远程医疗对心脏病患者生活质量的影响:系统综述。

IF 1.3 4区 医学 Q3 NURSING
Revista Latino-Americana De Enfermagem Pub Date : 2025-07-11 eCollection Date: 2025-01-01 DOI:10.1590/1518-8345.7243.4566
Gabriele Cardoso Gonçalves Alves, Fabiola Leticia Damascena Amador, Vagner Rogério Dos Santos, Rita Simone Lopes Moreira
{"title":"远程医疗对心脏病患者生活质量的影响:系统综述。","authors":"Gabriele Cardoso Gonçalves Alves, Fabiola Leticia Damascena Amador, Vagner Rogério Dos Santos, Rita Simone Lopes Moreira","doi":"10.1590/1518-8345.7243.4566","DOIUrl":null,"url":null,"abstract":"<p><p>to synthesize the scientific evidence on the effectiveness of telemedicine-based interventions in improving health-related quality of life and self-management of patients with heart disease.</p><p><p>systematic review of effectiveness, following the recommendations of the Joanna Briggs Institute and the reporting guideline Preferred Reporting Items for Systematic Reviews and Meta-Analyses Checklist. The search was conducted in six databases: Cochrane Library, Virtual Health Library, PubMed, CINAHL, Web of Science Core Collection and Scopus, without period restriction, in English, Portuguese or Spanish. The methodological quality and risk of bias of the studies were assessed using the JBI critical appraisal tool and the certainty of the evidence was classified using the GRADE tool.</p><p><p>of the 44 randomized clinical trials included, the main interventions analyzed were telemonitoring, telephone contact and telerehabilitation. Out of the studies evaluated, 88.63% demonstrated an improvement in health-related quality of life, with 45.45% of these showing a statistically significant difference.</p><p><p>telemedicine shows promise as a valuable tool for the care and self-management of individuals with cardiac conditions. However, further studies are needed to confirm its effectiveness and impact on health outcomes.</p>","PeriodicalId":48692,"journal":{"name":"Revista Latino-Americana De Enfermagem","volume":"33 ","pages":"e4566"},"PeriodicalIF":1.3000,"publicationDate":"2025-07-11","publicationTypes":"Journal Article","fieldsOfStudy":null,"isOpenAccess":false,"openAccessPdf":"https://www.ncbi.nlm.nih.gov/pmc/articles/PMC12259226/pdf/","citationCount":"0","resultStr":"{\"title\":\"Effect of telemedicine on the quality of life of people with heart disease: a systematic review.\",\"authors\":\"Gabriele Cardoso Gonçalves Alves, Fabiola Leticia Damascena Amador, Vagner Rogério Dos Santos, Rita Simone Lopes Moreira\",\"doi\":\"10.1590/1518-8345.7243.4566\",\"DOIUrl\":null,\"url\":null,\"abstract\":\"<p><p>to synthesize the scientific evidence on the effectiveness of telemedicine-based interventions in improving health-related quality of life and self-management of patients with heart disease.</p><p><p>systematic review of effectiveness, following the recommendations of the Joanna Briggs Institute and the reporting guideline Preferred Reporting Items for Systematic Reviews and Meta-Analyses Checklist. The search was conducted in six databases: Cochrane Library, Virtual Health Library, PubMed, CINAHL, Web of Science Core Collection and Scopus, without period restriction, in English, Portuguese or Spanish. The methodological quality and risk of bias of the studies were assessed using the JBI critical appraisal tool and the certainty of the evidence was classified using the GRADE tool.</p><p><p>of the 44 randomized clinical trials included, the main interventions analyzed were telemonitoring, telephone contact and telerehabilitation. Out of the studies evaluated, 88.63% demonstrated an improvement in health-related quality of life, with 45.45% of these showing a statistically significant difference.</p><p><p>telemedicine shows promise as a valuable tool for the care and self-management of individuals with cardiac conditions. However, further studies are needed to confirm its effectiveness and impact on health outcomes.</p>\",\"PeriodicalId\":48692,\"journal\":{\"name\":\"Revista Latino-Americana De Enfermagem\",\"volume\":\"33 \",\"pages\":\"e4566\"},\"PeriodicalIF\":1.3000,\"publicationDate\":\"2025-07-11\",\"publicationTypes\":\"Journal Article\",\"fieldsOfStudy\":null,\"isOpenAccess\":false,\"openAccessPdf\":\"https://www.ncbi.nlm.nih.gov/pmc/articles/PMC12259226/pdf/\",\"citationCount\":\"0\",\"resultStr\":null,\"platform\":\"Semanticscholar\",\"paperid\":null,\"PeriodicalName\":\"Revista Latino-Americana De Enfermagem\",\"FirstCategoryId\":\"3\",\"ListUrlMain\":\"https://doi.org/10.1590/1518-8345.7243.4566\",\"RegionNum\":4,\"RegionCategory\":\"医学\",\"ArticlePicture\":[],\"TitleCN\":null,\"AbstractTextCN\":null,\"PMCID\":null,\"EPubDate\":\"2025/1/1 0:00:00\",\"PubModel\":\"eCollection\",\"JCR\":\"Q3\",\"JCRName\":\"NURSING\",\"Score\":null,\"Total\":0}","platform":"Semanticscholar","paperid":null,"PeriodicalName":"Revista Latino-Americana De Enfermagem","FirstCategoryId":"3","ListUrlMain":"https://doi.org/10.1590/1518-8345.7243.4566","RegionNum":4,"RegionCategory":"医学","ArticlePicture":[],"TitleCN":null,"AbstractTextCN":null,"PMCID":null,"EPubDate":"2025/1/1 0:00:00","PubModel":"eCollection","JCR":"Q3","JCRName":"NURSING","Score":null,"Total":0}
引用次数: 0

