探索基于sentinel -2的光谱变异性以增强德国草原多样性评估

IF 2.6 3区 环境科学与生态学 Q3 ECOLOGY
Antonia Ludwig, Hannes Feilhauer, Daniel Doktor
{"title":"探索基于sentinel -2的光谱变异性以增强德国草原多样性评估","authors":"Antonia Ludwig,&nbsp;Hannes Feilhauer,&nbsp;Daniel Doktor","doi":"10.1111/avsc.70030","DOIUrl":null,"url":null,"abstract":"<div>\n \n \n <section>\n \n <h3> Questions</h3>\n \n <p>Can remote sensing data support the assessment of High Nature Value (HNV) conservation categories in the German HNV monitoring scheme? Specifically, does spectral pixel-to-pixel variability improve classification accuracy of HNV categories based on Sentinel-2 data?</p>\n </section>\n \n <section>\n \n <h3> Location</h3>\n \n <p>Germany.</p>\n </section>\n \n <section>\n \n <h3> Methods</h3>\n \n <p>We used multispectral Sentinel-2 imagery (10 m resolution) from 5 years (2017–2021) to classify HNV categories. Random Forest models were trained using different predictor combinations, including spectral data, phenology, and geographical location. We applied various cross-validation strategies to assess classification accuracy.</p>\n </section>\n \n <section>\n \n <h3> Results</h3>\n \n <p>Classification accuracy was generally low (≈44%) when using target-oriented cross-validation, suggesting limited agreement between predictions and actual HNV categories. Spectral variability alone did not clearly correspond to HNV diversity categories. Instead, geographic location and management emerged as the most important predictors for classification.</p>\n </section>\n \n <section>\n \n <h3> Conclusions</h3>\n \n <p>Our findings highlight the challenges of linking ecological field data with remote sensing information for biodiversity assessments. Improved integration of ecological and remote sensing data is necessary to enhance the effectiveness of biodiversity monitoring schemes.</p>\n </section>\n </div>","PeriodicalId":55494,"journal":{"name":"Applied Vegetation Science","volume":"28 3","pages":""},"PeriodicalIF":2.6000,"publicationDate":"2025-07-18","publicationTypes":"Journal Article","fieldsOfStudy":null,"isOpenAccess":false,"openAccessPdf":"https://onlinelibrary.wiley.com/doi/epdf/10.1111/avsc.70030","citationCount":"0","resultStr":"{\"title\":\"Exploring Sentinel-2-Based Spectral Variability for Enhancing Grassland Diversity Assessments Across Germany\",\"authors\":\"Antonia Ludwig,&nbsp;Hannes Feilhauer,&nbsp;Daniel Doktor\",\"doi\":\"10.1111/avsc.70030\",\"DOIUrl\":null,\"url\":null,\"abstract\":\"<div>\\n \\n \\n <section>\\n \\n <h3> Questions</h3>\\n \\n <p>Can remote sensing data support the assessment of High Nature Value (HNV) conservation categories in the German HNV monitoring scheme? Specifically, does spectral pixel-to-pixel variability improve classification accuracy of HNV categories based on Sentinel-2 data?</p>\\n </section>\\n \\n <section>\\n \\n <h3> Location</h3>\\n \\n <p>Germany.</p>\\n </section>\\n \\n <section>\\n \\n <h3> Methods</h3>\\n \\n <p>We used multispectral Sentinel-2 imagery (10 m resolution) from 5 years (2017–2021) to classify HNV categories. Random Forest models were trained using different predictor combinations, including spectral data, phenology, and geographical location. We applied various cross-validation strategies to assess classification accuracy.</p>\\n </section>\\n \\n <section>\\n \\n <h3> Results</h3>\\n \\n <p>Classification accuracy was generally low (≈44%) when using target-oriented cross-validation, suggesting limited agreement between predictions and actual HNV categories. Spectral variability alone did not clearly correspond to HNV diversity categories. Instead, geographic location and management emerged as the most important predictors for classification.</p>\\n </section>\\n \\n <section>\\n \\n <h3> Conclusions</h3>\\n \\n <p>Our findings highlight the challenges of linking ecological field data with remote sensing information for biodiversity assessments. Improved integration of ecological and remote sensing data is necessary to enhance the effectiveness of biodiversity monitoring schemes.</p>\\n </section>\\n </div>\",\"PeriodicalId\":55494,\"journal\":{\"name\":\"Applied Vegetation Science\",\"volume\":\"28 3\",\"pages\":\"\"},\"PeriodicalIF\":2.6000,\"publicationDate\":\"2025-07-18\",\"publicationTypes\":\"Journal Article\",\"fieldsOfStudy\":null,\"isOpenAccess\":false,\"openAccessPdf\":\"https://onlinelibrary.wiley.com/doi/epdf/10.1111/avsc.70030\",\"citationCount\":\"0\",\"resultStr\":null,\"platform\":\"Semanticscholar\",\"paperid\":null,\"PeriodicalName\":\"Applied Vegetation Science\",\"FirstCategoryId\":\"93\",\"ListUrlMain\":\"https://onlinelibrary.wiley.com/doi/10.1111/avsc.70030\",\"RegionNum\":3,\"RegionCategory\":\"环境科学与生态学\",\"ArticlePicture\":[],\"TitleCN\":null,\"AbstractTextCN\":null,\"PMCID\":null,\"EPubDate\":\"\",\"PubModel\":\"\",\"JCR\":\"Q3\",\"JCRName\":\"ECOLOGY\",\"Score\":null,\"Total\":0}","platform":"Semanticscholar","paperid":null,"PeriodicalName":"Applied Vegetation Science","FirstCategoryId":"93","ListUrlMain":"https://onlinelibrary.wiley.com/doi/10.1111/avsc.70030","RegionNum":3,"RegionCategory":"环境科学与生态学","ArticlePicture":[],"TitleCN":null,"AbstractTextCN":null,"PMCID":null,"EPubDate":"","PubModel":"","JCR":"Q3","JCRName":"ECOLOGY","Score":null,"Total":0}
引用次数: 0

