巴西毒品预防项目评价研究的方法学特征:范围审查。

IF 1.3 4区 医学 Q3 NURSING
Revista Latino-Americana De Enfermagem Pub Date : 2025-07-11 eCollection Date: 2025-01-01 DOI:10.1590/1518-8345.7709.4578
Daniela Ribeiro Schneider, Charlene Fernanda Thurow, Tallita Franzoloso, Leila Gracieli da Silva, Guilherme Gomes Silva, Elaine Lucas Dos Santos, Liz Paola Domingues, Leila Pimentel Dos Anjos, Fernanda Machado Lopes, Ana Regina Noto
{"title":"巴西毒品预防项目评价研究的方法学特征:范围审查。","authors":"Daniela Ribeiro Schneider, Charlene Fernanda Thurow, Tallita Franzoloso, Leila Gracieli da Silva, Guilherme Gomes Silva, Elaine Lucas Dos Santos, Liz Paola Domingues, Leila Pimentel Dos Anjos, Fernanda Machado Lopes, Ana Regina Noto","doi":"10.1590/1518-8345.7709.4578","DOIUrl":null,"url":null,"abstract":"<p><p>to map studies that have developed evaluation processes of prevention programs for the use of alcohol and other drugs in Brazil, analyzing their methodological characteristics.</p><p><p>a scoping review guided by the Joanna Briggs Institute Manual and the Preferred Reporting Items for Systematic reviews and Meta-Analyses extension for Scoping Reviews. The searches were carried out in eight databases and a theses and dissertations database, screened with double-blind in Rayyan®, analyzed with a focus on the methodology of the evaluative studies and through qualitative synthesis.</p><p><p>of the 56 publications included, the majority used an observational design, generally related to process evaluations (n = 26), followed by experimental (n = 23) and quasi-experimental (n = 8) analyses of results in terms of effectiveness and efficacy, respectively. Of the eleven actions analyzed, eight are universal prevention programs, one is selective prevention and two are a preventive strategy.</p><p><p>most of the programs evaluated are universal, aimed at adolescents, carried out in schools and focused on various drugs. It is recommended to focus on new groups, such as Indigenous populations and other risk conditions, and to develop selective programs in future government initiatives to prevent drug use in Brazil.</p>","PeriodicalId":48692,"journal":{"name":"Revista Latino-Americana De Enfermagem","volume":"33 ","pages":"e4578"},"PeriodicalIF":1.3000,"publicationDate":"2025-07-11","publicationTypes":"Journal Article","fieldsOfStudy":null,"isOpenAccess":false,"openAccessPdf":"https://www.ncbi.nlm.nih.gov/pmc/articles/PMC12259218/pdf/","citationCount":"0","resultStr":"{\"title\":\"Methodological characteristics of evaluative studies of drug prevention programs in Brazil: scoping review.\",\"authors\":\"Daniela Ribeiro Schneider, Charlene Fernanda Thurow, Tallita Franzoloso, Leila Gracieli da Silva, Guilherme Gomes Silva, Elaine Lucas Dos Santos, Liz Paola Domingues, Leila Pimentel Dos Anjos, Fernanda Machado Lopes, Ana Regina Noto\",\"doi\":\"10.1590/1518-8345.7709.4578\",\"DOIUrl\":null,\"url\":null,\"abstract\":\"<p><p>to map studies that have developed evaluation processes of prevention programs for the use of alcohol and other drugs in Brazil, analyzing their methodological characteristics.</p><p><p>a scoping review guided by the Joanna Briggs Institute Manual and the Preferred Reporting Items for Systematic reviews and Meta-Analyses extension for Scoping Reviews. The searches were carried out in eight databases and a theses and dissertations database, screened with double-blind in Rayyan®, analyzed with a focus on the methodology of the evaluative studies and through qualitative synthesis.</p><p><p>of the 56 publications included, the majority used an observational design, generally related to process evaluations (n = 26), followed by experimental (n = 23) and quasi-experimental (n = 8) analyses of results in terms of effectiveness and efficacy, respectively. Of the eleven actions analyzed, eight are universal prevention programs, one is selective prevention and two are a preventive strategy.</p><p><p>most of the programs evaluated are universal, aimed at adolescents, carried out in schools and focused on various drugs. It is recommended to focus on new groups, such as Indigenous populations and other risk conditions, and to develop selective programs in future government initiatives to prevent drug use in Brazil.</p>\",\"PeriodicalId\":48692,\"journal\":{\"name\":\"Revista Latino-Americana De Enfermagem\",\"volume\":\"33 \",\"pages\":\"e4578\"},\"PeriodicalIF\":1.3000,\"publicationDate\":\"2025-07-11\",\"publicationTypes\":\"Journal Article\",\"fieldsOfStudy\":null,\"isOpenAccess\":false,\"openAccessPdf\":\"https://www.ncbi.nlm.nih.gov/pmc/articles/PMC12259218/pdf/\",\"citationCount\":\"0\",\"resultStr\":null,\"platform\":\"Semanticscholar\",\"paperid\":null,\"PeriodicalName\":\"Revista Latino-Americana De Enfermagem\",\"FirstCategoryId\":\"3\",\"ListUrlMain\":\"https://doi.org/10.1590/1518-8345.7709.4578\",\"RegionNum\":4,\"RegionCategory\":\"医学\",\"ArticlePicture\":[],\"TitleCN\":null,\"AbstractTextCN\":null,\"PMCID\":null,\"EPubDate\":\"2025/1/1 0:00:00\",\"PubModel\":\"eCollection\",\"JCR\":\"Q3\",\"JCRName\":\"NURSING\",\"Score\":null,\"Total\":0}","platform":"Semanticscholar","paperid":null,"PeriodicalName":"Revista Latino-Americana De Enfermagem","FirstCategoryId":"3","ListUrlMain":"https://doi.org/10.1590/1518-8345.7709.4578","RegionNum":4,"RegionCategory":"医学","ArticlePicture":[],"TitleCN":null,"AbstractTextCN":null,"PMCID":null,"EPubDate":"2025/1/1 0:00:00","PubModel":"eCollection","JCR":"Q3","JCRName":"NURSING","Score":null,"Total":0}
引用次数: 0