摘要

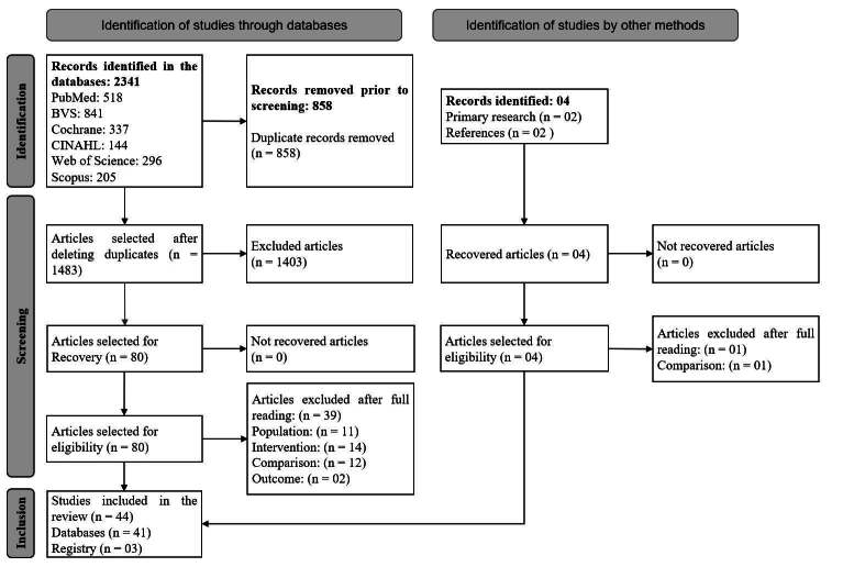
综合基于远程医疗的干预措施在改善心脏病患者健康相关生活质量和自我管理方面有效性的科学证据。根据乔安娜布里格斯研究所的建议和报告指南的建议,对有效性进行系统审查和荟萃分析清单的首选报告项目。检索在六个数据库中进行:Cochrane图书馆、Virtual Health图书馆、PubMed、CINAHL、Web of Science核心馆藏和Scopus,没有时间限制,使用英语、葡萄牙语或西班牙语。使用JBI关键评估工具评估研究的方法学质量和偏倚风险,使用GRADE工具对证据的确定性进行分类。在纳入的44项随机临床试验中,分析的主要干预措施为远程监护、电话联系和远程康复。在评估的研究中,88.63%的研究显示与健康相关的生活质量有所改善,其中45.45%的研究显示有统计学显著差异。远程医疗有望成为心脏病患者护理和自我管理的宝贵工具。然而,需要进一步的研究来证实其有效性和对健康结果的影响。
本文章由计算机程序翻译,如有差异,请以英文原文为准。

Effect of telemedicine on the quality of life of people with heart disease: a systematic review.

Effect of telemedicine on the quality of life of people with heart disease: a systematic review.

Effect of telemedicine on the quality of life of people with heart disease: a systematic review.

Effect of telemedicine on the quality of life of people with heart disease: a systematic review.

to synthesize the scientific evidence on the effectiveness of telemedicine-based interventions in improving health-related quality of life and self-management of patients with heart disease.

systematic review of effectiveness, following the recommendations of the Joanna Briggs Institute and the reporting guideline Preferred Reporting Items for Systematic Reviews and Meta-Analyses Checklist. The search was conducted in six databases: Cochrane Library, Virtual Health Library, PubMed, CINAHL, Web of Science Core Collection and Scopus, without period restriction, in English, Portuguese or Spanish. The methodological quality and risk of bias of the studies were assessed using the JBI critical appraisal tool and the certainty of the evidence was classified using the GRADE tool.

of the 44 randomized clinical trials included, the main interventions analyzed were telemonitoring, telephone contact and telerehabilitation. Out of the studies evaluated, 88.63% demonstrated an improvement in health-related quality of life, with 45.45% of these showing a statistically significant difference.

telemedicine shows promise as a valuable tool for the care and self-management of individuals with cardiac conditions. However, further studies are needed to confirm its effectiveness and impact on health outcomes.

求助全文
通过发布文献求助,成功后即可免费获取论文全文。 去求助
来源期刊
自引率
11.10%
发文量
142
期刊介绍: A Revista Latino-Americana de Enfermagem constitui-se no órgão oficial de divulgação científica da Escola de Enfermagem de Ribeirão Preto da Universidade de São Paulo e do Centro Colaborador da OMS para o Desenvolvimento da Pesquisa em Enfermagem. Foi criada em abril de 1992 sendo sua primeira edição publicada em janeiro de 1993. No período de 1993 a 1997 tinha periodicidade semestral, de 1997 a 2000 trimestral e, a partir de janeiro de 2001, tem periodicidade bimestral. Caracteriza-se como periódico de circulação internacional, abrangendo predominantemente os países da América Latina e Caribe, embora seja também divulgado para assinantes dos Estados Unidos, Portugal e Espanha.
×
引用
GB/T 7714-2015
复制
MLA
复制
APA
复制
导出至
BibTeX EndNote RefMan NoteFirst NoteExpress
×
提示
您的信息不完整,为了账户安全,请先补充。
现在去补充
×
提示
您因"违规操作"
具体请查看互助需知
我知道了
×
提示
确定
请完成安全验证×
copy
已复制链接
快去分享给好友吧!
我知道了
右上角分享
点击右上角分享
0
联系我们:info@booksci.cn Book学术提供免费学术资源搜索服务,方便国内外学者检索中英文文献。致力于提供最便捷和优质的服务体验。 Copyright © 2023 布克学术 All rights reserved.
京ICP备2023020795号-1
ghs 京公网安备 11010802042870号
Book学术文献互助
Book学术文献互助群
群 号:604180095
Book学术官方微信