预测老年ICU肺部感染患者MDRO感染的nomogram模型的建立与验证。

IF 3.4 3区 医学 Q2 GERIATRICS & GERONTOLOGY
Bo Wang, Suming Zhang, Lei Meng, Jingjing Feng
{"title":"预测老年ICU肺部感染患者MDRO感染的nomogram模型的建立与验证。","authors":"Bo Wang, Suming Zhang, Lei Meng, Jingjing Feng","doi":"10.1007/s40520-025-03136-y","DOIUrl":null,"url":null,"abstract":"<p><strong>Background: </strong>MDRO infections are increasingly problematic in ICUs, especially among elderly patients with lung infections, but knowledge about these infections in this group is limited. This study aimed to assess the status and risk factors of MDRO infections in elderly ICU patients and develop a risk prediction model to aid clinical decisions.</p><p><strong>Methods: </strong>Using a retrospective cohort study, a total of 494 elderly patients with lung infections admitted to the ICU from January 2017 to December 2022 were selected, and the patients were divided into the MDRO group (259) and the non-MDRO group (235) based on whether or not the patients developed MDRO infections. Lasso and multifactorial logistic regression were applied to analyze the independent risk factors for multidrug-resistant bacterial infections in elderly patients with pulmonary infections, and to construct a nomogram model of the risk of MDRO infections. The differentiation, consistency and clinical benefit of the model were evaluated by receiver operating characteristic curve(ROC), calibration curves and decision curve analysis, respectively, and the stability of the model was verified by Bootstrap method.</p><p><strong>Results: </strong>Duration of hospitalization before MDRO diagnosis, chronic obstructive pulmonary disease, personal history of cerebrovascular disease, tracheotomy and prior carbapenem exposure were found to be independent risk factors for multidrug-resistant bacterial infections in elderly patients with pulmonary infections in the intensive care unit (all p < 0.05). The nomogram model, constructed based on the results of logistic regression analysis, exhibited an area under the ROC curve of 0.748 with a 95% confidence interval of 0.705-0.790. The Hosmer-Lemeshow test indicated that the model predicted a good fit (p = 0.75), and the DCA curve suggested that the model had a good clinical utility.</p><p><strong>Conclusion: </strong>Risk prediction model is effective in predicting the risk of MDRO infection in the ICU elderly pulmonary infection population and can be used to assess risk and inform preventive treatment and nursing interventions.</p>","PeriodicalId":7720,"journal":{"name":"Aging Clinical and Experimental Research","volume":"37 1","pages":"218"},"PeriodicalIF":3.4000,"publicationDate":"2025-07-16","publicationTypes":"Journal Article","fieldsOfStudy":null,"isOpenAccess":false,"openAccessPdf":"https://www.ncbi.nlm.nih.gov/pmc/articles/PMC12267347/pdf/","citationCount":"0","resultStr":"{\"title\":\"Development and validation of a nomogram model for predicting MDRO infections in elderly ICU patients with pulmonary infections.\",\"authors\":\"Bo Wang, Suming Zhang, Lei Meng, Jingjing Feng\",\"doi\":\"10.1007/s40520-025-03136-y\",\"DOIUrl\":null,\"url\":null,\"abstract\":\"<p><strong>Background: </strong>MDRO infections are increasingly problematic in ICUs, especially among elderly patients with lung infections, but knowledge about these infections in this group is limited. This study aimed to assess the status and risk factors of MDRO infections in elderly ICU patients and develop a risk prediction model to aid clinical decisions.</p><p><strong>Methods: </strong>Using a retrospective cohort study, a total of 494 elderly patients with lung infections admitted to the ICU from January 2017 to December 2022 were selected, and the patients were divided into the MDRO group (259) and the non-MDRO group (235) based on whether or not the patients developed MDRO infections. Lasso and multifactorial logistic regression were applied to analyze the independent risk factors for multidrug-resistant bacterial infections in elderly patients with pulmonary infections, and to construct a nomogram model of the risk of MDRO infections. The differentiation, consistency and clinical benefit of the model were evaluated by receiver operating characteristic curve(ROC), calibration curves and decision curve analysis, respectively, and the stability of the model was verified by Bootstrap method.</p><p><strong>Results: </strong>Duration of hospitalization before MDRO diagnosis, chronic obstructive pulmonary disease, personal history of cerebrovascular disease, tracheotomy and prior carbapenem exposure were found to be independent risk factors for multidrug-resistant bacterial infections in elderly patients with pulmonary infections in the intensive care unit (all p < 0.05). The nomogram model, constructed based on the results of logistic regression analysis, exhibited an area under the ROC curve of 0.748 with a 95% confidence interval of 0.705-0.790. The Hosmer-Lemeshow test indicated that the model predicted a good fit (p = 0.75), and the DCA curve suggested that the model had a good clinical utility.</p><p><strong>Conclusion: </strong>Risk prediction model is effective in predicting the risk of MDRO infection in the ICU elderly pulmonary infection population and can be used to assess risk and inform preventive treatment and nursing interventions.</p>\",\"PeriodicalId\":7720,\"journal\":{\"name\":\"Aging Clinical and Experimental Research\",\"volume\":\"37 1\",\"pages\":\"218\"},\"PeriodicalIF\":3.4000,\"publicationDate\":\"2025-07-16\",\"publicationTypes\":\"Journal Article\",\"fieldsOfStudy\":null,\"isOpenAccess\":false,\"openAccessPdf\":\"https://www.ncbi.nlm.nih.gov/pmc/articles/PMC12267347/pdf/\",\"citationCount\":\"0\",\"resultStr\":null,\"platform\":\"Semanticscholar\",\"paperid\":null,\"PeriodicalName\":\"Aging Clinical and Experimental Research\",\"FirstCategoryId\":\"3\",\"ListUrlMain\":\"https://doi.org/10.1007/s40520-025-03136-y\",\"RegionNum\":3,\"RegionCategory\":\"医学\",\"ArticlePicture\":[],\"TitleCN\":null,\"AbstractTextCN\":null,\"PMCID\":null,\"EPubDate\":\"\",\"PubModel\":\"\",\"JCR\":\"Q2\",\"JCRName\":\"GERIATRICS & GERONTOLOGY\",\"Score\":null,\"Total\":0}","platform":"Semanticscholar","paperid":null,"PeriodicalName":"Aging Clinical and Experimental Research","FirstCategoryId":"3","ListUrlMain":"https://doi.org/10.1007/s40520-025-03136-y","RegionNum":3,"RegionCategory":"医学","ArticlePicture":[],"TitleCN":null,"AbstractTextCN":null,"PMCID":null,"EPubDate":"","PubModel":"","JCR":"Q2","JCRName":"GERIATRICS & GERONTOLOGY","Score":null,"Total":0}
引用次数: 0

