaughterhouse Effluent With and Without Disinfection With Peracetic Acid.

Wastewater from cattle slaughterhouses is a source of nutrients for the fertigation of crops because of the presence of nitrogen and phosphorus. This study aimed to analyze the yield and nutritional composition of Mombaça grass (Panicum maximum) exposed to different doses of cattle slaughter effluent, with and without the addition of the disinfectant peracetic acid (PAA). The experiment was conducted using a completely randomized design, with eight treatments: E100 = 100% effluent; E50:50 = 50% effluent + 50% water; ET50:50 = 50% effluent treated with PAA + 50% water; E75:25 = 75% effluent + 25% water; ET75:25 = 75% effluent treated with PAA + 25% water; E25:75 = 25% effluent + 75% water; ET25:75 = 25% effluent treated with PAA + 75% water; and Control = 100% water, with five replicates each. Chemical and bromatological analyses of Mombaça grass showed that nitrogen, phosphorus, magnesium, and calcium levels increased progressively with an increase in the amount of effluent compared with that in plants irrigated only with water (control group). An increase of crude protein, mineral matter, and total digestible nutrients was observed, along with a reduction in the concentrations of crude fiber and ether extract in the E100 group. Fertigation with bovine effluent contributed to an improvement in the quality of Mombaça grass, mainly due to the increased protein amount and adequate nutrient levels. The application of PAA in the effluent contributed to the reduction of pathogens, but presented fewer benefits for the plant when compared with the effluent without PAA.

求助全文
通过发布文献求助,成功后即可免费获取论文全文。 去求助
来源期刊
Water Environment Research
Water Environment Research 环境科学-工程:环境
CiteScore
6.30
自引率
0.00%
发文量
138
审稿时长
11 months
期刊介绍: Published since 1928, Water Environment Research (WER) is an international multidisciplinary water resource management journal for the dissemination of fundamental and applied research in all scientific and technical areas related to water quality and resource recovery. WER''s goal is to foster communication and interdisciplinary research between water sciences and related fields such as environmental toxicology, agriculture, public and occupational health, microbiology, and ecology. In addition to original research articles, short communications, case studies, reviews, and perspectives are encouraged.
×
引用
GB/T 7714-2015
复制
MLA
复制
APA
复制
导出至
BibTeX EndNote RefMan NoteFirst NoteExpress
×
提示
您的信息不完整,为了账户安全,请先补充。
现在去补充
×
提示
您因"违规操作"
具体请查看互助需知
我知道了
×
提示
确定
请完成安全验证×
copy
已复制链接
快去分享给好友吧!
我知道了
右上角分享
点击右上角分享
0
联系我们:info@booksci.cn Book学术提供免费学术资源搜索服务,方便国内外学者检索中英文文献。致力于提供最便捷和优质的服务体验。 Copyright © 2023 布克学术 All rights reserved.
京ICP备2023020795号-1
ghs 京公网安备 11010802042870号
Book学术文献互助
Book学术文献互助群
群 号:604180095
Book学术官方微信