人工晶状体植入术矫正近视的客观和主观结果。

Q3 Medicine
Oman Journal of Ophthalmology Pub Date : 2025-06-24 eCollection Date: 2025-05-01 DOI:10.4103/ojo.ojo_171_24
Gaurav Kapoor, Vijay Kumar Sharma, Prabhjot Singh, Deepti Sahran, Sankalp Seth, Vikas Ambiya, Nidhi Kalra, Avinash Mishra
{"title":"人工晶状体植入术矫正近视的客观和主观结果。","authors":"Gaurav Kapoor, Vijay Kumar Sharma, Prabhjot Singh, Deepti Sahran, Sankalp Seth, Vikas Ambiya, Nidhi Kalra, Avinash Mishra","doi":"10.4103/ojo.ojo_171_24","DOIUrl":null,"url":null,"abstract":"<p><strong>Background: </strong>Implantable collamer lens (ICL) implantation has gained popularity as a surgical option for the correction of high myopia. This study aimed to evaluate the visual outcomes, patient satisfaction, and safety of ICL implantation by combining objective and subjective parameters for a comprehensive assessment.</p><p><strong>Methods: </strong>This prospective, interventional study included 67 eyes from 37 patients who underwent ICL implantation. Visual acuity, refractive outcomes, anterior chamber depth, ICL vault, endothelial cell density, intraocular pressure, and patient satisfaction using the Visual Function Questionnaire-25 (VFQ-25) were assessed preoperatively and at various postoperative time points up to 12 months.</p><p><strong>Results: </strong>At 12 months postoperatively, the mean uncorrected distance visual acuity improved to 0.10 ± 0.08 LogMAR, and the mean corrected distance visual acuity improved to 0.04 ± 0.05 LogMAR. The mean spherical equivalent decreased from -10.57 ± 2.22 D preoperatively to -0.10 ± 0.25 D, with 95.5% of eyes within ±0.50 D of the target refraction. The mean ICL vault was stable at 625 ± 80 μm, and no significant endothelial cell loss or complications were observed. The mean composite VFQ-25 score improved significantly from 72.87 ± 11.23 preoperatively to 93.39 ± 4.68 at 12 months postoperatively (<i>P</i> < 0.001).</p><p><strong>Conclusion: </strong>This study demonstrates that ICL implantation is a safe, effective, and predictable option for the correction of high myopia, providing excellent visual outcomes, refractive stability, and significant improvements in patient satisfaction and quality of life. The combination of objective and subjective parameters provides a comprehensive assessment of surgical success and patient-reported outcomes.</p>","PeriodicalId":19461,"journal":{"name":"Oman Journal of Ophthalmology","volume":"18 2","pages":"187-192"},"PeriodicalIF":0.0000,"publicationDate":"2025-06-24","publicationTypes":"Journal Article","fieldsOfStudy":null,"isOpenAccess":false,"openAccessPdf":"https://www.ncbi.nlm.nih.gov/pmc/articles/PMC12258833/pdf/","citationCount":"0","resultStr":"{\"title\":\"Objective and subjective outcomes following implantable collamer lens (ICL) implantation for the correction of myopia.\",\"authors\":\"Gaurav Kapoor, Vijay Kumar Sharma, Prabhjot Singh, Deepti Sahran, Sankalp Seth, Vikas Ambiya, Nidhi Kalra, Avinash Mishra\",\"doi\":\"10.4103/ojo.ojo_171_24\",\"DOIUrl\":null,\"url\":null,\"abstract\":\"<p><strong>Background: </strong>Implantable collamer lens (ICL) implantation has gained popularity as a surgical option for the correction of high myopia. This study aimed to evaluate the visual outcomes, patient satisfaction, and safety of ICL implantation by combining objective and subjective parameters for a comprehensive assessment.</p><p><strong>Methods: </strong>This prospective, interventional study included 67 eyes from 37 patients who underwent ICL implantation. Visual acuity, refractive outcomes, anterior chamber depth, ICL vault, endothelial cell density, intraocular pressure, and patient satisfaction using the Visual Function Questionnaire-25 (VFQ-25) were assessed preoperatively and at various postoperative time points up to 12 months.</p><p><strong>Results: </strong>At 12 months postoperatively, the mean uncorrected distance visual acuity improved to 0.10 ± 0.08 LogMAR, and the mean corrected distance visual acuity improved to 0.04 ± 0.05 LogMAR. The mean spherical equivalent decreased from -10.57 ± 2.22 D preoperatively to -0.10 ± 0.25 D, with 95.5% of eyes within ±0.50 D of the target refraction. The mean ICL vault was stable at 625 ± 80 μm, and no significant endothelial cell loss or complications were observed. The mean composite VFQ-25 score improved significantly from 72.87 ± 11.23 preoperatively to 93.39 ± 4.68 at 12 months postoperatively (<i>P</i> < 0.001).</p><p><strong>Conclusion: </strong>This study demonstrates that ICL implantation is a safe, effective, and predictable option for the correction of high myopia, providing excellent visual outcomes, refractive stability, and significant improvements in patient satisfaction and quality of life. The combination of objective and subjective parameters provides a comprehensive assessment of surgical success and patient-reported outcomes.</p>\",\"PeriodicalId\":19461,\"journal\":{\"name\":\"Oman Journal of Ophthalmology\",\"volume\":\"18 2\",\"pages\":\"187-192\"},\"PeriodicalIF\":0.0000,\"publicationDate\":\"2025-06-24\",\"publicationTypes\":\"Journal Article\",\"fieldsOfStudy\":null,\"isOpenAccess\":false,\"openAccessPdf\":\"https://www.ncbi.nlm.nih.gov/pmc/articles/PMC12258833/pdf/\",\"citationCount\":\"0\",\"resultStr\":null,\"platform\":\"Semanticscholar\",\"paperid\":null,\"PeriodicalName\":\"Oman Journal of Ophthalmology\",\"FirstCategoryId\":\"1085\",\"ListUrlMain\":\"https://doi.org/10.4103/ojo.ojo_171_24\",\"RegionNum\":0,\"RegionCategory\":null,\"ArticlePicture\":[],\"TitleCN\":null,\"AbstractTextCN\":null,\"PMCID\":null,\"EPubDate\":\"2025/5/1 0:00:00\",\"PubModel\":\"eCollection\",\"JCR\":\"Q3\",\"JCRName\":\"Medicine\",\"Score\":null,\"Total\":0}","platform":"Semanticscholar","paperid":null,"PeriodicalName":"Oman Journal of Ophthalmology","FirstCategoryId":"1085","ListUrlMain":"https://doi.org/10.4103/ojo.ojo_171_24","RegionNum":0,"RegionCategory":null,"ArticlePicture":[],"TitleCN":null,"AbstractTextCN":null,"PMCID":null,"EPubDate":"2025/5/1 0:00:00","PubModel":"eCollection","JCR":"Q3","JCRName":"Medicine","Score":null,"Total":0}
引用次数: 0

