老年多发性硬化症患者接受干扰素β -1a或聚乙二醇干扰素β -1a治疗的结果

IF 3.4 Q3 CLINICAL NEUROLOGY
Neurodegenerative disease management Pub Date : 2025-10-01 Epub Date: 2025-07-15 DOI:10.1080/17582024.2025.2527558
Le H Hua, Carrie M Hersh, Lana Zhovtis Ryerson, Nick Belviso, Megan Vignos
{"title":"老年多发性硬化症患者接受干扰素β -1a或聚乙二醇干扰素β -1a治疗的结果","authors":"Le H Hua, Carrie M Hersh, Lana Zhovtis Ryerson, Nick Belviso, Megan Vignos","doi":"10.1080/17582024.2025.2527558","DOIUrl":null,"url":null,"abstract":"<p><strong>Background: </strong>The peak prevalence of multiple sclerosis (MS) is shifting to older patients. Using real-world data, we describe outcomes among older (≥60 years) and younger patients treated with interferon beta-1a or no disease-modifying therapy (no-DMT).</p><p><strong>Methods: </strong>Assessments over 24 months included annualized relapse rates (ARRs), patient-reported disability outcomes, and MS Performance Test (MSPT) outcomes.</p><p><strong>Results: </strong>The study included 767 interferon-treated and 2783 no-DMT patients. ARR over 24 months was lower for the older and younger interferon-treated patients than the no-DMT patients. Mean change in Patient-Determined Disease Steps (PDDS) from baseline-24 months was -0.13 (1.08) in older interferon-treated patients vs 0.20 (1.30) in older no-DMT patients.</p><p><strong>Conclusion: </strong>Over 24 months ARR remained low and disability progression was stable for interferon-treated patients aged ≥ 60 years.</p>","PeriodicalId":19114,"journal":{"name":"Neurodegenerative disease management","volume":" ","pages":"199-207"},"PeriodicalIF":3.4000,"publicationDate":"2025-10-01","publicationTypes":"Journal Article","fieldsOfStudy":null,"isOpenAccess":false,"openAccessPdf":"https://www.ncbi.nlm.nih.gov/pmc/articles/PMC12456204/pdf/","citationCount":"0","resultStr":"{\"title\":\"Outcomes of older patients with multiple sclerosis treated with interferon beta-1a or peginterferon beta-1a in MS PATHS.\",\"authors\":\"Le H Hua, Carrie M Hersh, Lana Zhovtis Ryerson, Nick Belviso, Megan Vignos\",\"doi\":\"10.1080/17582024.2025.2527558\",\"DOIUrl\":null,\"url\":null,\"abstract\":\"<p><strong>Background: </strong>The peak prevalence of multiple sclerosis (MS) is shifting to older patients. Using real-world data, we describe outcomes among older (≥60 years) and younger patients treated with interferon beta-1a or no disease-modifying therapy (no-DMT).</p><p><strong>Methods: </strong>Assessments over 24 months included annualized relapse rates (ARRs), patient-reported disability outcomes, and MS Performance Test (MSPT) outcomes.</p><p><strong>Results: </strong>The study included 767 interferon-treated and 2783 no-DMT patients. ARR over 24 months was lower for the older and younger interferon-treated patients than the no-DMT patients. Mean change in Patient-Determined Disease Steps (PDDS) from baseline-24 months was -0.13 (1.08) in older interferon-treated patients vs 0.20 (1.30) in older no-DMT patients.</p><p><strong>Conclusion: </strong>Over 24 months ARR remained low and disability progression was stable for interferon-treated patients aged ≥ 60 years.</p>\",\"PeriodicalId\":19114,\"journal\":{\"name\":\"Neurodegenerative disease management\",\"volume\":\" \",\"pages\":\"199-207\"},\"PeriodicalIF\":3.4000,\"publicationDate\":\"2025-10-01\",\"publicationTypes\":\"Journal Article\",\"fieldsOfStudy\":null,\"isOpenAccess\":false,\"openAccessPdf\":\"https://www.ncbi.nlm.nih.gov/pmc/articles/PMC12456204/pdf/\",\"citationCount\":\"0\",\"resultStr\":null,\"platform\":\"Semanticscholar\",\"paperid\":null,\"PeriodicalName\":\"Neurodegenerative disease management\",\"FirstCategoryId\":\"1085\",\"ListUrlMain\":\"https://doi.org/10.1080/17582024.2025.2527558\",\"RegionNum\":0,\"RegionCategory\":null,\"ArticlePicture\":[],\"TitleCN\":null,\"AbstractTextCN\":null,\"PMCID\":null,\"EPubDate\":\"2025/7/15 0:00:00\",\"PubModel\":\"Epub\",\"JCR\":\"Q3\",\"JCRName\":\"CLINICAL NEUROLOGY\",\"Score\":null,\"Total\":0}","platform":"Semanticscholar","paperid":null,"PeriodicalName":"Neurodegenerative disease management","FirstCategoryId":"1085","ListUrlMain":"https://doi.org/10.1080/17582024.2025.2527558","RegionNum":0,"RegionCategory":null,"ArticlePicture":[],"TitleCN":null,"AbstractTextCN":null,"PMCID":null,"EPubDate":"2025/7/15 0:00:00","PubModel":"Epub","JCR":"Q3","JCRName":"CLINICAL NEUROLOGY","Score":null,"Total":0}
引用次数: 0

