含高石chx的玻璃离子水泥:理化性质、抗菌活性、细胞活力。

Brazilian dental journal Pub Date : 2025-07-11 eCollection Date: 2025-01-01 DOI:10.1590/0103-644020256350
Fabiola Rodrigues Sampaio Nunes, Thaís Bezerra da Maceno Oliveira, Shirley Maria de Nazaré Rocha Cardoso, Rayssa Ferreira Cavaleiro de Macêdo, Ana Paula Silva de Azevedo Dos Santos, Paulo Vitor Campos Ferreira, José Bauer
{"title":"含高石chx的玻璃离子水泥:理化性质、抗菌活性、细胞活力。","authors":"Fabiola Rodrigues Sampaio Nunes, Thaís Bezerra da Maceno Oliveira, Shirley Maria de Nazaré Rocha Cardoso, Rayssa Ferreira Cavaleiro de Macêdo, Ana Paula Silva de Azevedo Dos Santos, Paulo Vitor Campos Ferreira, José Bauer","doi":"10.1590/0103-644020256350","DOIUrl":null,"url":null,"abstract":"<p><p>This study evaluated the physicochemical, cell viability, and antimicrobial properties of conventional glass ionomer cement (GIC) modified by the incorporation of halloysite nanotubes (HNT) doped with chlorhexidine (CHX). HNT-CHX was added to GIC at concentrations of 2.5% and 5% by weight, forming three experimental groups: a control group (GIC only), a group with 2.5% HNT-CHX, and another with 5% HNT-CHX. Hourglass-shaped specimens (n=10) were used to measure cohesive strength and elastic modulus, while fractured specimens were subjected to microhardness testing (n = 5). To assess the alkalinizing activity (pH) and the release of F-, Ca+2, and PO4-3 ions (n = 3), discs were prepared for CHX release analysis by UV-vis after 24 hours. Antimicrobial activity was tested against S. mutans biofilm (CFU/ml), and material cell viability was determined using the MTT assay. Results showed that the 5% HNT-CHX group presented the lowest cohesive strength, while the 2.5% and 5% HNT-CHX groups displayed modulus values similar to the control and did not affect microhardness. All groups exhibited an acidic pH with the control group releasing higher levels of F-, Ca+2, and PO4 -3 ions. The HNT-CHX 2.5% and HNT-CHX 5% groups reduced fluoride ion release compared to the control (GIC). The 5% HNT-CHX group showed the highest levels of free CHX and demonstrated bactericidal activity against S. mutans in CFU analysis. None of the materials presented cytotoxicity. In conclusion, incorporating 2.5% and 5% HNT-CHX affected the mechanical properties and ion release of the GIC. HNT-CHX 5% group exhibited antimicrobial against S. mutans.</p>","PeriodicalId":101363,"journal":{"name":"Brazilian dental journal","volume":"36 ","pages":"e236350"},"PeriodicalIF":0.0000,"publicationDate":"2025-07-11","publicationTypes":"Journal Article","fieldsOfStudy":null,"isOpenAccess":false,"openAccessPdf":"https://www.ncbi.nlm.nih.gov/pmc/articles/PMC12266620/pdf/","citationCount":"0","resultStr":"{\"title\":\"Glass Ionomer Cements with Halloysite-CHX: Physicochemical Properties, Antimicrobial Activity, Cell Viability.