摘要

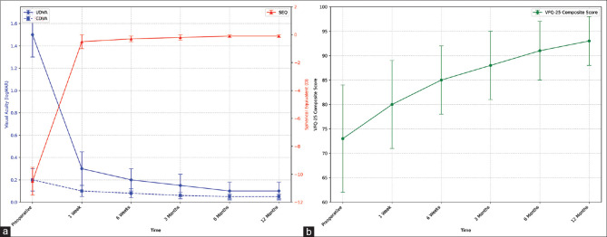
背景:人工晶状体(ICL)植入术作为高度近视矫正的一种手术选择已经越来越受欢迎。本研究旨在结合客观和主观参数综合评价ICL植入术的视觉效果、患者满意度和安全性。方法:这项前瞻性、介入性研究包括37例接受ICL植入术的患者67只眼。使用视力功能问卷-25 (VFQ-25)评估术前和术后不同时间点的视力、屈光结果、前房深度、ICL拱顶、内皮细胞密度、眼压和患者满意度,直至12个月。结果:术后12个月,平均未矫正距离视力改善至0.10±0.08 LogMAR,平均矫正距离视力改善至0.04±0.05 LogMAR。平均球等效度由术前的-10.57±2.22 D降至-0.10±0.25 D, 95.5%的眼睛在目标折射±0.50 D范围内。ICL平均拱顶稳定在625±80 μm,未见明显内皮细胞丢失或并发症。平均VFQ-25综合评分由术前的72.87±11.23分显著提高至术后12个月的93.39±4.68分(P < 0.001)。结论:本研究表明ICL植入术是一种安全、有效、可预测的高度近视矫正方法,具有良好的视力效果、屈光稳定性、患者满意度和生活质量的显著提高。客观和主观参数的结合提供了手术成功和患者报告结果的综合评估。
本文章由计算机程序翻译,如有差异,请以英文原文为准。

