一项评估新辅助化疗对有限期小细胞肺癌患者疗效和安全性的回顾性单臂研究。

IF 3.5 2区 医学 Q2 ONCOLOGY
Translational lung cancer research Pub Date : 2025-06-30 Epub Date: 2025-06-26 DOI:10.21037/tlcr-2025-209
Wengang Zhang, Yujie Li, Jing Nie, Wencheng Zhao, Zhiyi Guo, Shunjia Li, Qianqian Zhang, Bing Bo, Xuyang Chen, Li Ye, Zhimin Chen, Hao Wang, Kandi Xu, Lishu Zhao, Xinyue Liu, Yujin Liu, Yuhang Li, Lihua Huang, Yayi He
{"title":"一项评估新辅助化疗对有限期小细胞肺癌患者疗效和安全性的回顾性单臂研究。","authors":"Wengang Zhang, Yujie Li, Jing Nie, Wencheng Zhao, Zhiyi Guo, Shunjia Li, Qianqian Zhang, Bing Bo, Xuyang Chen, Li Ye, Zhimin Chen, Hao Wang, Kandi Xu, Lishu Zhao, Xinyue Liu, Yujin Liu, Yuhang Li, Lihua Huang, Yayi He","doi":"10.21037/tlcr-2025-209","DOIUrl":null,"url":null,"abstract":"<p><strong>Background: </strong>With the advancement of surgical techniques and the introduction of neoadjuvant therapies, the risk of recurrence or distant metastases has been significantly decreased for non-small-cell lung cancer (non-SCLC) after surgery. In recent years, the application of these advanced techniques and therapies in SCLC has also shown promise. This study aims to explore the efficacy and safety of neoadjuvant chemotherapy combined with surgery in selected limited-stage SCLC (LS-SCLC).</p><p><strong>Methods: </strong>In this retrospective, single-arm clinical trial, we conducted a thorough review of electronic medical records from the Shanghai Pulmonary Hospital between December 2015 and December 2022. Patients with a pathological diagnosis of SCLC who underwent neoadjuvant chemotherapy followed by radical surgery were enrolled. Baseline demographic and clinical characteristics, specifics of neoadjuvant therapy and surgery, survival outcomes, and safety profiles of included patients were systematically collected and analyzed.</p><p><strong>Results: </strong>A total of 47 patients [7 (14.89%) females and 40 (85.11%) males; median age 61.00 years, interquartile range (IQR), 55.50-67.50 years] were enrolled. The disease control rate was 100%, with an objective response rate of 70.21% and a downstaging rate of 65.9%. The percentage of patients with a complete pathological response (CPR) and major pathological response (MPR) was 10.64% (5/47) and 12.77% (6/47, excluding CPR), respectively. In subgroups stratified by baseline demographic and clinical characteristics, the MPR rate showed no significant differences, yet a trend toward higher MPR was observed among smoking patients. At the data cutoff (October 2, 2024), the median follow-up period was 35.367 months [IQR, 26.367 months-not reached (NR)]. The median event-free survival (EFS) was 16.27 months [95% confidence interval (CI): 12.20-30.53] and the median overall survival (OS) was NR, with 2-, 3-, and 4-year survival rates of 79.96% (95% CI: 68.36-93.52%), 71.39% (95% CI: 57.12-89.22%), and 64.90% (95% CI: 48.52-86.82%), respectively. The stratified analysis revealed that patients achieving an MPR and those undergoing postoperative adjuvant radiotherapy exhibited longer EFS and OS. Treatment-related adverse events of grade 3-4 were observed in 21.28% of patients, with the most frequent occurrences being a decrease in neutrophil count (12.77%), followed by a decrease in platelet count (8.51%), and a decrease in white blood cell count (4.26%).</p><p><strong>Conclusions: </strong>Neoadjuvant chemotherapy combined with surgery could be a potential treatment strategy for LS-SCLC, with a high proportion of patients achieving an MPR, and manageable safety profile, that did not compromise surgical resection. Further prospective clinical trials are warranted to delineate the benefits of neoadjuvant chemotherapy and optimize LS-SCLC treatment.</p>","PeriodicalId":23271,"journal":{"name":"Translational lung cancer research","volume":"14 6","pages":"2031-2046"},"PeriodicalIF":3.5000,"publicationDate":"2025-06-30","publicationTypes":"Journal Article","fieldsOfStudy":null,"isOpenAccess":false,"openAccessPdf":"https://www.ncbi.nlm.nih.gov/pmc/articles/PMC12261241/pdf/","citationCount":"0","resultStr":"{\"title\":\"A retrospective real-world single-arm study evaluating the efficacy and safety of neoadjuvant chemotherapy in patients with selected limited-stage small-cell lung cancer.