摘要

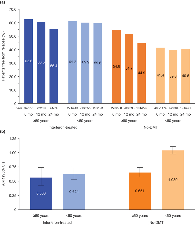
背景:多发性硬化症(MS)的流行高峰正在向老年患者转移。使用真实世界的数据,我们描述了老年(≥60岁)和年轻患者接受干扰素β -1a治疗或不接受疾病改善治疗(no- dmt)的结果。方法:超过24个月的评估包括年复发率(ARRs)、患者报告的残疾结局和MS性能测试(MSPT)结局。结果:该研究纳入767例干扰素治疗患者和2783例非dmt患者。老年和年轻干扰素治疗患者的24个月ARR低于未接受dmt治疗的患者。老年干扰素治疗患者的患者决定疾病步骤(PDDS)从基线到24个月的平均变化为-0.13(1.08),而老年非dmt患者的平均变化为0.20(1.30)。结论:年龄≥60岁的干扰素治疗患者24个月以上ARR保持较低,残疾进展稳定。
本文章由计算机程序翻译,如有差异,请以英文原文为准。

Outcomes of older patients with multiple sclerosis treated with interferon beta-1a or peginterferon beta-1a in MS PATHS.

Outcomes of older patients with multiple sclerosis treated with interferon beta-1a or peginterferon beta-1a in MS PATHS.

Outcomes of older patients with multiple sclerosis treated with interferon beta-1a or peginterferon beta-1a in MS PATHS.

Outcomes of older patients with multiple sclerosis treated with interferon beta-1a or peginterferon beta-1a in MS PATHS.

Background: The peak prevalence of multiple sclerosis (MS) is shifting to older patients. Using real-world data, we describe outcomes among older (≥60 years) and younger patients treated with interferon beta-1a or no disease-modifying therapy (no-DMT).

Methods: Assessments over 24 months included annualized relapse rates (ARRs), patient-reported disability outcomes, and MS Performance Test (MSPT) outcomes.

Results: The study included 767 interferon-treated and 2783 no-DMT patients. ARR over 24 months was lower for the older and younger interferon-treated patients than the no-DMT patients. Mean change in Patient-Determined Disease Steps (PDDS) from baseline-24 months was -0.13 (1.08) in older interferon-treated patients vs 0.20 (1.30) in older no-DMT patients.

Conclusion: Over 24 months ARR remained low and disability progression was stable for interferon-treated patients aged ≥ 60 years.

求助全文
通过发布文献求助,成功后即可免费获取论文全文。 去求助
来源期刊
CiteScore
4.30
自引率
0.00%
发文量
35
×
引用
GB/T 7714-2015
复制
MLA
复制
APA
复制
导出至
BibTeX EndNote RefMan NoteFirst NoteExpress
×
提示
您的信息不完整,为了账户安全,请先补充。
现在去补充
×
提示
您因"违规操作"
具体请查看互助需知
我知道了
×
提示
确定
请完成安全验证×
copy
已复制链接
快去分享给好友吧!
我知道了
右上角分享
点击右上角分享
0
联系我们:info@booksci.cn Book学术提供免费学术资源搜索服务,方便国内外学者检索中英文文献。致力于提供最便捷和优质的服务体验。 Copyright © 2023 布克学术 All rights reserved.
京ICP备2023020795号-1
ghs 京公网安备 11010802042870号
Book学术文献互助
Book学术文献互助群
群 号:604180095
Book学术官方微信