单侧耳聋听者人工耳蜗植入性能降低:与双侧听者的比较。

IF 2.3 3区 医学 Q3 NEUROSCIENCES
Charlotte Jeppsen, Bob McMurray
{"title":"单侧耳聋听者人工耳蜗植入性能降低:与双侧听者的比较。","authors":"Charlotte Jeppsen, Bob McMurray","doi":"10.1007/s10162-025-01001-3","DOIUrl":null,"url":null,"abstract":"<p><strong>Purpose: </strong>The efficacy of the Cochlear Implant (CI) in listeners with single-sided deafness (SSD) was evaluated by comparing single-ear speech perception in SSD listeners and bilateral cochlear implant listeners (BCI).</p><p><strong>Methods: </strong>Consonant-nucleus-consonant (CNC) speech perception scores for the CI-only ear in SSD listeners (N = 55; 36 female, 19 male) were compared to single-ear performance in age and device experience-matched BCI listeners (N = 55; 29 female, 26 male). Separate analyses examined: (1) a matched ear from the BCI listeners (for sequentially implanted BCI listeners, the first-implanted ear in sequential BCI listeners, or, for simultaneously implanted BCI listeners, the ear on the same side as the CI in the matching SSD listener), and (2) the lower-performing ear across BCI listeners. Additional models included moderators such as age, time since activation, CI usage, and etiology. A final analysis compared first and second implants for sequential BCI listeners.</p><p><strong>Results: </strong>SSD listeners showed significantly lower CNC performance after controlling for age, time since activation, CI usage, and etiology. Sequential BCI listeners exhibited significantly lower CNC performance on their second ear, compared to their first ear.</p><p><strong>Conclusion: </strong>Speech perception with CIs is reduced in SSD listeners compared to BCI users, likely due to blocking, where the normal-hearing ear diminishes reliance on the CI. Lower performance in the second implanted ear of sequential BCI listeners also suggests greater reliance on the more experienced ear. These findings highlight the need for additional training, resources, and support to optimize CI performance in SSD listeners, despite prior evidence of positive CNC outcomes.</p>","PeriodicalId":56283,"journal":{"name":"Jaro-Journal of the Association for Research in Otolaryngology","volume":" ","pages":"477-489"},"PeriodicalIF":2.3000,"publicationDate":"2025-08-01","publicationTypes":"Journal Article","fieldsOfStudy":null,"isOpenAccess":false,"openAccessPdf":"https://www.ncbi.nlm.nih.gov/pmc/articles/PMC12411351/pdf/","citationCount":"0","resultStr":"{\"title\":\"Reduced Cochlear Implant Performance in Listeners with Single-Sided Deafness: Comparison with Bilateral Listeners.\",\"authors\":\"Charlotte Jeppsen, Bob McMurray\",\"doi\":\"10.1007/s10162-025-01001-3\",\"DOIUrl\":null,\"url\":null,\"abstract\":\"<p><strong>Purpose: </strong>The efficacy of the Cochlear Implant (CI) in listeners with single-sided deafness (SSD) was evaluated by comparing single-ear speech perception in SSD listeners and bilateral cochlear implant listeners (BCI).</p><p><strong>Methods: </strong>Consonant-nucleus-consonant (CNC) speech perception scores for the CI-only ear in SSD listeners (N = 55; 36 female, 19 male) were compared to single-ear performance in age and device experience-matched BCI listeners (N = 55; 29 female, 26 male). Separate analyses examined: (1) a matched ear from the BCI listeners (for sequentially implanted BCI listeners, the first-implanted ear in sequential BCI listeners, or, for simultaneously implanted BCI listeners, the ear on the same side as the CI in the matching SSD listener), and (2) the lower-performing ear across BCI listeners. Additional models included moderators such as age, time since activation, CI usage, and etiology. A final analysis compared first and second implants for sequential BCI listeners.</p><p><strong>Results: </strong>SSD listeners showed significantly lower CNC performance after controlling for age, time since activation, CI usage, and etiology. Sequential BCI listeners exhibited significantly lower CNC performance on their second ear, compared to their first ear.</p><p><strong>Conclusion: </strong>Speech perception with CIs is reduced in SSD listeners compared to BCI users, likely due to blocking, where the normal-hearing ear diminishes reliance on the CI. Lower performance in the second implanted ear of sequential BCI listeners also suggests greater reliance on the more experienced ear. These findings highlight the need for additional training, resources, and support to optimize CI performance in SSD listeners, despite prior evidence of positive CNC outcomes.</p>\",\"PeriodicalId\":56283,\"journal\":{\"name\":\"Jaro-Journal of the Association for Research in Otolaryngology\",\"volume\":\" \",\"pages\":\"477-489\"},\"PeriodicalIF\":2.3000,\"publicationDate\":\"2025-08-01\",\"publicationTypes\":\"Journal Article\",\"fieldsOfStudy\":null,\"isOpenAccess\":false,\"openAccessPdf\":\"https://www.ncbi.nlm.nih.gov/pmc/articles/PMC12411351/pdf/\",\"citationCount\":\"0\",\"resultStr\":null,\"platform\":\"Semanticscholar\",\"paperid\":null,\"PeriodicalName\":\"Jaro-Journal of the Association for Research in Otolaryngology\",\"FirstCategoryId\":\"3\",\"ListUrlMain\":\"https://doi.org/10.1007/s10162-025-01001-3\",\"RegionNum\":3,\"RegionCategory\":\"医学\",\"ArticlePicture\":[],\"TitleCN\":null,\"AbstractTextCN\":null,\"PMCID\":null,\"EPubDate\":\"2025/7/14 0:00:00\",\"PubModel\":\"Epub\",\"JCR\":\"Q3\",\"JCRName\":\"NEUROSCIENCES\",\"Score\":null,\"Total\":0}","platform":"Semanticscholar","paperid":null,"PeriodicalName":"Jaro-Journal of the Association for Research in Otolaryngology","FirstCategoryId":"3","ListUrlMain":"https://doi.org/10.1007/s10162-025-01001-3","RegionNum":3,"RegionCategory":"医学","ArticlePicture":[],"TitleCN":null,"AbstractTextCN":null,"PMCID":null,"EPubDate":"2025/7/14 0:00:00","PubModel":"Epub","JCR":"Q3","JCRName":"NEUROSCIENCES","Score":null,"Total":0}
引用次数: 0

