非小细胞肺癌中新的激酶激活基因事件。

Q3 Medicine
Exploration of targeted anti-tumor therapy Pub Date : 2025-07-09 eCollection Date: 2025-01-01 DOI:10.37349/etat.2025.1002330
Elena V Preobrazhenskaya, Rimma S Mulkidjan, Fyodor A Zagrebin, Alexandr A Romanko, Evgeniya S Saitova, Polina R Korzun, Jeyla O Binnatova, Vladislav I Tiurin, Ilya V Bizin, Evgeny N Imyanitov
{"title":"非小细胞肺癌中新的激酶激活基因事件。","authors":"Elena V Preobrazhenskaya, Rimma S Mulkidjan, Fyodor A Zagrebin, Alexandr A Romanko, Evgeniya S Saitova, Polina R Korzun, Jeyla O Binnatova, Vladislav I Tiurin, Ilya V Bizin, Evgeny N Imyanitov","doi":"10.37349/etat.2025.1002330","DOIUrl":null,"url":null,"abstract":"<p><strong>Aim: </strong>This study aimed at the identification of new druggable alterations in non-small cell lung carcinomas (NSCLCs).</p><p><strong>Methods: </strong>RNA next generation sequencing (NGS) analysis for 650 protein kinase genes was performed for 89 NSCLCs obtained from young-onset and/or female non-smokers, who were negative for activating events involving <i>EGFR</i>, <i>ALK</i>, <i>ROS1</i>, <i>RET</i>, <i>MET</i>, <i>NTRK1/2/3</i>, <i>BRAF</i>, <i>HER2</i>, <i>KRAS</i>, or <i>NRAS</i> genes.</p><p><strong>Results: </strong>RNA sequencing identified 32 in-frame rearrangements, including 9 instances of fully preserved and 8 tumors with partially preserved tyrosine kinase domains. These 17 translocations were further analyzed in 1,059 mutation-negative NSCLCs, which resulted in the identification of two additional tumors with <i>ADK</i>::<i>KAT6B</i> rearrangement and one carcinoma carrying <i>RPS6KB1</i>::<i>VMP1</i> fusion. The recently reported <i>CLIP1</i>::<i>LTK</i> gene fusion was tested in 2,754 NSCLCs, which were negative for all known actionable mutations, however, no new instances of this translocation have been observed. We further analyzed RNA sequencing results of 89 NSCLCs for mutations affecting the kinase domain of the involved gene. There were 53 substitutions with a combined annotation dependent depletion (CADD) score above 25; all these lesions turned out to be unique, as the analysis of 551 additional NSCLCs revealed no recurrent alterations. <i>ROS1</i>, <i>LTK</i>, and <i>FGFR4</i> high-level overexpression was observed in 1 out of 89 tumors each.</p><p><strong>Conclusions: </strong>This study demonstrates the scarcity of yet unknown kinase-activating alterations in NSCLCs.</p>","PeriodicalId":73002,"journal":{"name":"Exploration of targeted anti-tumor therapy","volume":"6 ","pages":"1002330"},"PeriodicalIF":0.0000,"publicationDate":"2025-07-09","publicationTypes":"Journal Article","fieldsOfStudy":null,"isOpenAccess":false,"openAccessPdf":"https://www.ncbi.nlm.nih.gov/pmc/articles/PMC12256180/pdf/","citationCount":"0","resultStr":"{\"title\":\"Novel kinase-activating genetic events in non-small cell lung carcinomas.\",\"authors\":\"Elena V Preobrazhenskaya, Rimma S Mulkidjan, Fyodor A Zagrebin, Alexandr A Romanko, Evgeniya S Saitova, Polina R Korzun, Jeyla O Binnatova, Vladislav I Tiurin, Ilya V Bizin, Evgeny N Imyanitov\",\"doi\":\"10.37349/etat.2025.1002330\",\"DOIUrl\":null,\"url\":null,\"abstract\":\"<p><strong>Aim: </strong>This study aimed at the identification of new druggable alterations in non-small cell lung carcinomas (NSCLCs).