\",\"authors\":\"Fabiola Rodrigues Sampaio Nunes, Thaís Bezerra da Maceno Oliveira, Shirley Maria de Nazaré Rocha Cardoso, Rayssa Ferreira Cavaleiro de Macêdo, Ana Paula Silva de Azevedo Dos Santos, Paulo Vitor Campos Ferreira, José Bauer\",\"doi\":\"10.1590/0103-644020256350\",\"DOIUrl\":null,\"url\":null,\"abstract\":\"<p><p>This study evaluated the physicochemical, cell viability, and antimicrobial properties of conventional glass ionomer cement (GIC) modified by the incorporation of halloysite nanotubes (HNT) doped with chlorhexidine (CHX). HNT-CHX was added to GIC at concentrations of 2.5% and 5% by weight, forming three experimental groups: a control group (GIC only), a group with 2.5% HNT-CHX, and another with 5% HNT-CHX. Hourglass-shaped specimens (n=10) were used to measure cohesive strength and elastic modulus, while fractured specimens were subjected to microhardness testing (n = 5). To assess the alkalinizing activity (pH) and the release of F-, Ca+2, and PO4-3 ions (n = 3), discs were prepared for CHX release analysis by UV-vis after 24 hours. Antimicrobial activity was tested against S. mutans biofilm (CFU/ml), and material cell viability was determined using the MTT assay. Results showed that the 5% HNT-CHX group presented the lowest cohesive strength, while the 2.5% and 5% HNT-CHX groups displayed modulus values similar to the control and did not affect microhardness. All groups exhibited an acidic pH with the control group releasing higher levels of F-, Ca+2, and PO4 -3 ions. The HNT-CHX 2.5% and HNT-CHX 5% groups reduced fluoride ion release compared to the control (GIC). The 5% HNT-CHX group showed the highest levels of free CHX and demonstrated bactericidal activity against S. mutans in CFU analysis. None of the materials presented cytotoxicity. In conclusion, incorporating 2.5% and 5% HNT-CHX affected the mechanical properties and ion release of the GIC. HNT-CHX 5% group exhibited antimicrobial against S. mutans.</p>\",\"PeriodicalId\":101363,\"journal\":{\"name\":\"Brazilian dental journal\",\"volume\":\"36 \",\"pages\":\"e236350\"},\"PeriodicalIF\":0.0000,\"publicationDate\":\"2025-07-11\",\"publicationTypes\":\"Journal Article\",\"fieldsOfStudy\":null,\"isOpenAccess\":false,\"openAccessPdf\":\"https://www.ncbi.nlm.nih.gov/pmc/articles/PMC12266620/pdf/\",\"citationCount\":\"0\",\"resultStr\":null,\"platform\":\"Semanticscholar\",\"paperid\":null,\"PeriodicalName\":\"Brazilian dental journal\",\"FirstCategoryId\":\"1085\",\"ListUrlMain\":\"https://doi.org/10.1590/0103-644020256350\",\"RegionNum\":0,\"RegionCategory\":null,\"ArticlePicture\":[],\"TitleCN\":null,\"AbstractTextCN\":null,\"PMCID\":null,\"EPubDate\":\"2025/1/1 0:00:00\",\"PubModel\":\"eCollection\",\"JCR\":\"\",\"JCRName\":\"\",\"Score\":null,\"Total\":0}","platform":"Semanticscholar","paperid":null,"PeriodicalName":"Brazilian dental journal","FirstCategoryId":"1085","ListUrlMain":"https://doi.org/10.1590/0103-644020256350","RegionNum":0,"RegionCategory":null,"ArticlePicture":[],"TitleCN":null,"AbstractTextCN":null,"PMCID":null,"EPubDate":"2025/1/1 0:00:00","PubModel":"eCollection","JCR":"","JCRName":"","Score":null,"Total":0}
引用次数: 0