\",\"authors\":\"Wengang Zhang, Yujie Li, Jing Nie, Wencheng Zhao, Zhiyi Guo, Shunjia Li, Qianqian Zhang, Bing Bo, Xuyang Chen, Li Ye, Zhimin Chen, Hao Wang, Kandi Xu, Lishu Zhao, Xinyue Liu, Yujin Liu, Yuhang Li, Lihua Huang, Yayi He\",\"doi\":\"10.21037/tlcr-2025-209\",\"DOIUrl\":null,\"url\":null,\"abstract\":\"<p><strong>Background: </strong>With the advancement of surgical techniques and the introduction of neoadjuvant therapies, the risk of recurrence or distant metastases has been significantly decreased for non-small-cell lung cancer (non-SCLC) after surgery. In recent years, the application of these advanced techniques and therapies in SCLC has also shown promise. This study aims to explore the efficacy and safety of neoadjuvant chemotherapy combined with surgery in selected limited-stage SCLC (LS-SCLC).</p><p><strong>Methods: </strong>In this retrospective, single-arm clinical trial, we conducted a thorough review of electronic medical records from the Shanghai Pulmonary Hospital between December 2015 and December 2022. Patients with a pathological diagnosis of SCLC who underwent neoadjuvant chemotherapy followed by radical surgery were enrolled. Baseline demographic and clinical characteristics, specifics of neoadjuvant therapy and surgery, survival outcomes, and safety profiles of included patients were systematically collected and analyzed.</p><p><strong>Results: </strong>A total of 47 patients [7 (14.89%) females and 40 (85.11%) males; median age 61.00 years, interquartile range (IQR), 55.50-67.50 years] were enrolled. The disease control rate was 100%, with an objective response rate of 70.21% and a downstaging rate of 65.9%. The percentage of patients with a complete pathological response (CPR) and major pathological response (MPR) was 10.64% (5/47) and 12.77% (6/47, excluding CPR), respectively. In subgroups stratified by baseline demographic and clinical characteristics, the MPR rate showed no significant differences, yet a trend toward higher MPR was observed among smoking patients. At the data cutoff (October 2, 2024), the median follow-up period was 35.367 months [IQR, 26.367 months-not reached (NR)]. The median event-free survival (EFS) was 16.27 months [95% confidence interval (CI): 12.20-30.53] and the median overall survival (OS) was NR, with 2-, 3-, and 4-year survival rates of 79.96% (95% CI: 68.36-93.52%), 71.39% (95% CI: 57.12-89.22%), and 64.90% (95% CI: 48.52-86.82%), respectively. The stratified analysis revealed that patients achieving an MPR and those undergoing postoperative adjuvant radiotherapy exhibited longer EFS and OS. Treatment-related adverse events of grade 3-4 were observed in 21.28% of patients, with the most frequent occurrences being a decrease in neutrophil count (12.77%), followed by a decrease in platelet count (8.51%), and a decrease in white blood cell count (4.26%).</p><p><strong>Conclusions: </strong>Neoadjuvant chemotherapy combined with surgery could be a potential treatment strategy for LS-SCLC, with a high proportion of patients achieving an MPR, and manageable safety profile, that did not compromise surgical resection. Further prospective clinical trials are warranted to delineate the benefits of neoadjuvant chemotherapy and optimize LS-SCLC treatment.</p>\",\"PeriodicalId\":23271,\"journal\":{\"name\":\"Translational lung cancer research\",\"volume\":\"14 6\",\"pages\":\"2031-2046\"},\"PeriodicalIF\":3.5000,\"publicationDate\":\"2025-06-30\",\"publicationTypes\":\"Journal Article\",\"fieldsOfStudy\":null,\"isOpenAccess\":false,\"openAccessPdf\":\"https://www.ncbi.nlm.nih.gov/pmc/articles/PMC12261241/pdf/\",\"citationCount\":\"0\",\"resultStr\":null,\"platform\":\"Semanticscholar\",\"paperid\":null,\"PeriodicalName\":\"Translational lung cancer research\",\"FirstCategoryId\":\"3\",\"ListUrlMain\":\"https://doi.org/10.21037/tlcr-2025-209\",\"RegionNum\":2,\"RegionCategory\":\"医学\",\"ArticlePicture\":[],\"TitleCN\":null,\"AbstractTextCN\":null,\"PMCID\":null,\"EPubDate\":\"2025/6/26 0:00:00\",\"PubModel\":\"Epub\",\"JCR\":\"Q2\",\"JCRName\":\"ONCOLOGY\",\"Score\":null,\"Total\":0}","platform":"Semanticscholar","paperid":null,"PeriodicalName":"Translational lung cancer research","FirstCategoryId":"3","ListUrlMain":"https://doi.org/10.21037/tlcr-2025-209","RegionNum":2,"RegionCategory":"医学","ArticlePicture":[],"TitleCN":null,"AbstractTextCN":null,"PMCID":null,"EPubDate":"2025/6/26 0:00:00","PubModel":"Epub","JCR":"Q2","JCRName":"ONCOLOGY","Score":null,"Total":0}
引用次数: 0

