基础的裂缝:关系沟通动力学如何预测跨职能团队的绩效改进

IF 9.9 2区 管理学 Q1 MANAGEMENT
Vera M. Schweitzer, Fabiola H. Gerpott, Nale Lehmann-Willenbrock, Sander de Leeuw, Michaéla Schippers, Jiachun Lu
{"title":"基础的裂缝:关系沟通动力学如何预测跨职能团队的绩效改进","authors":"Vera M. Schweitzer,&nbsp;Fabiola H. Gerpott,&nbsp;Nale Lehmann-Willenbrock,&nbsp;Sander de Leeuw,&nbsp;Michaéla Schippers,&nbsp;Jiachun Lu","doi":"10.1111/jscm.12341","DOIUrl":null,"url":null,"abstract":"<p>Cross-functional teams are vital decision-making units in supply chain management, and scholars emphasize the need to understand how team processes shape performance improvement. Despite promising research on communication within cross-functional teams, scant attention has been paid to real-time communication patterns—integral to behavioral supply chain management—which are fundamental to team processes in practice. This article posits, drawing on interaction ritual theory, that early communication patterns are correlated with the performance trajectories of cross-functional teams, suggesting a potential influence. The authors tested this idea in a complex supply chain management simulation featuring cross-functional teams. They employed a novel coding approach to capture temporal interactions, which yielded 25,641 coded verbal behaviors from cross-functional team meeting interactions. To identify systematic communication patterns, lag sequential analysis was performed on this corpus of data. The results show that the frequency of relational communication was associated with weaker performance improvement in cross-functional teams across six simulation iterations. Even more interestingly, when relational communication was frequently followed by task-oriented communication, no association with team performance improvement was observed. Further, cross-functional teams in which relational communication was more frequently followed by counterproductive communication showed notably weaker performance improvements. Focusing on interactional flow within team dynamics, this research challenges the common belief regarding the value of broadly evaluating cross-functional teams. As such, it advocates for adopting both a behavioral and a temporal lens to uncover how cross-functional teams can prevent detrimental interactions in their daily operations.</p>","PeriodicalId":51392,"journal":{"name":"Journal of Supply Chain Management","volume":"61 3","pages":"36-54"},"PeriodicalIF":9.9000,"publicationDate":"2025-02-13","publicationTypes":"Journal Article","fieldsOfStudy":null,"isOpenAccess":false,"openAccessPdf":"https://onlinelibrary.wiley.com/doi/epdf/10.1111/jscm.12341","citationCount":"0","resultStr":"{\"title\":\"Cracks in the Foundation: How Relational Communication Dynamics Predict Performance Improvement in Cross-Functional Teams\",\"authors\":\"Vera M. Schweitzer,&nbsp;Fabiola H. Gerpott,&nbsp;Nale Lehmann-Willenbrock,&nbsp;Sander de Leeuw,&nbsp;Michaéla Schippers,&nbsp;Jiachun Lu\",\"doi\":\"10.1111/jscm.12341\",\"DOIUrl\":null,\"url\":null,\"abstract\":\"<p>Cross-functional teams are vital decision-making units in supply chain management, and scholars emphasize the need to understand how team processes shape performance improvement. Despite promising research on communication within cross-functional teams, scant attention has been paid to real-time communication patterns—integral to behavioral supply chain management—which are fundamental to team processes in practice. This article posits, drawing on interaction ritual theory, that early communication patterns are correlated with the performance trajectories of cross-functional teams, suggesting a potential influence. The authors tested this idea in a complex supply chain management simulation featuring cross-functional teams. They employed a novel coding approach to capture temporal interactions, which yielded 25,641 coded verbal behaviors from cross-functional team meeting interactions. To identify systematic communication patterns, lag sequential analysis was performed on this corpus of data. The results show that the frequency of relational communication was associated with weaker performance improvement in cross-functional teams across six simulation iterations. Even more interestingly, when relational communication was frequently followed by task-oriented communication, no association with team performance improvement was observed. Further, cross-functional teams in which relational communication was more frequently followed by counterproductive communication showed notably weaker performance improvements. Focusing on interactional flow within team dynamics, this research challenges the common belief regarding the value of broadly evaluating cross-functional teams. As such, it advocates for adopting both a behavioral and a temporal lens to uncover how cross-functional teams can prevent detrimental interactions in their daily operations.</p>\",\"PeriodicalId\":51392,\"journal\":{\"name\":\"Journal of Supply Chain Management\",\"volume\":\"61 3\",\"pages\":\"36-54\"},\"PeriodicalIF\":9.9000,\"publicationDate\":\"2025-02-13\",\"publicationTypes\":\"Journal Article\",\"fieldsOfStudy\":null,\"isOpenAccess\":false,\"openAccessPdf\":\"https://onlinelibrary.wiley.com/doi/epdf/10.1111/jscm.12341\",\"citationCount\":\"0\",\"resultStr\":null,\"platform\":\"Semanticscholar\",\"paperid\":null,\"PeriodicalName\":\"Journal of Supply Chain Management\",\"FirstCategoryId\":\"91\",\"ListUrlMain\":\"https://onlinelibrary.wiley.com/doi/10.1111/jscm.12341\",\"RegionNum\":2,\"RegionCategory\":\"管理学\",\"ArticlePicture\":[],\"TitleCN\":null,\"AbstractTextCN\":null,\"PMCID\":null,\"EPubDate\":\"\",\"PubModel\":\"\",\"JCR\":\"Q1\",\"JCRName\":\"MANAGEMENT\",\"Score\":null,\"Total\":0}","platform":"Semanticscholar","paperid":null,"PeriodicalName":"Journal of Supply Chain Management","FirstCategoryId":"91","ListUrlMain":"https://onlinelibrary.wiley.com/doi/10.1111/jscm.12341","RegionNum":2,"RegionCategory":"管理学","ArticlePicture":[],"TitleCN":null,"AbstractTextCN":null,"PMCID":null,"EPubDate":"","PubModel":"","JCR":"Q1","JCRName":"MANAGEMENT","Score":null,"Total":0}
引用次数: 0