摘要

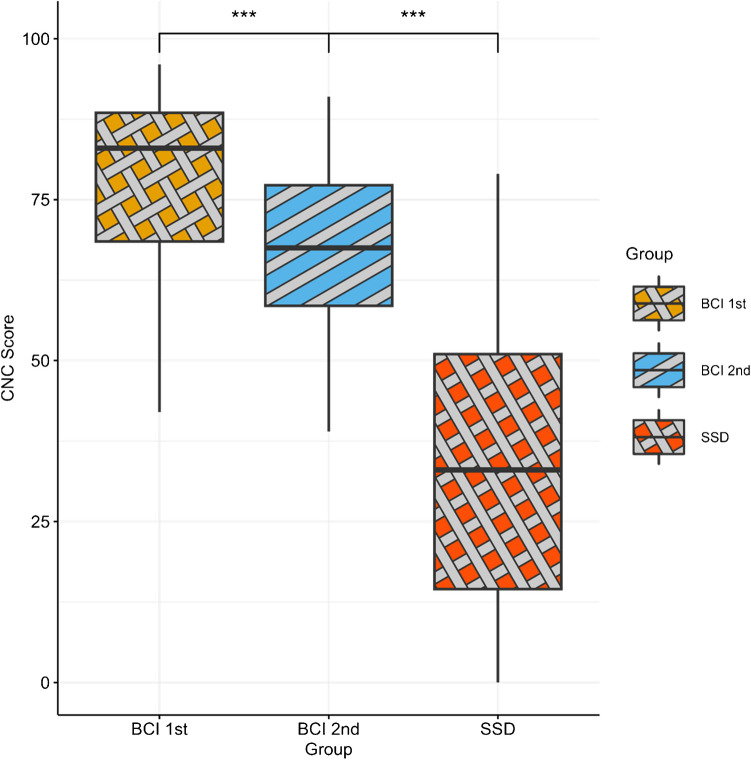
目的:通过比较单侧耳聋(SSD)听者单耳语音感知与双侧耳蜗听者(BCI)的差异,评价人工耳蜗(CI)对单侧耳聋(SSD)听者的疗效。方法:采用辅音-核-辅音(CNC)语音感知评分方法对SSD听者进行听力测试(N = 55;36名女性,19名男性)与年龄和设备经验匹配的BCI听者的单耳表现进行比较(N = 55;29名女性,26名男性)。单独的分析检查:(1)BCI侦听器的匹配耳朵(对于顺序植入的BCI侦听器,顺序植入的BCI侦听器中的第一个植入的耳朵,或者,对于同时植入的BCI侦听器,与匹配的SSD侦听器中的CI在同一侧的耳朵),以及(2)BCI侦听器中表现较差的耳朵。其他模型包括调节因子,如年龄、激活时间、CI使用和病因。最后的分析比较了连续BCI听器的第一次和第二次植入。结果:在控制了年龄、激活时间、CI使用和病因后,SSD听众的CNC性能显著降低。顺序BCI听者在其第二只耳朵上的CNC表现明显低于第一只耳朵。结论:与BCI使用者相比,SSD听者的CI语音感知能力降低,可能是由于阻塞,正常听力的耳朵减少了对CI的依赖。连续BCI听者的第二个植入耳的较低表现也表明更依赖于更有经验的耳朵。这些发现强调了需要额外的培训、资源和支持来优化SSD监听器的CI性能,尽管之前有证据表明CNC结果是积极的。
本文章由计算机程序翻译,如有差异,请以英文原文为准。

