老年人脚跟骨矿物质密度与痴呆的关系:来自英国生物银行的一项基于人群的研究。

IF 3.4 3区 医学 Q2 GERIATRICS & GERONTOLOGY
Jun Lu, Frank Mastaglia, Andrew Chi Pang Tai, Max K Bulsara, William G Blakeney, Charles A Inderjeeth, Minghao Zheng, Jun Yuan
{"title":"老年人脚跟骨矿物质密度与痴呆的关系:来自英国生物银行的一项基于人群的研究。","authors":"Jun Lu, Frank Mastaglia, Andrew Chi Pang Tai, Max K Bulsara, William G Blakeney, Charles A Inderjeeth, Minghao Zheng, Jun Yuan","doi":"10.1007/s40520-025-03100-w","DOIUrl":null,"url":null,"abstract":"<p><strong>Background: </strong>Osteoporosis and dementia are two common disorders mainly affecting ageing population, and heel estimated bone mineral density (eBMD) measured by quantitative ultrasound (QUS) has been demonstrated to be a reliable and non-invasive method for assessing skeletal health. The aim of this study is to determine the association between eBMD and incident dementia in older adults.</p><p><strong>Methods: </strong>This retrospective cohort study employs UK Biobank data of 131,030 adults aged ≥ 60 years without dementia at baseline. Cox proportional-hazards models were used to investigate the association between eBMD and incident dementia, with the C-index evaluating the discriminative potential of eBMD.</p><p><strong>Results: </strong>Among participants (52.1% women, median [IQR] age was 64 [62-66] years), there were 4,572 cases (3.5%) of incident dementia. Minimal model showed that participants with low eBMD (< 0.467 g/cm<sup>2</sup>) had a 14% increase in the rate of dementia incidence (HR 1.14, 95% CI 1.06-1.23; P <.001), and each standard deviation (SD) decrease in eBMD was associated with a 49% increase in dementia risk (HR 1.49, 95% CI 1.19-1.86; P <.001). Such association remained significant after further adjustment for potential confounders. Stratified analyses revealed that lower eBMD increased dementia risk in male participants (HR 1.17, 95% CI 1.06-1.31; P =.003) and in participants with neutral (HR 1.18, 95% CI 1.05-1.33; P =.007) or low genetic risk (HR 1.36, 95% CI 1.01-1.83; P =.04). Sensitivity analyses showed similar results. However, discriminative analyses showed minimal improvement after adding eBMD to dementia prediction models.</p><p><strong>Conclusion: </strong>Lower heel eBMD is independently associated with increased dementia risk among older adults.</p>","PeriodicalId":7720,"journal":{"name":"Aging Clinical and Experimental Research","volume":"37 1","pages":"217"},"PeriodicalIF":3.4000,"publicationDate":"2025-07-16","publicationTypes":"Journal Article","fieldsOfStudy":null,"isOpenAccess":false,"openAccessPdf":"https://www.ncbi.nlm.nih.gov/pmc/articles/PMC12267336/pdf/","citationCount":"0","resultStr":"{\"title\":\"Association of heel bone mineral density with incident dementia among ageing adults: a population-based study from the UK Biobank.\",\"authors\":\"Jun Lu, Frank Mastaglia, Andrew Chi Pang Tai, Max K Bulsara, William G Blakeney, Charles A Inderjeeth, Minghao Zheng, Jun Yuan\",\"doi\":\"10.1007/s40520-025-03100-w\",\"DOIUrl\":null,\"url\":null,\"abstract\":\"<p><strong>Background: </strong>Osteoporosis and dementia are two common disorders mainly affecting ageing population, and heel estimated bone mineral density (eBMD) measured by quantitative ultrasound (QUS) has been demonstrated to be a reliable and non-invasive method for assessing skeletal health. The aim of this study is to determine the association between eBMD and incident dementia in older adults.</p><p><strong>Methods: </strong>This retrospective cohort study employs UK Biobank data of 131,030 adults aged ≥ 60 years without dementia at baseline. Cox proportional-hazards models were used to investigate the association between eBMD and incident dementia, with the C-index evaluating the discriminative potential of eBMD.</p><p><strong>Results: </strong>Among participants (52.1% women, median [IQR] age was 64 [62-66] years), there were 4,572 cases (3.5%) of incident dementia. Minimal model showed that participants with low eBMD (< 0.467 g/cm<sup>2</sup>) had a 14% increase in the rate of dementia incidence (HR 1.14, 95% CI 1.06-1.23; P <.001), and each standard deviation (SD) decrease in eBMD was associated with a 49% increase in dementia risk (HR 1.49, 95% CI 1.19-1.86; P <.001). Such association remained significant after further adjustment for potential confounders. Stratified analyses revealed that lower eBMD increased dementia risk in male participants (HR 1.17, 95% CI 1.06-1.31; P =.003) and in participants with neutral (HR 1.18, 95% CI 1.05-1.33; P =.007) or low genetic risk (HR 1.36, 95% CI 1.01-1.83; P =.04). Sensitivity analyses showed similar results. However, discriminative analyses showed minimal improvement after adding eBMD to dementia prediction models.</p><p><strong>Conclusion: </strong>Lower heel eBMD is independently associated with increased dementia risk among older adults.</p>\",\"PeriodicalId\":7720,\"journal\":{\"name\":\"Aging Clinical and Experimental Research\",\"volume\":\"37 1\",\"pages\":\"217\"},\"PeriodicalIF\":3.4000,\"publicationDate\":\"2025-07-16\",\"publicationTypes\":\"Journal Article\",\"fieldsOfStudy\":null,\"isOpenAccess\":false,\"openAccessPdf\":\"https://www.ncbi.nlm.nih.gov/pmc/articles/PMC12267336/pdf/\",\"citationCount\":\"0\",\"resultStr\":null,\"platform\":\"Semanticscholar\",\"paperid\":null,\"PeriodicalName\":\"Aging Clinical and Experimental Research\",\"FirstCategoryId\":\"3\",\"ListUrlMain\":\"https://doi.org/10.1007/s40520-025-03100-w\",\"RegionNum\":3,\"RegionCategory\":\"医学\",\"ArticlePicture\":[],\"TitleCN\":null,\"AbstractTextCN\":null,\"PMCID\":null,\"EPubDate\":\"\",\"PubModel\":\"\",\"JCR\":\"Q2\",\"JCRName\":\"GERIATRICS & GERONTOLOGY\",\"Score\":null,\"Total\":0}","platform":"Semanticscholar","paperid":null,"PeriodicalName":"Aging Clinical and Experimental Research","FirstCategoryId":"3","ListUrlMain":"https://doi.org/10.1007/s40520-025-03100-w","RegionNum":3,"RegionCategory":"医学","ArticlePicture":[],"TitleCN":null,"AbstractTextCN":null,"PMCID":null,"EPubDate":"","PubModel":"","JCR":"Q2","JCRName":"GERIATRICS & GERONTOLOGY","Score":null,"Total":0}
引用次数: 0