摘要

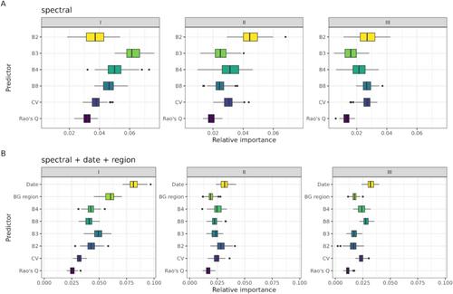
遥感数据能否支持德国高自然价值监测方案中高自然价值保护类别的评估?具体来说,基于Sentinel-2数据的光谱像素间变异性是否提高了HNV类别的分类精度?位置 德国。方法利用5年(2017-2021)的Sentinel-2多光谱影像(10 m分辨率)对HNV进行分类。随机森林模型使用不同的预测因子组合进行训练,包括光谱数据、物候和地理位置。我们应用了各种交叉验证策略来评估分类准确性。结果当使用目标导向交叉验证时,分类准确率普遍较低(≈44%),表明预测与实际HNV类别之间的一致性有限。单独的光谱变异性不能清楚地对应HNV多样性类别。相反,地理位置和管理成为最重要的分类预测因素。我们的研究结果突出了将生态野外数据与遥感信息联系起来进行生物多样性评估的挑战。为了提高生物多样性监测方案的有效性,必须改进生态和遥感数据的整合。
本文章由计算机程序翻译,如有差异,请以英文原文为准。

Exploring Sentinel-2-Based Spectral Variability for Enhancing Grassland Diversity Assessments Across Germany

Exploring Sentinel-2-Based Spectral Variability for Enhancing Grassland Diversity Assessments Across Germany

Questions

Can remote sensing data support the assessment of High Nature Value (HNV) conservation categories in the German HNV monitoring scheme? Specifically, does spectral pixel-to-pixel variability improve classification accuracy of HNV categories based on Sentinel-2 data?

Location

Germany.

Methods

We used multispectral Sentinel-2 imagery (10 m resolution) from 5 years (2017–2021) to classify HNV categories. Random Forest models were trained using different predictor combinations, including spectral data, phenology, and geographical location. We applied various cross-validation strategies to assess classification accuracy.

Results

Classification accuracy was generally low (≈44%) when using target-oriented cross-validation, suggesting limited agreement between predictions and actual HNV categories. Spectral variability alone did not clearly correspond to HNV diversity categories. Instead, geographic location and management emerged as the most important predictors for classification.

Conclusions

Our findings highlight the challenges of linking ecological field data with remote sensing information for biodiversity assessments. Improved integration of ecological and remote sensing data is necessary to enhance the effectiveness of biodiversity monitoring schemes.

求助全文
通过发布文献求助,成功后即可免费获取论文全文。 去求助
来源期刊
Applied Vegetation Science
Applied Vegetation Science 环境科学-林学
CiteScore
6.00
自引率
10.70%
发文量
67
审稿时长
3 months
期刊介绍: Applied Vegetation Science focuses on community-level topics relevant to human interaction with vegetation, including global change, nature conservation, nature management, restoration of plant communities and of natural habitats, and the planning of semi-natural and urban landscapes. Vegetation survey, modelling and remote-sensing applications are welcome. Papers on vegetation science which do not fit to this scope (do not have an applied aspect and are not vegetation survey) should be directed to our associate journal, the Journal of Vegetation Science. Both journals publish papers on the ecology of a single species only if it plays a key role in structuring plant communities.
×
引用
GB/T 7714-2015
复制
MLA
复制
APA
复制
导出至
BibTeX EndNote RefMan NoteFirst NoteExpress
×
提示
您的信息不完整,为了账户安全,请先补充。
现在去补充
×
提示
您因"违规操作"
具体请查看互助需知
我知道了
×
提示
确定
请完成安全验证×
copy
已复制链接
快去分享给好友吧!
我知道了
右上角分享
点击右上角分享
0
联系我们:info@booksci.cn Book学术提供免费学术资源搜索服务,方便国内外学者检索中英文文献。致力于提供最便捷和优质的服务体验。 Copyright © 2023 布克学术 All rights reserved.
京ICP备2023020795号-1
ghs 京公网安备 11010802042870号
Book学术文献互助
Book学术文献互助群
群 号:604180095
Book学术官方微信