Reduced Cochlear Implant Performance in Listeners with Single-Sided Deafness: Comparison with Bilateral Listeners.

Reduced Cochlear Implant Performance in Listeners with Single-Sided Deafness: Comparison with Bilateral Listeners.

Reduced Cochlear Implant Performance in Listeners with Single-Sided Deafness: Comparison with Bilateral Listeners.

Purpose: The efficacy of the Cochlear Implant (CI) in listeners with single-sided deafness (SSD) was evaluated by comparing single-ear speech perception in SSD listeners and bilateral cochlear implant listeners (BCI).

Methods: Consonant-nucleus-consonant (CNC) speech perception scores for the CI-only ear in SSD listeners (N = 55; 36 female, 19 male) were compared to single-ear performance in age and device experience-matched BCI listeners (N = 55; 29 female, 26 male). Separate analyses examined: (1) a matched ear from the BCI listeners (for sequentially implanted BCI listeners, the first-implanted ear in sequential BCI listeners, or, for simultaneously implanted BCI listeners, the ear on the same side as the CI in the matching SSD listener), and (2) the lower-performing ear across BCI listeners. Additional models included moderators such as age, time since activation, CI usage, and etiology. A final analysis compared first and second implants for sequential BCI listeners.

Results: SSD listeners showed significantly lower CNC performance after controlling for age, time since activation, CI usage, and etiology. Sequential BCI listeners exhibited significantly lower CNC performance on their second ear, compared to their first ear.

Conclusion: Speech perception with CIs is reduced in SSD listeners compared to BCI users, likely due to blocking, where the normal-hearing ear diminishes reliance on the CI. Lower performance in the second implanted ear of sequential BCI listeners also suggests greater reliance on the more experienced ear. These findings highlight the need for additional training, resources, and support to optimize CI performance in SSD listeners, despite prior evidence of positive CNC outcomes.

求助全文
通过发布文献求助,成功后即可免费获取论文全文。 去求助
来源期刊
CiteScore
4.10
自引率
12.50%
发文量
57
审稿时长
6-12 weeks
期刊介绍: JARO is a peer-reviewed journal that publishes research findings from disciplines related to otolaryngology and communications sciences, including hearing, balance, speech and voice. JARO welcomes submissions describing experimental research that investigates the mechanisms underlying problems of basic and/or clinical significance. Authors are encouraged to familiarize themselves with the kinds of papers carried by JARO by looking at past issues. Clinical case studies and pharmaceutical screens are not likely to be considered unless they reveal underlying mechanisms. Methods papers are not encouraged unless they include significant new findings as well. Reviews will be published at the discretion of the editorial board; consult the editor-in-chief before submitting.
×
引用
GB/T 7714-2015
复制
MLA
复制
APA
复制
导出至
BibTeX EndNote RefMan NoteFirst NoteExpress
×
提示
您的信息不完整,为了账户安全,请先补充。
现在去补充
×
提示
您因"违规操作"
具体请查看互助需知
我知道了
×
提示
确定
请完成安全验证×
copy
已复制链接
快去分享给好友吧!
我知道了
右上角分享
点击右上角分享
0
联系我们:info@booksci.cn Book学术提供免费学术资源搜索服务,方便国内外学者检索中英文文献。致力于提供最便捷和优质的服务体验。 Copyright © 2023 布克学术 All rights reserved.
京ICP备2023020795号-1
ghs 京公网安备 11010802042870号
Book学术文献互助
Book学术文献互助群
群 号:604180095
Book学术官方微信