</p><p><strong>Methods: </strong>RNA next generation sequencing (NGS) analysis for 650 protein kinase genes was performed for 89 NSCLCs obtained from young-onset and/or female non-smokers, who were negative for activating events involving <i>EGFR</i>, <i>ALK</i>, <i>ROS1</i>, <i>RET</i>, <i>MET</i>, <i>NTRK1/2/3</i>, <i>BRAF</i>, <i>HER2</i>, <i>KRAS</i>, or <i>NRAS</i> genes.</p><p><strong>Results: </strong>RNA sequencing identified 32 in-frame rearrangements, including 9 instances of fully preserved and 8 tumors with partially preserved tyrosine kinase domains. These 17 translocations were further analyzed in 1,059 mutation-negative NSCLCs, which resulted in the identification of two additional tumors with <i>ADK</i>::<i>KAT6B</i> rearrangement and one carcinoma carrying <i>RPS6KB1</i>::<i>VMP1</i> fusion. The recently reported <i>CLIP1</i>::<i>LTK</i> gene fusion was tested in 2,754 NSCLCs, which were negative for all known actionable mutations, however, no new instances of this translocation have been observed. We further analyzed RNA sequencing results of 89 NSCLCs for mutations affecting the kinase domain of the involved gene. There were 53 substitutions with a combined annotation dependent depletion (CADD) score above 25; all these lesions turned out to be unique, as the analysis of 551 additional NSCLCs revealed no recurrent alterations. <i>ROS1</i>, <i>LTK</i>, and <i>FGFR4</i> high-level overexpression was observed in 1 out of 89 tumors each.</p><p><strong>Conclusions: </strong>This study demonstrates the scarcity of yet unknown kinase-activating alterations in NSCLCs.</p>\",\"PeriodicalId\":73002,\"journal\":{\"name\":\"Exploration of targeted anti-tumor therapy\",\"volume\":\"6 \",\"pages\":\"1002330\"},\"PeriodicalIF\":0.0000,\"publicationDate\":\"2025-07-09\",\"publicationTypes\":\"Journal Article\",\"fieldsOfStudy\":null,\"isOpenAccess\":false,\"openAccessPdf\":\"https://www.ncbi.nlm.nih.gov/pmc/articles/PMC12256180/pdf/\",\"citationCount\":\"0\",\"resultStr\":null,\"platform\":\"Semanticscholar\",\"paperid\":null,\"PeriodicalName\":\"Exploration of targeted anti-tumor therapy\",\"FirstCategoryId\":\"1085\",\"ListUrlMain\":\"https://doi.org/10.37349/etat.2025.1002330\",\"RegionNum\":0,\"RegionCategory\":null,\"ArticlePicture\":[],\"TitleCN\":null,\"AbstractTextCN\":null,\"PMCID\":null,\"EPubDate\":\"2025/1/1 0:00:00\",\"PubModel\":\"eCollection\",\"JCR\":\"Q3\",\"JCRName\":\"Medicine\",\"Score\":null,\"Total\":0}","platform":"Semanticscholar","paperid":null,"PeriodicalName":"Exploration of targeted anti-tumor therapy","FirstCategoryId":"1085","ListUrlMain":"https://doi.org/10.37349/etat.2025.1002330","RegionNum":0,"RegionCategory":null,"ArticlePicture":[],"TitleCN":null,"AbstractTextCN":null,"PMCID":null,"EPubDate":"2025/1/1 0:00:00","PubModel":"eCollection","JCR":"Q3","JCRName":"Medicine","Score":null,"Total":0}
引用次数: 0

