出生和儿童代谢标志物对儿童哮喘负担的影响——一项全国性队列研究。

IF 5.8 2区 医学 Q1 Medicine
Kaitlyn Kuntzman, Kjell Erik Julius Håkansson, Charlotte Suppli Ulrik, Deepa Rastogi
{"title":"出生和儿童代谢标志物对儿童哮喘负担的影响——一项全国性队列研究。","authors":"Kaitlyn Kuntzman, Kjell Erik Julius Håkansson, Charlotte Suppli Ulrik, Deepa Rastogi","doi":"10.1186/s12931-025-03321-7","DOIUrl":null,"url":null,"abstract":"<p><strong>Background: </strong>Pediatric obesity, a risk factor for asthma, is increasing in prevalence. Obesity-mediated metabolic abnormalities are one of the mechanisms that link asthma and obesity. While maternal obesity contributes to obesity and respiratory morbidity in the child, the contribution of paternal obesity and parental metabolic abnormalities to the child's asthma is not known.</p><p><strong>Methods: </strong>To quantify the impact of parental and child's body weight and metabolic traits, including elevated HbA1c, and blood cholesterol levels based on national, age-specific cut-off values, on asthma exacerbations, control, and severity, in a Danish nationwide cohort of 29,851 children aged 2-17 years with inhaled corticosteroid-treated asthma during 2015-17.</p><p><strong>Results: </strong>Among the 29,851 children, 1,430 had severe asthma, 4,750 had poor asthma control, and 2,353 had exacerbating asthma. Elevated LDL in the child was associated with 2.2-fold higher odds of severe asthma and elevated triglycerides with 1.5-fold higher odds of exacerbating asthma, while reduced HDL was associated with 1.5-fold higher odds of poor control. Both triglycerides and HDL were associated with 1.5-fold higher odds of exacerbating asthma. Maternal parameters including elevated LDL cholesterol, triglycerides, and HbA1C were associated with 1.2 to 1.4-fold higher odds of uncontrolled asthma in the child. Elevated paternal HbA1C was associated with exacerbating asthma.</p><p><strong>Conclusion: </strong>Dyslipidemia, including elevated LDL and decreased HDL, in the child and their parents was associated with high asthma burden in a Danish pediatric cohort with persistent asthma. These observations highlight the need to investigate the underlying mechanisms driven by fat metabolism that are transgenerational.</p>","PeriodicalId":49131,"journal":{"name":"Respiratory Research","volume":"26 1","pages":"246"},"PeriodicalIF":5.8000,"publicationDate":"2025-07-14","publicationTypes":"Journal Article","fieldsOfStudy":null,"isOpenAccess":false,"openAccessPdf":"https://www.ncbi.nlm.nih.gov/pmc/articles/PMC12261825/pdf/","citationCount":"0","resultStr":"{\"title\":\"Impact of natal and childhood metabolic markers on childhood asthma burden - a nationwide cohort study.\",\"authors\":\"Kaitlyn Kuntzman, Kjell Erik Julius Håkansson, Charlotte Suppli Ulrik, Deepa Rastogi\",\"doi\":\"10.1186/s12931-025-03321-7\",\"DOIUrl\":null,\"url\":null,\"abstract\":\"<p><strong>Background: </strong>Pediatric obesity, a risk factor for asthma, is increasing in prevalence. Obesity-mediated metabolic abnormalities are one of the mechanisms that link asthma and obesity. While maternal obesity contributes to obesity and respiratory morbidity in the child, the contribution of paternal obesity and parental metabolic abnormalities to the child's asthma is not known.</p><p><strong>Methods: </strong>To quantify the impact of parental and child's body weight and metabolic traits, including elevated HbA1c, and blood cholesterol levels based on national, age-specific cut-off values, on asthma exacerbations, control, and severity, in a Danish nationwide cohort of 29,851 children aged 2-17 years with inhaled corticosteroid-treated asthma during 2015-17.</p><p><strong>Results: </strong>Among the 29,851 children, 1,430 had severe asthma, 4,750 had poor asthma control, and 2,353 had exacerbating asthma. Elevated LDL in the child was associated with 2.2-fold higher odds of severe asthma and elevated triglycerides with 1.5-fold higher odds of exacerbating asthma, while reduced HDL was associated with 1.5-fold higher odds of poor control. Both triglycerides and HDL were associated with 1.5-fold higher odds of exacerbating asthma. Maternal parameters including elevated LDL cholesterol, triglycerides, and HbA1C were associated with 1.2 to 1.4-fold higher odds of uncontrolled asthma in the child. Elevated paternal HbA1C was associated with exacerbating asthma.</p><p><strong>Conclusion: </strong>Dyslipidemia, including elevated LDL and decreased HDL, in the child and their parents was associated with high asthma burden in a Danish pediatric cohort with persistent asthma. These observations highlight the need to investigate the underlying mechanisms driven by fat metabolism that are transgenerational.</p>\",\"PeriodicalId\":49131,\"journal\":{\"name\":\"Respiratory Research\",\"volume\":\"26 1\",\"pages\":\"246\"},\"PeriodicalIF\":5.8000,\"publicationDate\":\"2025-07-14\",\"publicationTypes\":\"Journal Article\",\"fieldsOfStudy\":null,\"isOpenAccess\":false,\"openAccessPdf\":\"https://www.ncbi.nlm.nih.gov/pmc/articles/PMC12261825/pdf/\",\"citationCount\":\"0\",\"resultStr\":null,\"platform\":\"Semanticscholar\",\"paperid\":null,\"PeriodicalName\":\"Respiratory Research\",\"FirstCategoryId\":\"3\",\"ListUrlMain\":\"https://doi.org/10.1186/s12931-025-03321-7\",\"RegionNum\":2,\"RegionCategory\":\"医学\",\"ArticlePicture\":[],\"TitleCN\":null,\"AbstractTextCN\":null,\"PMCID\":null,\"EPubDate\":\"\",\"PubModel\":\"\",\"JCR\":\"Q1\",\"JCRName\":\"Medicine\",\"Score\":null,\"Total\":0}","platform":"Semanticscholar","paperid":null,"PeriodicalName":"Respiratory Research","FirstCategoryId":"3","ListUrlMain":"https://doi.org/10.1186/s12931-025-03321-7","RegionNum":2,"RegionCategory":"医学","ArticlePicture":[],"TitleCN":null,"AbstractTextCN":null,"PMCID":null,"EPubDate":"","PubModel":"","JCR":"Q1","JCRName":"Medicine","Score":null,"Total":0}
引用次数: 0