摘要

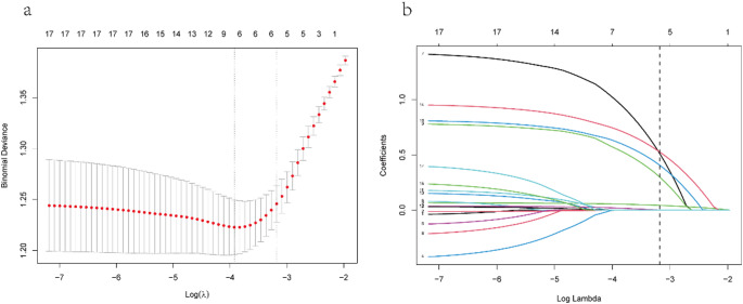
背景:MDRO感染在icu中越来越成问题,特别是在老年肺部感染患者中,但对这一群体的感染了解有限。本研究旨在评估老年ICU患者MDRO感染的现状及危险因素,并建立风险预测模型,以辅助临床决策。方法:采用回顾性队列研究方法,选取2017年1月至2022年12月ICU住院的老年肺部感染患者494例,根据患者是否发生MDRO感染分为MDRO组(259例)和非MDRO组(235例)。应用Lasso和多因素logistic回归分析老年肺部感染患者多重耐药细菌感染的独立危险因素,构建多重耐药细菌感染风险的nomogram模型。分别采用受试者工作特征曲线(ROC)、校准曲线和决策曲线分析评价模型的差异性、一致性和临床获益,并采用Bootstrap方法验证模型的稳定性。结果:MDRO诊断前住院时间、慢性阻塞性肺疾病、个人脑血管病史、气管切开术和既往碳青霉烯暴露是重症监护病房老年肺部感染患者多药耐药细菌感染的独立危险因素(均p)。风险预测模型可有效预测ICU老年肺部感染人群MDRO感染风险,可用于风险评估,为预防治疗和护理干预提供依据。
本文章由计算机程序翻译,如有差异,请以英文原文为准。