Objective and subjective outcomes following implantable collamer lens (ICL) implantation for the correction of myopia.

Objective and subjective outcomes following implantable collamer lens (ICL) implantation for the correction of myopia.

Objective and subjective outcomes following implantable collamer lens (ICL) implantation for the correction of myopia.

Objective and subjective outcomes following implantable collamer lens (ICL) implantation for the correction of myopia.

Background: Implantable collamer lens (ICL) implantation has gained popularity as a surgical option for the correction of high myopia. This study aimed to evaluate the visual outcomes, patient satisfaction, and safety of ICL implantation by combining objective and subjective parameters for a comprehensive assessment.

Methods: This prospective, interventional study included 67 eyes from 37 patients who underwent ICL implantation. Visual acuity, refractive outcomes, anterior chamber depth, ICL vault, endothelial cell density, intraocular pressure, and patient satisfaction using the Visual Function Questionnaire-25 (VFQ-25) were assessed preoperatively and at various postoperative time points up to 12 months.

Results: At 12 months postoperatively, the mean uncorrected distance visual acuity improved to 0.10 ± 0.08 LogMAR, and the mean corrected distance visual acuity improved to 0.04 ± 0.05 LogMAR. The mean spherical equivalent decreased from -10.57 ± 2.22 D preoperatively to -0.10 ± 0.25 D, with 95.5% of eyes within ±0.50 D of the target refraction. The mean ICL vault was stable at 625 ± 80 μm, and no significant endothelial cell loss or complications were observed. The mean composite VFQ-25 score improved significantly from 72.87 ± 11.23 preoperatively to 93.39 ± 4.68 at 12 months postoperatively (P < 0.001).

Conclusion: This study demonstrates that ICL implantation is a safe, effective, and predictable option for the correction of high myopia, providing excellent visual outcomes, refractive stability, and significant improvements in patient satisfaction and quality of life. The combination of objective and subjective parameters provides a comprehensive assessment of surgical success and patient-reported outcomes.

求助全文
通过发布文献求助,成功后即可免费获取论文全文。 去求助
来源期刊
Oman Journal of Ophthalmology
Oman Journal of Ophthalmology Medicine-Ophthalmology
CiteScore
0.50
自引率
0.00%
发文量
68
审稿时长
50 weeks
期刊介绍: To provide a platform for scientific expression of the Oman Ophthalmic Society and the international Ophthalmic community and to provide opportunities for free exchange of ideas and information. To serve as a valuable resource for ophthalmologists, eye-care providers including optometrists, orthoptists, other health care professionals and research workers in all aspects of the field of visual science.
×
引用
GB/T 7714-2015
复制
MLA
复制
APA
复制
导出至
BibTeX EndNote RefMan NoteFirst NoteExpress
×
提示
您的信息不完整,为了账户安全,请先补充。
现在去补充
×
提示
您因"违规操作"
具体请查看互助需知
我知道了
×
提示
确定
请完成安全验证×
copy
已复制链接
快去分享给好友吧!
我知道了
右上角分享
点击右上角分享
0
联系我们:info@booksci.cn Book学术提供免费学术资源搜索服务,方便国内外学者检索中英文文献。致力于提供最便捷和优质的服务体验。 Copyright © 2023 布克学术 All rights reserved.
京ICP备2023020795号-1
ghs 京公网安备 11010802042870号
Book学术文献互助
Book学术文献互助群
群 号:604180095
Book学术官方微信