摘要

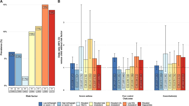
背景:儿童肥胖是哮喘的一个危险因素,其患病率正在上升。肥胖介导的代谢异常是哮喘和肥胖之间联系的机制之一。虽然母亲肥胖会导致儿童肥胖和呼吸系统疾病,但父亲肥胖和父母代谢异常对儿童哮喘的影响尚不清楚。方法:在2015-17年丹麦全国29,851名2-17岁吸入性皮质类固醇治疗哮喘儿童队列中,量化父母和儿童体重和代谢特征(包括HbA1c升高和基于国家年龄特异性临界值的血胆固醇水平)对哮喘加重、控制和严重程度的影响。结果:在29,851名儿童中,1,430名患有严重哮喘,4,750名哮喘控制不佳,2,353名哮喘加重。儿童低密度脂蛋白升高与严重哮喘的几率增加2.2倍有关,甘油三酯升高与哮喘恶化的几率增加1.5倍有关,而高密度脂蛋白降低与控制不良的几率增加1.5倍有关。甘油三酯和高密度脂蛋白与哮喘恶化的几率增加1.5倍有关。包括LDL胆固醇、甘油三酯和HbA1C升高在内的母体参数与儿童未控制哮喘的几率增加1.2至1.4倍相关。父亲HbA1C升高与哮喘加重有关。结论:在丹麦一项持续性哮喘儿童队列中,儿童及其父母的血脂异常(包括LDL升高和HDL降低)与哮喘高负担相关。这些观察结果强调了研究跨代脂肪代谢驱动的潜在机制的必要性。
本文章由计算机程序翻译,如有差异,请以英文原文为准。

Impact of natal and childhood metabolic markers on childhood asthma burden - a nationwide cohort study.

