基于激光的100 GeV介子产生电子加速方案。

IF 3.9 2区 综合性期刊 Q1 MULTIDISCIPLINARY SCIENCES
J D Ludwig, S C Wilks, A J Kemp, G J Williams, N Lemos, E Rockafellow, B Miao, J E Shrock, H M Milchberg, J-L Vay, A Huebl, R Lehe, A Cimmino, R Versaci, S V Bulanov, P Valenta, V Tang, B A Reagan
{"title":"基于激光的100 GeV介子产生电子加速方案。","authors":"J D Ludwig, S C Wilks, A J Kemp, G J Williams, N Lemos, E Rockafellow, B Miao, J E Shrock, H M Milchberg, J-L Vay, A Huebl, R Lehe, A Cimmino, R Versaci, S V Bulanov, P Valenta, V Tang, B A Reagan","doi":"10.1038/s41598-025-95440-w","DOIUrl":null,"url":null,"abstract":"<p><p>High energy muons, due to their unique ability to penetrate deeply into matter, can enable radiography of structures that cannot be probed by other forms of radiation. Current terrestrial sources of muons require conventional GeV-TeV particle accelerators which are hundreds to thousands of meters in size. Laser wakefield acceleration (LWFA) can achieve acceleration gradients of two-to-three orders of magnitude greater than conventional accelerators, thus shrinking the accelerator to a number of meters. We propose a concept for a compact muon source based on the first self-consistent PIC simulations of an all optical LWFA that uses a guiding channel to achieve electron energies of 100 GeV in a distance of 6 m with a driving laser energy of 300 J in a single stage. From the resulting electron energy spectrum we estimate muon production for this source. We show that this accelerator, coupled with high average power laser driver technology, provides the basis for a high energy and high flux muon source.</p>","PeriodicalId":21811,"journal":{"name":"Scientific Reports","volume":"15 1","pages":"25902"},"PeriodicalIF":3.9000,"publicationDate":"2025-07-17","publicationTypes":"Journal Article","fieldsOfStudy":null,"isOpenAccess":false,"openAccessPdf":"https://www.ncbi.nlm.nih.gov/pmc/articles/PMC12267649/pdf/","citationCount":"0","resultStr":"{\"title\":\"Laser based 100 GeV electron acceleration scheme for muon production.\",\"authors\":\"J D Ludwig, S C Wilks, A J Kemp, G J Williams, N Lemos, E Rockafellow, B Miao, J E Shrock, H M Milchberg, J-L Vay, A Huebl, R Lehe, A Cimmino, R Versaci, S V Bulanov, P Valenta, V Tang, B A Reagan\",\"doi\":\"10.1038/s41598-025-95440-w\",\"DOIUrl\":null,\"url\":null,\"abstract\":\"<p><p>High energy muons, due to their unique ability to penetrate deeply into matter, can enable radiography of structures that cannot be probed by other forms of radiation. Current terrestrial sources of muons require conventional GeV-TeV particle accelerators which are hundreds to thousands of meters in size. Laser wakefield acceleration (LWFA) can achieve acceleration gradients of two-to-three orders of magnitude greater than conventional accelerators, thus shrinking the accelerator to a number of meters. We propose a concept for a compact muon source based on the first self-consistent PIC simulations of an all optical LWFA that uses a guiding channel to achieve electron energies of 100 GeV in a distance of 6 m with a driving laser energy of 300 J in a single stage. From the resulting electron energy spectrum we estimate muon production for this source. We show that this accelerator, coupled with high average power laser driver technology, provides the basis for a high energy and high flux muon source.</p>\",\"PeriodicalId\":21811,\"journal\":{\"name\":\"Scientific Reports\",\"volume\":\"15 1\",\"pages\":\"25902\"},\"PeriodicalIF\":3.9000,\"publicationDate\":\"2025-07-17\",\"publicationTypes\":\"Journal Article\",\"fieldsOfStudy\":null,\"isOpenAccess\":false,\"openAccessPdf\":\"https://www.ncbi.nlm.nih.gov/pmc/articles/PMC12267649/pdf/\",\"citationCount\":\"0\",\"resultStr\":null,\"platform\":\"Semanticscholar\",\"paperid\":null,\"PeriodicalName\":\"Scientific Reports\",\"FirstCategoryId\":\"103\",\"ListUrlMain\":\"https://doi.org/10.1038/s41598-025-95440-w\",\"RegionNum\":2,\"RegionCategory\":\"综合性期刊\",\"ArticlePicture\":[],\"TitleCN\":null,\"AbstractTextCN\":null,\"PMCID\":null,\"EPubDate\":\"\",\"PubModel\":\"\",\"JCR\":\"Q1\",\"JCRName\":\"MULTIDISCIPLINARY SCIENCES\",\"Score\":null,\"Total\":0}","platform":"Semanticscholar","paperid":null,"PeriodicalName":"Scientific Reports","FirstCategoryId":"103","ListUrlMain":"https://doi.org/10.1038/s41598-025-95440-w","RegionNum":2,"RegionCategory":"综合性期刊","ArticlePicture":[],"TitleCN":null,"AbstractTextCN":null,"PMCID":null,"EPubDate":"","PubModel":"","JCR":"Q1","JCRName":"MULTIDISCIPLINARY SCIENCES","Score":null,"Total":0}
引用次数: 0

