沙特阿拉伯王国护理人员分布的不平等:区域分析。

IF 4.3 2区 医学 Q1 HEALTH POLICY & SERVICES
Waleed Kattan, Mohammed Khaled Al-Hanawi
{"title":"沙特阿拉伯王国护理人员分布的不平等:区域分析。","authors":"Waleed Kattan, Mohammed Khaled Al-Hanawi","doi":"10.1186/s12960-025-01010-6","DOIUrl":null,"url":null,"abstract":"<p><strong>Background: </strong>The global nursing shortage is a growing concern, particularly in regions experiencing rapid population growth and healthcare transformation. This study examines trends and regional inequalities in Saudi Arabia's nursing workforce distribution from 2019 to 2023 within the context of Saudi Vision 2030 and the Health Sector Transformation Program.</p><p><strong>Methods: </strong>Data from the Ministry of Health's 2023 Statistical Yearbook were used for this study. Nurse-to-1 000 population ratios were calculated across 20 health regions. Inequality in the nursing distribution was assessed using Gini coefficients and Lorenz curves, disaggregated by sector (Ministry of Health vs. private health sector) and nationality (Saudi vs. non-Saudi).</p><p><strong>Results: </strong>The national nursing workforce increased by 9% from 2019 to 2023, reaching 213 110 nurses. However, nurse-to-population ratios varied significantly across regions, ranging from 3.13 to 9.89 per 1 000 people. The overall Gini coefficient was 0.48, indicating a relatively unequal distribution of nurses across regions. Inequalities were more pronounced in the private health sector (Gini coefficient = 0.69) and among non-Saudi nurses (Gini coefficient = 0.59). While Saudization efforts led to a modest increase-Saudi nationals comprised 44.22% of the nursing workforce in 2023-localization remained uneven across regions and healthcare sectors.</p><p><strong>Conclusion: </strong>Despite workforce growth and increased localization, Saudi Arabia continues to face considerable regional inequalities in nursing distribution. These disparities require targeted workforce policy interventions, including expanding nursing education opportunities, optimizing working conditions, and implementing strategic workforce plans to distribute nursing resources more equitably. Additionally, offering incentives for deployment in underserved regions will be critical.</p>","PeriodicalId":39823,"journal":{"name":"Human Resources for Health","volume":"23 1","pages":"34"},"PeriodicalIF":4.3000,"publicationDate":"2025-07-15","publicationTypes":"Journal Article","fieldsOfStudy":null,"isOpenAccess":false,"openAccessPdf":"https://www.ncbi.nlm.nih.gov/pmc/articles/PMC12265384/pdf/","citationCount":"0","resultStr":"{\"title\":\"Inequalities in the distribution of the nursing workforce in the Kingdom of Saudi Arabia: a regional analysis.\",\"authors\":\"Waleed Kattan, Mohammed Khaled Al-Hanawi\",\"doi\":\"10.1186/s12960-025-01010-6\",\"DOIUrl\":null,\"url\":null,\"abstract\":\"<p><strong>Background: </strong>The global nursing shortage is a growing concern, particularly in regions experiencing rapid population growth and healthcare transformation. This study examines trends and regional inequalities in Saudi Arabia's nursing workforce distribution from 2019 to 2023 within the context of Saudi Vision 2030 and the Health Sector Transformation Program.</p><p><strong>Methods: </strong>Data from the Ministry of Health's 2023 Statistical Yearbook were used for this study. Nurse-to-1 000 population ratios were calculated across 20 health regions. Inequality in the nursing distribution was assessed using Gini coefficients and Lorenz curves, disaggregated by sector (Ministry of Health vs. private health sector) and nationality (Saudi vs. non-Saudi).</p><p><strong>Results: </strong>The national nursing workforce increased by 9% from 2019 to 2023, reaching 213 110 nurses. However, nurse-to-population ratios varied significantly across regions, ranging from 3.13 to 9.89 per 1 000 people. The overall Gini coefficient was 0.48, indicating a relatively unequal distribution of nurses across regions. Inequalities were more pronounced in the private health sector (Gini coefficient = 0.69) and among non-Saudi nurses (Gini coefficient = 0.59). While Saudization efforts led to a modest increase-Saudi nationals comprised 44.22% of the nursing workforce in 2023-localization remained uneven across regions and healthcare sectors.</p><p><strong>Conclusion: </strong>Despite workforce growth and increased localization, Saudi Arabia continues to face considerable regional inequalities in nursing distribution. These disparities require targeted workforce policy interventions, including expanding nursing education opportunities, optimizing working conditions, and implementing strategic workforce plans to distribute nursing resources more equitably. Additionally, offering incentives for deployment in underserved regions will be critical.</p>\",\"PeriodicalId\":39823,\"journal\":{\"name\":\"Human Resources for Health\",\"volume\":\"23 1\",\"pages\":\"34\"},\"PeriodicalIF\":4.3000,\"publicationDate\":\"2025-07-15\",\"publicationTypes\":\"Journal Article\",\"fieldsOfStudy\":null,\"isOpenAccess\":false,\"openAccessPdf\":\"https://www.ncbi.nlm.nih.gov/pmc/articles/PMC12265384/pdf/\",\"citationCount\":\"0\",\"resultStr\":null,\"platform\":\"Semanticscholar\",\"paperid\":null,\"PeriodicalName\":\"Human Resources for Health\",\"FirstCategoryId\":\"3\",\"ListUrlMain\":\"https://doi.org/10.1186/s12960-025-01010-6\",\"RegionNum\":2,\"RegionCategory\":\"医学\",\"ArticlePicture\":[],\"TitleCN\":null,\"AbstractTextCN\":null,\"PMCID\":null,\"EPubDate\":\"\",\"PubModel\":\"\",\"JCR\":\"Q1\",\"JCRName\":\"HEALTH POLICY & SERVICES\",\"Score\":null,\"Total\":0}","platform":"Semanticscholar","paperid":null,"PeriodicalName":"Human Resources for Health","FirstCategoryId":"3","ListUrlMain":"https://doi.org/10.1186/s12960-025-01010-6","RegionNum":2,"RegionCategory":"医学","ArticlePicture":[],"TitleCN":null,"AbstractTextCN":null,"PMCID":null,"EPubDate":"","PubModel":"","JCR":"Q1","JCRName":"HEALTH POLICY & SERVICES","Score":null,"Total":0}
引用次数: 0