摘要

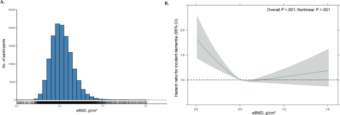
背景:骨质疏松症和痴呆是影响老年人群的两种常见疾病,定量超声(QUS)测量足跟骨矿物质密度(eBMD)已被证明是评估骨骼健康的一种可靠且无创的方法。本研究的目的是确定eBMD与老年人痴呆发生率之间的关系。方法:这项回顾性队列研究采用英国生物银行131,030名年龄≥60岁无痴呆的成年人的数据。使用Cox比例风险模型来研究eBMD与痴呆发生率之间的关系,并用c指数评估eBMD的判别潜力。结果:在参与者中(52.1%为女性,中位[IQR]年龄为64[62-66]岁),有4,572例(3.5%)发生痴呆。最小模型显示,低eBMD(2)的参与者痴呆发病率增加14% (HR 1.14, 95% CI 1.06-1.23;结论:在老年人中,低跟eBMD与痴呆风险增加独立相关。
本文章由计算机程序翻译,如有差异,请以英文原文为准。

Association of heel bone mineral density with incident dementia among ageing adults: a population-based study from the UK Biobank.

Association of heel bone mineral density with incident dementia among ageing adults: a population-based study from the UK Biobank.

Association of heel bone mineral density with incident dementia among ageing adults: a population-based study from the UK Biobank.

Association of heel bone mineral density with incident dementia among ageing adults: a population-based study from the UK Biobank.

Background: Osteoporosis and dementia are two common disorders mainly affecting ageing population, and heel estimated bone mineral density (eBMD) measured by quantitative ultrasound (QUS) has been demonstrated to be a reliable and non-invasive method for assessing skeletal health. The aim of this study is to determine the association between eBMD and incident dementia in older adults.

Methods: This retrospective cohort study employs UK Biobank data of 131,030 adults aged ≥ 60 years without dementia at baseline. Cox proportional-hazards models were used to investigate the association between eBMD and incident dementia, with the C-index evaluating the discriminative potential of eBMD.

Results: Among participants (52.1% women, median [IQR] age was 64 [62-66] years), there were 4,572 cases (3.5%) of incident dementia. Minimal model showed that participants with low eBMD (< 0.467 g/cm2) had a 14% increase in the rate of dementia incidence (HR 1.14, 95% CI 1.06-1.23; P <.001), and each standard deviation (SD) decrease in eBMD was associated with a 49% increase in dementia risk (HR 1.49, 95% CI 1.19-1.86; P <.001). Such association remained significant after further adjustment for potential confounders. Stratified analyses revealed that lower eBMD increased dementia risk in male participants (HR 1.17, 95% CI 1.06-1.31; P =.003) and in participants with neutral (HR 1.18, 95% CI 1.05-1.33; P =.007) or low genetic risk (HR 1.36, 95% CI 1.01-1.83; P =.04). Sensitivity analyses showed similar results. However, discriminative analyses showed minimal improvement after adding eBMD to dementia prediction models.

Conclusion: Lower heel eBMD is independently associated with increased dementia risk among older adults.

求助全文
通过发布文献求助,成功后即可免费获取论文全文。 去求助
来源期刊
CiteScore
7.90
自引率
5.00%
发文量
283
审稿时长
1 months
期刊介绍: Aging clinical and experimental research offers a multidisciplinary forum on the progressing field of gerontology and geriatrics. The areas covered by the journal include: biogerontology, neurosciences, epidemiology, clinical gerontology and geriatric assessment, social, economical and behavioral gerontology. “Aging clinical and experimental research” appears bimonthly and publishes review articles, original papers and case reports.
×
引用
GB/T 7714-2015
复制
MLA
复制
APA
复制
导出至
BibTeX EndNote RefMan NoteFirst NoteExpress
×
提示
您的信息不完整,为了账户安全,请先补充。
现在去补充
×
提示
您因"违规操作"
具体请查看互助需知
我知道了
×
提示
确定
请完成安全验证×
copy
已复制链接
快去分享给好友吧!
我知道了
右上角分享
点击右上角分享
0
联系我们:info@booksci.cn Book学术提供免费学术资源搜索服务,方便国内外学者检索中英文文献。致力于提供最便捷和优质的服务体验。 Copyright © 2023 布克学术 All rights reserved.
京ICP备2023020795号-1
ghs 京公网安备 11010802042870号
Book学术文献互助
Book学术文献互助群
群 号:604180095
Book学术官方微信