Development and validation of a nomogram model for predicting MDRO infections in elderly ICU patients with pulmonary infections.

Development and validation of a nomogram model for predicting MDRO infections in elderly ICU patients with pulmonary infections.

Development and validation of a nomogram model for predicting MDRO infections in elderly ICU patients with pulmonary infections.

Development and validation of a nomogram model for predicting MDRO infections in elderly ICU patients with pulmonary infections.

Background: MDRO infections are increasingly problematic in ICUs, especially among elderly patients with lung infections, but knowledge about these infections in this group is limited. This study aimed to assess the status and risk factors of MDRO infections in elderly ICU patients and develop a risk prediction model to aid clinical decisions.

Methods: Using a retrospective cohort study, a total of 494 elderly patients with lung infections admitted to the ICU from January 2017 to December 2022 were selected, and the patients were divided into the MDRO group (259) and the non-MDRO group (235) based on whether or not the patients developed MDRO infections. Lasso and multifactorial logistic regression were applied to analyze the independent risk factors for multidrug-resistant bacterial infections in elderly patients with pulmonary infections, and to construct a nomogram model of the risk of MDRO infections. The differentiation, consistency and clinical benefit of the model were evaluated by receiver operating characteristic curve(ROC), calibration curves and decision curve analysis, respectively, and the stability of the model was verified by Bootstrap method.

Results: Duration of hospitalization before MDRO diagnosis, chronic obstructive pulmonary disease, personal history of cerebrovascular disease, tracheotomy and prior carbapenem exposure were found to be independent risk factors for multidrug-resistant bacterial infections in elderly patients with pulmonary infections in the intensive care unit (all p < 0.05). The nomogram model, constructed based on the results of logistic regression analysis, exhibited an area under the ROC curve of 0.748 with a 95% confidence interval of 0.705-0.790. The Hosmer-Lemeshow test indicated that the model predicted a good fit (p = 0.75), and the DCA curve suggested that the model had a good clinical utility.

Conclusion: Risk prediction model is effective in predicting the risk of MDRO infection in the ICU elderly pulmonary infection population and can be used to assess risk and inform preventive treatment and nursing interventions.

求助全文
通过发布文献求助,成功后即可免费获取论文全文。 去求助
来源期刊
CiteScore
7.90
自引率
5.00%
发文量
283
审稿时长
1 months
期刊介绍: Aging clinical and experimental research offers a multidisciplinary forum on the progressing field of gerontology and geriatrics. The areas covered by the journal include: biogerontology, neurosciences, epidemiology, clinical gerontology and geriatric assessment, social, economical and behavioral gerontology. “Aging clinical and experimental research” appears bimonthly and publishes review articles, original papers and case reports.
×
引用
GB/T 7714-2015
复制
MLA
复制
APA
复制
导出至
BibTeX EndNote RefMan NoteFirst NoteExpress
×
提示
您的信息不完整,为了账户安全,请先补充。
现在去补充
×
提示
您因"违规操作"
具体请查看互助需知
我知道了
×
提示
确定
请完成安全验证×
copy
已复制链接
快去分享给好友吧!
我知道了
右上角分享
点击右上角分享
0
联系我们:info@booksci.cn Book学术提供免费学术资源搜索服务,方便国内外学者检索中英文文献。致力于提供最便捷和优质的服务体验。 Copyright © 2023 布克学术 All rights reserved.
京ICP备2023020795号-1
ghs 京公网安备 11010802042870号
Book学术文献互助
Book学术文献互助群
群 号:604180095
Book学术官方微信