摘要

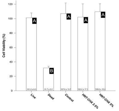
本研究评估了掺入氯己定(CHX)的高岭土纳米管(HNT)改性的传统玻璃离子水泥(GIC)的物理化学、细胞活力和抗菌性能。将HNT-CHX按2.5%和5%的重量浓度加入到GIC中,形成3个实验组:对照组(仅为GIC)、2.5% HNT-CHX组和5% HNT-CHX组。沙漏形试样(n=10)用于测量内聚强度和弹性模量,断裂试样进行显微硬度测试(n= 5)。为了评估碱化活性(pH)和F-、Ca+2和PO4-3离子(n = 3)的释放,制备了24 h后用紫外-可见分光光度法分析CHX的释放。对变形链球菌生物膜(CFU/ml)进行抑菌活性检测,并采用MTT法测定材料细胞活力。结果表明,5% HNT-CHX组的黏合强度最低,2.5%和5% HNT-CHX组的模量值与对照组相似,对显微硬度没有影响。所有组的pH值都呈酸性,对照组释放出较高水平的F-、Ca+2和PO4 -3离子。与对照(GIC)相比,2.5%和5%的HNT-CHX组减少了氟离子释放。在CFU分析中,5% HNT-CHX组显示出最高的游离CHX水平,并显示出对变形链球菌的杀菌活性。所有材料均无细胞毒性。综上所述,加入2.5%和5%的HNT-CHX对GIC的力学性能和离子释放有影响。HNT-CHX 5%组对S. mutans有抗菌作用。
本文章由计算机程序翻译,如有差异,请以英文原文为准。

Glass Ionomer Cements with Halloysite-CHX: Physicochemical Properties, Antimicrobial Activity, Cell Viability.

Glass Ionomer Cements with Halloysite-CHX: Physicochemical Properties, Antimicrobial Activity, Cell Viability.

Glass Ionomer Cements with Halloysite-CHX: Physicochemical Properties, Antimicrobial Activity, Cell Viability.

Glass Ionomer Cements with Halloysite-CHX: Physicochemical Properties, Antimicrobial Activity, Cell Viability.

This study evaluated the physicochemical, cell viability, and antimicrobial properties of conventional glass ionomer cement (GIC) modified by the incorporation of halloysite nanotubes (HNT) doped with chlorhexidine (CHX). HNT-CHX was added to GIC at concentrations of 2.5% and 5% by weight, forming three experimental groups: a control group (GIC only), a group with 2.5% HNT-CHX, and another with 5% HNT-CHX. Hourglass-shaped specimens (n=10) were used to measure cohesive strength and elastic modulus, while fractured specimens were subjected to microhardness testing (n = 5). To assess the alkalinizing activity (pH) and the release of F-, Ca+2, and PO4-3 ions (n = 3), discs were prepared for CHX release analysis by UV-vis after 24 hours. Antimicrobial activity was tested against S. mutans biofilm (CFU/ml), and material cell viability was determined using the MTT assay. Results showed that the 5% HNT-CHX group presented the lowest cohesive strength, while the 2.5% and 5% HNT-CHX groups displayed modulus values similar to the control and did not affect microhardness. All groups exhibited an acidic pH with the control group releasing higher levels of F-, Ca+2, and PO4 -3 ions. The HNT-CHX 2.5% and HNT-CHX 5% groups reduced fluoride ion release compared to the control (GIC). The 5% HNT-CHX group showed the highest levels of free CHX and demonstrated bactericidal activity against S. mutans in CFU analysis. None of the materials presented cytotoxicity. In conclusion, incorporating 2.5% and 5% HNT-CHX affected the mechanical properties and ion release of the GIC. HNT-CHX 5% group exhibited antimicrobial against S. mutans.

求助全文
通过发布文献求助,成功后即可免费获取论文全文。 去求助
来源期刊
自引率
0.00%
发文量
0
×
引用
GB/T 7714-2015
复制
MLA
复制
APA
复制
导出至
BibTeX EndNote RefMan NoteFirst NoteExpress
×
提示
您的信息不完整,为了账户安全,请先补充。
现在去补充
×
提示
您因"违规操作"
具体请查看互助需知
我知道了
×
提示
确定
请完成安全验证×
copy
已复制链接
快去分享给好友吧!
我知道了
右上角分享
点击右上角分享
0
联系我们:info@booksci.cn Book学术提供免费学术资源搜索服务,方便国内外学者检索中英文文献。致力于提供最便捷和优质的服务体验。 Copyright © 2023 布克学术 All rights reserved.
京ICP备2023020795号-1
ghs 京公网安备 11010802042870号
Book学术文献互助
Book学术文献互助群
群 号:604180095
Book学术官方微信