摘要

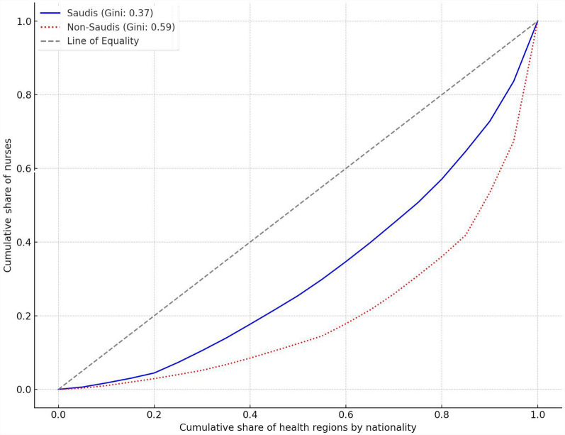
背景:全球护理人员短缺日益受到关注,特别是在经历快速人口增长和医疗保健转型的地区。本研究在沙特2030年愿景和卫生部门转型计划的背景下,研究了2019年至2023年沙特阿拉伯护理人员分布的趋势和地区不平等现象。方法:采用卫生部《2023年统计年鉴》中的数据。计算了20个卫生区域的护士与1 000人的比率。使用基尼系数和洛伦兹曲线评估护理分布中的不平等,并按部门(卫生部与私营卫生部门)和国籍(沙特与非沙特)分类。结果:2019年至2023年,全国护理人员总数增长9%,达到213110名。然而,不同地区的护士与人口比率差异很大,从每1000人3.13人到9.89人不等。总体基尼系数为0.48,表明护士在地区间分布相对不均。在私营保健部门(基尼系数= 0.69)和非沙特护士(基尼系数= 0.59)中,不平等现象更为明显。虽然沙特的努力导致了适度的增长——沙特国民在2023年占护理劳动力的44.22%——但在地区和医疗保健部门之间,本地化仍然不平衡。结论:尽管劳动力增长和本地化程度提高,沙特阿拉伯在护理分布方面仍然面临相当大的地区不平等。这些差异需要有针对性的劳动力政策干预,包括扩大护理教育机会,优化工作条件,实施战略性劳动力计划,以更公平地分配护理资源。此外,在服务不足的地区提供激励措施将是至关重要的。
本文章由计算机程序翻译,如有差异,请以英文原文为准。