摘要

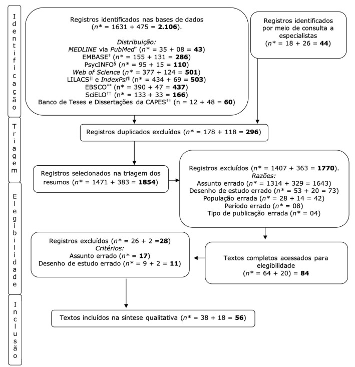
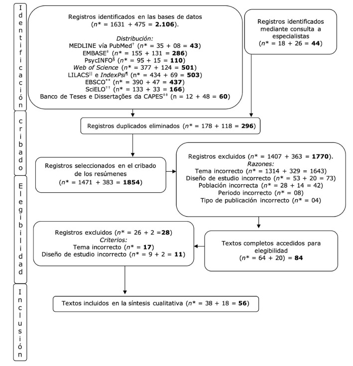
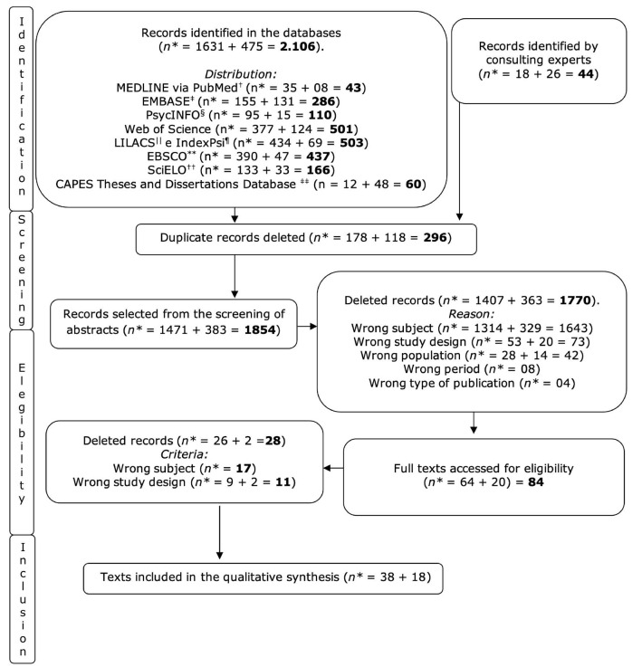
绘制在巴西制定酒精和其他药物使用预防方案评估程序的研究图,分析其方法特点。由乔安娜布里格斯研究所手册指导的范围审查,以及系统审查和范围审查扩展元分析的首选报告项目。在八个数据库和一个论文数据库中进行检索,采用Rayyan®双盲筛选,重点分析评价研究的方法并通过定性综合进行分析。在纳入的56份出版物中,大多数采用观察设计,通常与过程评估(n = 26)有关,然后分别对有效性和疗效进行实验(n = 23)和准实验(n = 8)分析。在分析的11项行动中,8项是普遍预防方案,1项是选择性预防,2项是预防策略。大多数被评估的项目都是普遍的,针对青少年,在学校开展,重点关注各种毒品。建议将重点放在新的群体上,如土著居民和其他有风险的人群,并在巴西未来的政府行动中制定有选择性的方案,以防止吸毒。
本文章由计算机程序翻译,如有差异,请以英文原文为准。