Impact of natal and childhood metabolic markers on childhood asthma burden - a nationwide cohort study.

Impact of natal and childhood metabolic markers on childhood asthma burden - a nationwide cohort study.

Impact of natal and childhood metabolic markers on childhood asthma burden - a nationwide cohort study.

Background: Pediatric obesity, a risk factor for asthma, is increasing in prevalence. Obesity-mediated metabolic abnormalities are one of the mechanisms that link asthma and obesity. While maternal obesity contributes to obesity and respiratory morbidity in the child, the contribution of paternal obesity and parental metabolic abnormalities to the child's asthma is not known.

Methods: To quantify the impact of parental and child's body weight and metabolic traits, including elevated HbA1c, and blood cholesterol levels based on national, age-specific cut-off values, on asthma exacerbations, control, and severity, in a Danish nationwide cohort of 29,851 children aged 2-17 years with inhaled corticosteroid-treated asthma during 2015-17.

Results: Among the 29,851 children, 1,430 had severe asthma, 4,750 had poor asthma control, and 2,353 had exacerbating asthma. Elevated LDL in the child was associated with 2.2-fold higher odds of severe asthma and elevated triglycerides with 1.5-fold higher odds of exacerbating asthma, while reduced HDL was associated with 1.5-fold higher odds of poor control. Both triglycerides and HDL were associated with 1.5-fold higher odds of exacerbating asthma. Maternal parameters including elevated LDL cholesterol, triglycerides, and HbA1C were associated with 1.2 to 1.4-fold higher odds of uncontrolled asthma in the child. Elevated paternal HbA1C was associated with exacerbating asthma.

Conclusion: Dyslipidemia, including elevated LDL and decreased HDL, in the child and their parents was associated with high asthma burden in a Danish pediatric cohort with persistent asthma. These observations highlight the need to investigate the underlying mechanisms driven by fat metabolism that are transgenerational.

求助全文
通过发布文献求助,成功后即可免费获取论文全文。 去求助
来源期刊
Respiratory Research
Respiratory Research RESPIRATORY SYSTEM-
CiteScore
9.70
自引率
1.70%
发文量
314
审稿时长
4-8 weeks
期刊介绍: Respiratory Research publishes high-quality clinical and basic research, review and commentary articles on all aspects of respiratory medicine and related diseases. As the leading fully open access journal in the field, Respiratory Research provides an essential resource for pulmonologists, allergists, immunologists and other physicians, researchers, healthcare workers and medical students with worldwide dissemination of articles resulting in high visibility and generating international discussion. Topics of specific interest include asthma, chronic obstructive pulmonary disease, cystic fibrosis, genetics, infectious diseases, interstitial lung diseases, lung development, lung tumors, occupational and environmental factors, pulmonary circulation, pulmonary pharmacology and therapeutics, respiratory immunology, respiratory physiology, and sleep-related respiratory problems.
×
引用
GB/T 7714-2015
复制
MLA
复制
APA
复制
导出至
BibTeX EndNote RefMan NoteFirst NoteExpress
×
提示
您的信息不完整,为了账户安全,请先补充。
现在去补充
×
提示
您因"违规操作"
具体请查看互助需知
我知道了
×
提示
确定
请完成安全验证×
copy
已复制链接
快去分享给好友吧!
我知道了
右上角分享
点击右上角分享
0
联系我们:info@booksci.cn Book学术提供免费学术资源搜索服务,方便国内外学者检索中英文文献。致力于提供最便捷和优质的服务体验。 Copyright © 2023 布克学术 All rights reserved.
京ICP备2023020795号-1
ghs 京公网安备 11010802042870号
Book学术文献互助
Book学术文献互助群
群 号:604180095
Book学术官方微信