摘要

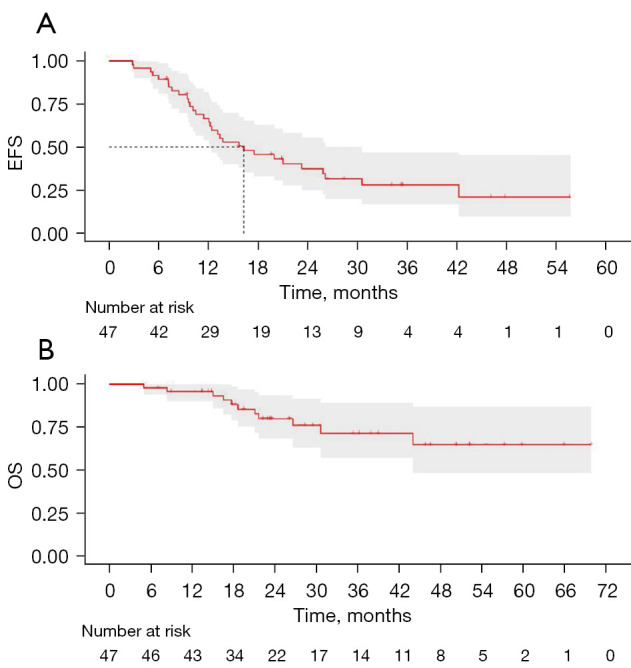
背景:随着手术技术的进步和新辅助治疗的引入,非小细胞肺癌(non-small-cell lung cancer, non-SCLC)术后复发或远处转移的风险显著降低。近年来,这些先进的技术和治疗方法在SCLC中的应用也显示出了希望。本研究旨在探讨新辅助化疗联合手术治疗选定的有限期SCLC (LS-SCLC)的疗效和安全性。方法:在这项回顾性的单臂临床试验中,我们对2015年12月至2022年12月期间上海肺科医院的电子病历进行了全面的审查。病理诊断为SCLC的患者接受了新辅助化疗和根治性手术。系统地收集和分析纳入患者的基线人口统计学和临床特征、新辅助治疗和手术的具体情况、生存结果和安全性概况。结果:共47例患者,其中女性7例(14.89%),男性40例(85.11%);中位年龄61.00岁,四分位间距(IQR)为55.50 ~ 67.50岁。疾病控制率100%,客观缓解率70.21%,降期率65.9%。完全病理缓解(CPR)和主要病理缓解(MPR)的比例分别为10.64%(5/47)和12.77%(6/47,不包括CPR)。在按基线人口学和临床特征分层的亚组中,MPR率没有显着差异,但吸烟患者的MPR有升高的趋势。截至数据截止日期(2024年10月2日),中位随访时间为35.367个月[IQR, 26.367个月-未达到(NR)]。中位无事件生存期(EFS)为16.27个月[95%可信区间(CI): 12.20-30.53],中位总生存期(OS)为NR, 2年、3年和4年生存率分别为79.96% (95% CI: 68.36-93.52%)、71.39% (95% CI: 57.12-89.22%)和64.90% (95% CI: 48.52-86.82%)。分层分析显示,实现MPR的患者和接受术后辅助放疗的患者表现出更长的EFS和OS。21.28%的患者出现3-4级治疗相关不良事件,最常见的是中性粒细胞计数下降(12.77%),其次是血小板计数下降(8.51%)和白细胞计数下降(4.26%)。结论:新辅助化疗联合手术可能是LS-SCLC的一种潜在治疗策略,实现MPR的患者比例高,安全性可控,不影响手术切除。需要进一步的前瞻性临床试验来描述新辅助化疗的益处并优化LS-SCLC治疗。
本文章由计算机程序翻译,如有差异,请以英文原文为准。

A retrospective real-world single-arm study evaluating the efficacy and safety of neoadjuvant chemotherapy in patients with selected limited-stage small-cell lung cancer.

A retrospective real-world single-arm study evaluating the efficacy and safety of neoadjuvant chemotherapy in patients with selected limited-stage small-cell lung cancer.