摘要

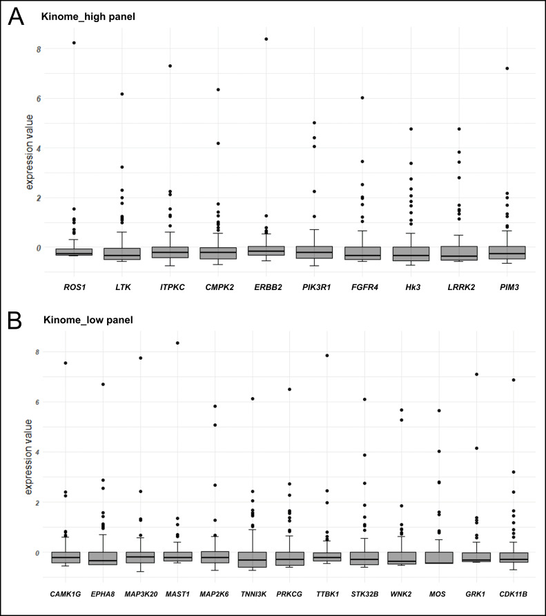
目的:本研究旨在鉴定非小细胞肺癌(nsclc)中新的可药物改变。方法:对来自年轻发病和/或女性非吸烟者的89例nsclc进行650个蛋白激酶基因的RNA下一代测序(NGS)分析,这些nsclc的EGFR、ALK、ROS1、RET、MET、NTRK1/2/3、BRAF、HER2、KRAS或NRAS基因的激活事件均为阴性。结果:RNA测序鉴定出32个帧内重排,包括9个完全保存的肿瘤和8个部分保存的酪氨酸激酶结构域。在1059例突变阴性的非小细胞肺癌中进一步分析了这17个易位,结果鉴定出另外两个ADK::KAT6B重排的肿瘤和一个携带RPS6KB1::VMP1融合的肿瘤。最近报道的CLIP1::LTK基因融合在2,754例非小细胞肺癌中进行了测试,所有已知的可操作突变均为阴性,然而,没有观察到这种易位的新实例。我们进一步分析了89例非小细胞肺癌的RNA测序结果,以寻找影响相关基因激酶结构域的突变。注释依赖缺失(CADD)总分大于25分的替换有53个;所有这些病变都是独特的,因为对551例非小细胞肺癌的分析显示没有复发性改变。89例肿瘤中各有1例观察到ROS1、LTK和FGFR4的高水平过表达。结论:本研究表明在非小细胞肺癌中缺乏未知的激酶激活改变。
本文章由计算机程序翻译,如有差异,请以英文原文为准。

Novel kinase-activating genetic events in non-small cell lung carcinomas.

Novel kinase-activating genetic events in non-small cell lung carcinomas.

Aim: This study aimed at the identification of new druggable alterations in non-small cell lung carcinomas (NSCLCs).

Methods: RNA next generation sequencing (NGS) analysis for 650 protein kinase genes was performed for 89 NSCLCs obtained from young-onset and/or female non-smokers, who were negative for activating events involving EGFR, ALK, ROS1, RET, MET, NTRK1/2/3, BRAF, HER2, KRAS, or NRAS genes.

Results: RNA sequencing identified 32 in-frame rearrangements, including 9 instances of fully preserved and 8 tumors with partially preserved tyrosine kinase domains. These 17 translocations were further analyzed in 1,059 mutation-negative NSCLCs, which resulted in the identification of two additional tumors with ADK::KAT6B rearrangement and one carcinoma carrying RPS6KB1::VMP1 fusion. The recently reported CLIP1::LTK gene fusion was tested in 2,754 NSCLCs, which were negative for all known actionable mutations, however, no new instances of this translocation have been observed. We further analyzed RNA sequencing results of 89 NSCLCs for mutations affecting the kinase domain of the involved gene. There were 53 substitutions with a combined annotation dependent depletion (CADD) score above 25; all these lesions turned out to be unique, as the analysis of 551 additional NSCLCs revealed no recurrent alterations. ROS1, LTK, and FGFR4 high-level overexpression was observed in 1 out of 89 tumors each.

Conclusions: This study demonstrates the scarcity of yet unknown kinase-activating alterations in NSCLCs.

求助全文
通过发布文献求助,成功后即可免费获取论文全文。 去求助
来源期刊
CiteScore
2.80
自引率
0.00%
发文量
0
审稿时长
13 weeks
×
引用
GB/T 7714-2015
复制
MLA
复制
APA
复制
导出至
BibTeX EndNote RefMan NoteFirst NoteExpress
×
提示
您的信息不完整,为了账户安全,请先补充。
现在去补充
×
提示
您因"违规操作"
具体请查看互助需知
我知道了
×
提示
确定
请完成安全验证×
copy
已复制链接
快去分享给好友吧!
我知道了
右上角分享
点击右上角分享
0
联系我们:info@booksci.cn Book学术提供免费学术资源搜索服务,方便国内外学者检索中英文文献。致力于提供最便捷和优质的服务体验。 Copyright © 2023 布克学术 All rights reserved.
京ICP备2023020795号-1
ghs 京公网安备 11010802042870号
Book学术文献互助
Book学术文献互助群
群 号:604180095
Book学术官方微信