摘要

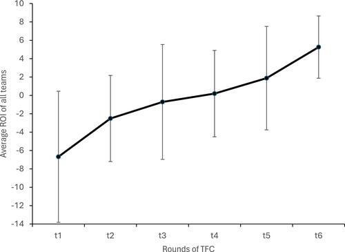
跨职能团队是供应链管理中至关重要的决策单位,学者们强调有必要了解团队过程如何影响绩效改进。尽管跨职能团队内部沟通的研究很有前景,但对行为供应链管理不可或缺的实时沟通模式的关注却很少,而实时沟通模式是实践中团队流程的基础。本文根据互动仪式理论假设,早期沟通模式与跨职能团队的绩效轨迹相关,这表明了潜在的影响。作者在一个以跨职能团队为特征的复杂供应链管理模拟中测试了这个想法。他们采用了一种新颖的编码方法来捕捉时间互动,从跨职能团队会议互动中产生了25,641种编码的口头行为。为了识别系统的通信模式,对该语料库进行了滞后序列分析。结果表明,在跨职能团队中,跨六个模拟迭代的关系通信频率与较弱的性能改进相关。更有趣的是,当关系沟通之后经常是以任务为导向的沟通时,并没有观察到与团队绩效改善的联系。此外,在跨职能团队中,关系沟通更频繁地伴随着适得其反的沟通,表现出明显较弱的绩效改进。本研究关注团队动态中的交互流,挑战了关于广泛评估跨职能团队价值的普遍信念。因此,它提倡采用行为和时间视角来揭示跨职能团队如何在日常操作中防止有害的相互作用。
本文章由计算机程序翻译,如有差异,请以英文原文为准。

Cracks in the Foundation: How Relational Communication Dynamics Predict Performance Improvement in Cross-Functional Teams

Cracks in the Foundation: How Relational Communication Dynamics Predict Performance Improvement in Cross-Functional Teams

Cross-functional teams are vital decision-making units in supply chain management, and scholars emphasize the need to understand how team processes shape performance improvement. Despite promising research on communication within cross-functional teams, scant attention has been paid to real-time communication patterns—integral to behavioral supply chain management—which are fundamental to team processes in practice. This article posits, drawing on interaction ritual theory, that early communication patterns are correlated with the performance trajectories of cross-functional teams, suggesting a potential influence. The authors tested this idea in a complex supply chain management simulation featuring cross-functional teams. They employed a novel coding approach to capture temporal interactions, which yielded 25,641 coded verbal behaviors from cross-functional team meeting interactions. To identify systematic communication patterns, lag sequential analysis was performed on this corpus of data. The results show that the frequency of relational communication was associated with weaker performance improvement in cross-functional teams across six simulation iterations. Even more interestingly, when relational communication was frequently followed by task-oriented communication, no association with team performance improvement was observed. Further, cross-functional teams in which relational communication was more frequently followed by counterproductive communication showed notably weaker performance improvements. Focusing on interactional flow within team dynamics, this research challenges the common belief regarding the value of broadly evaluating cross-functional teams. As such, it advocates for adopting both a behavioral and a temporal lens to uncover how cross-functional teams can prevent detrimental interactions in their daily operations.

求助全文
通过发布文献求助,成功后即可免费获取论文全文。 去求助
来源期刊
CiteScore
16.00
自引率
6.60%
发文量
18
期刊介绍: ournal of Supply Chain Management Mission: The mission of the Journal of Supply Chain Management (JSCM) is to be the premier choice among supply chain management scholars from various disciplines. It aims to attract high-quality, impactful behavioral research that focuses on theory building and employs rigorous empirical methodologies. Article Requirements: An article published in JSCM must make a significant contribution to supply chain management theory. This contribution can be achieved through either an inductive, theory-building process or a deductive, theory-testing approach. This contribution may manifest in various ways, such as falsification of conventional understanding, theory-building through conceptual development, inductive or qualitative research, initial empirical testing of a theory, theoretically-based meta-analysis, or constructive replication that clarifies the boundaries or range of a theory. Theoretical Contribution: Manuscripts should explicitly convey the theoretical contribution relative to the existing supply chain management literature, and when appropriate, to the literature outside of supply chain management (e.g., management theory, psychology, economics). Empirical Contribution: Manuscripts published in JSCM must also provide strong empirical contributions. While conceptual manuscripts are welcomed, they must significantly advance theory in the field of supply chain management and be firmly grounded in existing theory and relevant literature. For empirical manuscripts, authors must adequately assess validity, which is essential for empirical research, whether quantitative or qualitative.
×
引用
GB/T 7714-2015
复制
MLA
复制
APA
复制
导出至
BibTeX EndNote RefMan NoteFirst NoteExpress
×
提示
您的信息不完整,为了账户安全,请先补充。
现在去补充
×
提示
您因"违规操作"
具体请查看互助需知
我知道了
×
提示
确定
请完成安全验证×
copy
已复制链接
快去分享给好友吧!
我知道了
右上角分享
点击右上角分享
0
联系我们:info@booksci.cn Book学术提供免费学术资源搜索服务,方便国内外学者检索中英文文献。致力于提供最便捷和优质的服务体验。 Copyright © 2023 布克学术 All rights reserved.
京ICP备2023020795号-1
ghs 京公网安备 11010802042870号
Book学术文献互助
Book学术文献互助群
群 号:604180095
Book学术官方微信