A retrospective real-world single-arm study evaluating the efficacy and safety of neoadjuvant chemotherapy in patients with selected limited-stage small-cell lung cancer.

A retrospective real-world single-arm study evaluating the efficacy and safety of neoadjuvant chemotherapy in patients with selected limited-stage small-cell lung cancer.

Background: With the advancement of surgical techniques and the introduction of neoadjuvant therapies, the risk of recurrence or distant metastases has been significantly decreased for non-small-cell lung cancer (non-SCLC) after surgery. In recent years, the application of these advanced techniques and therapies in SCLC has also shown promise. This study aims to explore the efficacy and safety of neoadjuvant chemotherapy combined with surgery in selected limited-stage SCLC (LS-SCLC).

Methods: In this retrospective, single-arm clinical trial, we conducted a thorough review of electronic medical records from the Shanghai Pulmonary Hospital between December 2015 and December 2022. Patients with a pathological diagnosis of SCLC who underwent neoadjuvant chemotherapy followed by radical surgery were enrolled. Baseline demographic and clinical characteristics, specifics of neoadjuvant therapy and surgery, survival outcomes, and safety profiles of included patients were systematically collected and analyzed.

Results: A total of 47 patients [7 (14.89%) females and 40 (85.11%) males; median age 61.00 years, interquartile range (IQR), 55.50-67.50 years] were enrolled. The disease control rate was 100%, with an objective response rate of 70.21% and a downstaging rate of 65.9%. The percentage of patients with a complete pathological response (CPR) and major pathological response (MPR) was 10.64% (5/47) and 12.77% (6/47, excluding CPR), respectively. In subgroups stratified by baseline demographic and clinical characteristics, the MPR rate showed no significant differences, yet a trend toward higher MPR was observed among smoking patients. At the data cutoff (October 2, 2024), the median follow-up period was 35.367 months [IQR, 26.367 months-not reached (NR)]. The median event-free survival (EFS) was 16.27 months [95% confidence interval (CI): 12.20-30.53] and the median overall survival (OS) was NR, with 2-, 3-, and 4-year survival rates of 79.96% (95% CI: 68.36-93.52%), 71.39% (95% CI: 57.12-89.22%), and 64.90% (95% CI: 48.52-86.82%), respectively. The stratified analysis revealed that patients achieving an MPR and those undergoing postoperative adjuvant radiotherapy exhibited longer EFS and OS. Treatment-related adverse events of grade 3-4 were observed in 21.28% of patients, with the most frequent occurrences being a decrease in neutrophil count (12.77%), followed by a decrease in platelet count (8.51%), and a decrease in white blood cell count (4.26%).

Conclusions: Neoadjuvant chemotherapy combined with surgery could be a potential treatment strategy for LS-SCLC, with a high proportion of patients achieving an MPR, and manageable safety profile, that did not compromise surgical resection. Further prospective clinical trials are warranted to delineate the benefits of neoadjuvant chemotherapy and optimize LS-SCLC treatment.

求助全文
通过发布文献求助,成功后即可免费获取论文全文。 去求助
来源期刊
CiteScore
7.20
自引率
2.50%
发文量
137
期刊介绍: Translational Lung Cancer Research(TLCR, Transl Lung Cancer Res, Print ISSN 2218-6751; Online ISSN 2226-4477) is an international, peer-reviewed, open-access journal, which was founded in March 2012. TLCR is indexed by PubMed/PubMed Central and the Chemical Abstracts Service (CAS) Databases. It is published quarterly the first year, and published bimonthly since February 2013. It provides practical up-to-date information on prevention, early detection, diagnosis, and treatment of lung cancer. Specific areas of its interest include, but not limited to, multimodality therapy, markers, imaging, tumor biology, pathology, chemoprevention, and technical advances related to lung cancer.
×
引用
GB/T 7714-2015
复制
MLA
复制
APA
复制
导出至
BibTeX EndNote RefMan NoteFirst NoteExpress
×
提示
您的信息不完整,为了账户安全,请先补充。
现在去补充
×
提示
您因"违规操作"
具体请查看互助需知
我知道了
×
提示
确定
请完成安全验证×
copy
已复制链接
快去分享给好友吧!
我知道了
右上角分享
点击右上角分享
0
联系我们:info@booksci.cn Book学术提供免费学术资源搜索服务,方便国内外学者检索中英文文献。致力于提供最便捷和优质的服务体验。 Copyright © 2023 布克学术 All rights reserved.
京ICP备2023020795号-1
ghs 京公网安备 11010802042870号
Book学术文献互助
Book学术文献互助群
群 号:604180095
Book学术官方微信