Methodological characteristics of evaluative studies of drug prevention programs in Brazil: scoping review.

Methodological characteristics of evaluative studies of drug prevention programs in Brazil: scoping review.

Methodological characteristics of evaluative studies of drug prevention programs in Brazil: scoping review.

Methodological characteristics of evaluative studies of drug prevention programs in Brazil: scoping review.

to map studies that have developed evaluation processes of prevention programs for the use of alcohol and other drugs in Brazil, analyzing their methodological characteristics.

a scoping review guided by the Joanna Briggs Institute Manual and the Preferred Reporting Items for Systematic reviews and Meta-Analyses extension for Scoping Reviews. The searches were carried out in eight databases and a theses and dissertations database, screened with double-blind in Rayyan®, analyzed with a focus on the methodology of the evaluative studies and through qualitative synthesis.

of the 56 publications included, the majority used an observational design, generally related to process evaluations (n = 26), followed by experimental (n = 23) and quasi-experimental (n = 8) analyses of results in terms of effectiveness and efficacy, respectively. Of the eleven actions analyzed, eight are universal prevention programs, one is selective prevention and two are a preventive strategy.

most of the programs evaluated are universal, aimed at adolescents, carried out in schools and focused on various drugs. It is recommended to focus on new groups, such as Indigenous populations and other risk conditions, and to develop selective programs in future government initiatives to prevent drug use in Brazil.

求助全文
通过发布文献求助,成功后即可免费获取论文全文。 去求助
来源期刊
自引率
11.10%
发文量
142
期刊介绍: A Revista Latino-Americana de Enfermagem constitui-se no órgão oficial de divulgação científica da Escola de Enfermagem de Ribeirão Preto da Universidade de São Paulo e do Centro Colaborador da OMS para o Desenvolvimento da Pesquisa em Enfermagem. Foi criada em abril de 1992 sendo sua primeira edição publicada em janeiro de 1993. No período de 1993 a 1997 tinha periodicidade semestral, de 1997 a 2000 trimestral e, a partir de janeiro de 2001, tem periodicidade bimestral. Caracteriza-se como periódico de circulação internacional, abrangendo predominantemente os países da América Latina e Caribe, embora seja também divulgado para assinantes dos Estados Unidos, Portugal e Espanha.
×
引用
GB/T 7714-2015
复制
MLA
复制
APA
复制
导出至
BibTeX EndNote RefMan NoteFirst NoteExpress
×
提示
您的信息不完整,为了账户安全,请先补充。
现在去补充
×
提示
您因"违规操作"
具体请查看互助需知
我知道了
×
提示
确定
请完成安全验证×
copy
已复制链接
快去分享给好友吧!
我知道了
右上角分享
点击右上角分享
0
联系我们:info@booksci.cn Book学术提供免费学术资源搜索服务,方便国内外学者检索中英文文献。致力于提供最便捷和优质的服务体验。 Copyright © 2023 布克学术 All rights reserved.
京ICP备2023020795号-1
ghs 京公网安备 11010802042870号
Book学术文献互助
Book学术文献互助群
群 号:604180095
Book学术官方微信