Inequalities in the distribution of the nursing workforce in the Kingdom of Saudi Arabia: a regional analysis.

Inequalities in the distribution of the nursing workforce in the Kingdom of Saudi Arabia: a regional analysis.

Inequalities in the distribution of the nursing workforce in the Kingdom of Saudi Arabia: a regional analysis.

Background: The global nursing shortage is a growing concern, particularly in regions experiencing rapid population growth and healthcare transformation. This study examines trends and regional inequalities in Saudi Arabia's nursing workforce distribution from 2019 to 2023 within the context of Saudi Vision 2030 and the Health Sector Transformation Program.

Methods: Data from the Ministry of Health's 2023 Statistical Yearbook were used for this study. Nurse-to-1 000 population ratios were calculated across 20 health regions. Inequality in the nursing distribution was assessed using Gini coefficients and Lorenz curves, disaggregated by sector (Ministry of Health vs. private health sector) and nationality (Saudi vs. non-Saudi).

Results: The national nursing workforce increased by 9% from 2019 to 2023, reaching 213 110 nurses. However, nurse-to-population ratios varied significantly across regions, ranging from 3.13 to 9.89 per 1 000 people. The overall Gini coefficient was 0.48, indicating a relatively unequal distribution of nurses across regions. Inequalities were more pronounced in the private health sector (Gini coefficient = 0.69) and among non-Saudi nurses (Gini coefficient = 0.59). While Saudization efforts led to a modest increase-Saudi nationals comprised 44.22% of the nursing workforce in 2023-localization remained uneven across regions and healthcare sectors.

Conclusion: Despite workforce growth and increased localization, Saudi Arabia continues to face considerable regional inequalities in nursing distribution. These disparities require targeted workforce policy interventions, including expanding nursing education opportunities, optimizing working conditions, and implementing strategic workforce plans to distribute nursing resources more equitably. Additionally, offering incentives for deployment in underserved regions will be critical.

求助全文
通过发布文献求助,成功后即可免费获取论文全文。 去求助
来源期刊
Human Resources for Health
Human Resources for Health Social Sciences-Public Administration
CiteScore
8.10
自引率
4.40%
发文量
102
审稿时长
34 weeks
期刊介绍: Human Resources for Health is an open access, peer-reviewed, online journal covering all aspects of planning, producing and managing the health workforce - all those who provide health services worldwide. Human Resources for Health aims to disseminate research on health workforce policy, the health labour market, health workforce practice, development of knowledge tools and implementation mechanisms nationally and internationally; as well as specific features of the health workforce, such as the impact of management of health workers" performance and its link with health outcomes. The journal encourages debate on health sector reforms and their link with human resources issues, a hitherto-neglected area.
×
引用
GB/T 7714-2015
复制
MLA
复制
APA
复制
导出至
BibTeX EndNote RefMan NoteFirst NoteExpress
×
提示
您的信息不完整,为了账户安全,请先补充。
现在去补充
×
提示
您因"违规操作"
具体请查看互助需知
我知道了
×
提示
确定
请完成安全验证×
copy
已复制链接
快去分享给好友吧!
我知道了
右上角分享
点击右上角分享
0
联系我们:info@booksci.cn Book学术提供免费学术资源搜索服务,方便国内外学者检索中英文文献。致力于提供最便捷和优质的服务体验。 Copyright © 2023 布克学术 All rights reserved.
京ICP备2023020795号-1
ghs 京公网安备 11010802042870号
Book学术文献互助
Book学术文献互助群
群 号:604180095
Book学术官方微信