摘要

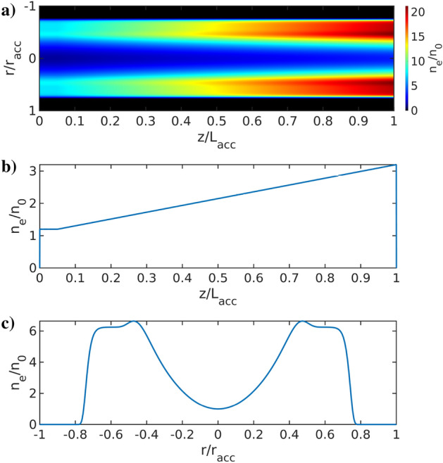
高能介子,由于其独特的穿透物质的能力,可以使其他形式的辐射无法探测到的结构的射线照相。目前地面上的介子源需要几百到几千米大小的传统GeV-TeV粒子加速器。激光尾流场加速(LWFA)可以实现比传统加速器大两到三个数量级的加速度梯度,从而将加速器缩小到几米。基于全光LWFA的首次自一致PIC模拟,我们提出了一个紧凑型介子源的概念,该介子源使用一个引导通道在6 m距离内实现100 GeV的电子能量,单级驱动激光能量为300 J。根据所得的电子能谱,我们估计了这个源产生的介子。研究表明,该加速器与高平均功率激光驱动技术相结合,为高能、高通量的介子源提供了基础。
本文章由计算机程序翻译,如有差异,请以英文原文为准。

Laser based 100 GeV electron acceleration scheme for muon production.

Laser based 100 GeV electron acceleration scheme for muon production.

Laser based 100 GeV electron acceleration scheme for muon production.

Laser based 100 GeV electron acceleration scheme for muon production.

High energy muons, due to their unique ability to penetrate deeply into matter, can enable radiography of structures that cannot be probed by other forms of radiation. Current terrestrial sources of muons require conventional GeV-TeV particle accelerators which are hundreds to thousands of meters in size. Laser wakefield acceleration (LWFA) can achieve acceleration gradients of two-to-three orders of magnitude greater than conventional accelerators, thus shrinking the accelerator to a number of meters. We propose a concept for a compact muon source based on the first self-consistent PIC simulations of an all optical LWFA that uses a guiding channel to achieve electron energies of 100 GeV in a distance of 6 m with a driving laser energy of 300 J in a single stage. From the resulting electron energy spectrum we estimate muon production for this source. We show that this accelerator, coupled with high average power laser driver technology, provides the basis for a high energy and high flux muon source.

求助全文
通过发布文献求助,成功后即可免费获取论文全文。 去求助
来源期刊
Scientific Reports
Scientific Reports Natural Science Disciplines-
CiteScore
7.50
自引率
4.30%
发文量
19567
审稿时长
3.9 months
期刊介绍: We publish original research from all areas of the natural sciences, psychology, medicine and engineering. You can learn more about what we publish by browsing our specific scientific subject areas below or explore Scientific Reports by browsing all articles and collections. Scientific Reports has a 2-year impact factor: 4.380 (2021), and is the 6th most-cited journal in the world, with more than 540,000 citations in 2020 (Clarivate Analytics, 2021). •Engineering Engineering covers all aspects of engineering, technology, and applied science. It plays a crucial role in the development of technologies to address some of the world''s biggest challenges, helping to save lives and improve the way we live. •Physical sciences Physical sciences are those academic disciplines that aim to uncover the underlying laws of nature — often written in the language of mathematics. It is a collective term for areas of study including astronomy, chemistry, materials science and physics. •Earth and environmental sciences Earth and environmental sciences cover all aspects of Earth and planetary science and broadly encompass solid Earth processes, surface and atmospheric dynamics, Earth system history, climate and climate change, marine and freshwater systems, and ecology. It also considers the interactions between humans and these systems. •Biological sciences Biological sciences encompass all the divisions of natural sciences examining various aspects of vital processes. The concept includes anatomy, physiology, cell biology, biochemistry and biophysics, and covers all organisms from microorganisms, animals to plants. •Health sciences The health sciences study health, disease and healthcare. This field of study aims to develop knowledge, interventions and technology for use in healthcare to improve the treatment of patients.
×
引用
GB/T 7714-2015
复制
MLA
复制
APA
复制
导出至
BibTeX EndNote RefMan NoteFirst NoteExpress
×
提示
您的信息不完整,为了账户安全,请先补充。
现在去补充
×
提示
您因"违规操作"
具体请查看互助需知
我知道了
×
提示
确定
请完成安全验证×
copy
已复制链接
快去分享给好友吧!
我知道了
右上角分享
点击右上角分享
0
联系我们:info@booksci.cn Book学术提供免费学术资源搜索服务,方便国内外学者检索中英文文献。致力于提供最便捷和优质的服务体验。 Copyright © 2023 布克学术 All rights reserved.
京ICP备2023020795号-1
ghs 京公网安备 11010802042870号
Book学术文献互助
Book学术文献互助群
群 号:604180095
Book学术官方微信