BioSTEM:用于分子生物学和个性化医学领域研究和创新的现代教育工具。

IF 4.3 3区 医学 Q2 GENETICS & HEREDITY
George P Patrinos, Stavroula Siamoglou, Konstantinos Lazaros, Vasilios Xirafas, Aristidis G Vrahatis, Christina Mitropoulou
{"title":"BioSTEM:用于分子生物学和个性化医学领域研究和创新的现代教育工具。","authors":"George P Patrinos, Stavroula Siamoglou, Konstantinos Lazaros, Vasilios Xirafas, Aristidis G Vrahatis, Christina Mitropoulou","doi":"10.1186/s40246-025-00786-x","DOIUrl":null,"url":null,"abstract":"<p><p>Personalized Medicine has the potential to transform modern healthcare by tailoring medical decisions to an individual's unique genomic profile. However, its integration into routine clinical practice is hindered by limited genomics education among healthcare professionals and a general lack of public awareness. To address these challenges, we introduce the BioSTEM initiative, an innovative educational tool designed for primary, elementary, and high school students. BioSTEM combines optimized online learning modules with interactive audiovisual content, fostering direct communication between students and educators. It also integrates alternative learning strategies, such as online games and comics, to enhance engagement with topics in Biology, Molecular Biology, Genetics, and Personalized Medicine. Since 2016, BioSTEM has reached over 6,000 students across three countries through a combination of theoretical instruction and hands-on experiments using a portable molecular biology laboratory. Our results indicate that participation in BioSTEM significantly improved students' and educators' perception of their understanding of concepts in Genetics and Personalized Medicine. Participants reported a stronger grasp of genomic concepts and expressed support for incorporating BioSTEM into the standard biology curriculum. These findings suggest that BioSTEM is a promising and scalable approach to advancing biomedical education and fostering the development of genomic-literate citizens.</p>","PeriodicalId":13183,"journal":{"name":"Human Genomics","volume":"19 1","pages":"82"},"PeriodicalIF":4.3000,"publicationDate":"2025-07-14","publicationTypes":"Journal Article","fieldsOfStudy":null,"isOpenAccess":false,"openAccessPdf":"https://www.ncbi.nlm.nih.gov/pmc/articles/PMC12261724/pdf/","citationCount":"0","resultStr":"{\"title\":\"BioSTEM: A modern educational tool for research and innovation in the field of molecular biology and personalized medicine.\",\"authors\":\"George P Patrinos, Stavroula Siamoglou, Konstantinos Lazaros, Vasilios Xirafas, Aristidis G Vrahatis, Christina Mitropoulou\",\"doi\":\"10.1186/s40246-025-00786-x\",\"DOIUrl\":null,\"url\":null,\"abstract\":\"<p><p>Personalized Medicine has the potential to transform modern healthcare by tailoring medical decisions to an individual's unique genomic profile. However, its integration into routine clinical practice is hindered by limited genomics education among healthcare professionals and a general lack of public awareness. To address these challenges, we introduce the BioSTEM initiative, an innovative educational tool designed for primary, elementary, and high school students. BioSTEM combines optimized online learning modules with interactive audiovisual content, fostering direct communication between students and educators. It also integrates alternative learning strategies, such as online games and comics, to enhance engagement with topics in Biology, Molecular Biology, Genetics, and Personalized Medicine. Since 2016, BioSTEM has reached over 6,000 students across three countries through a combination of theoretical instruction and hands-on experiments using a portable molecular biology laboratory. Our results indicate that participation in BioSTEM significantly improved students' and educators' perception of their understanding of concepts in Genetics and Personalized Medicine. Participants reported a stronger grasp of genomic concepts and expressed support for incorporating BioSTEM into the standard biology curriculum. These findings suggest that BioSTEM is a promising and scalable approach to advancing biomedical education and fostering the development of genomic-literate citizens.</p>\",\"PeriodicalId\":13183,\"journal\":{\"name\":\"Human Genomics\",\"volume\":\"19 1\",\"pages\":\"82\"},\"PeriodicalIF\":4.3000,\"publicationDate\":\"2025-07-14\",\"publicationTypes\":\"Journal Article\",\"fieldsOfStudy\":null,\"isOpenAccess\":false,\"openAccessPdf\":\"https://www.ncbi.nlm.nih.gov/pmc/articles/PMC12261724/pdf/\",\"citationCount\":\"0\",\"resultStr\":null,\"platform\":\"Semanticscholar\",\"paperid\":null,\"PeriodicalName\":\"Human Genomics\",\"FirstCategoryId\":\"3\",\"ListUrlMain\":\"https://doi.org/10.1186/s40246-025-00786-x\",\"RegionNum\":3,\"RegionCategory\":\"医学\",\"ArticlePicture\":[],\"TitleCN\":null,\"AbstractTextCN\":null,\"PMCID\":null,\"EPubDate\":\"\",\"PubModel\":\"\",\"JCR\":\"Q2\",\"JCRName\":\"GENETICS & HEREDITY\",\"Score\":null,\"Total\":0}","platform":"Semanticscholar","paperid":null,"PeriodicalName":"Human Genomics","FirstCategoryId":"3","ListUrlMain":"https://doi.org/10.1186/s40246-025-00786-x","RegionNum":3,"RegionCategory":"医学","ArticlePicture":[],"TitleCN":null,"AbstractTextCN":null,"PMCID":null,"EPubDate":"","PubModel":"","JCR":"Q2","JCRName":"GENETICS & HEREDITY","Score":null,"Total":0}
引用次数: 0

摘要

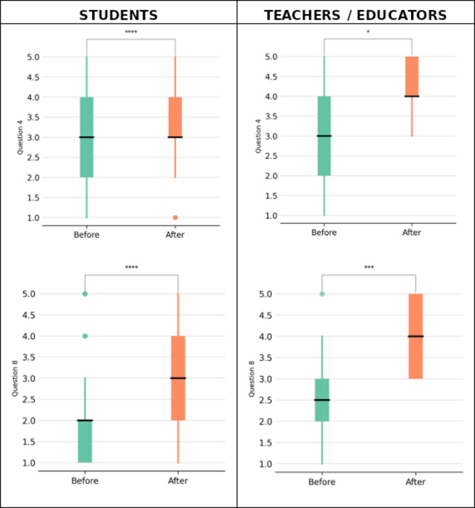
个性化医疗有可能通过根据个人独特的基因组图谱定制医疗决策来改变现代医疗保健。然而,由于医疗保健专业人员的基因组学教育有限,以及公众普遍缺乏认识,使其融入常规临床实践受到阻碍。为了应对这些挑战,我们推出了BioSTEM计划,这是一项为小学、小学和高中学生设计的创新教育工具。BioSTEM将优化的在线学习模块与交互式视听内容相结合,促进学生和教育工作者之间的直接交流。它还整合了其他学习策略,如在线游戏和漫画,以加强对生物学、分子生物学、遗传学和个性化医学等主题的参与。自2016年以来,BioSTEM通过理论教学和使用便携式分子生物学实验室的动手实验相结合,已经为三个国家的6000多名学生提供了服务。我们的研究结果表明,参与BioSTEM显著提高了学生和教育工作者对遗传学和个性化医学概念理解的感知。参与者报告了对基因组概念的更强把握,并表示支持将BioSTEM纳入标准生物学课程。这些发现表明,BioSTEM是一种很有前途的、可扩展的方法,可以促进生物医学教育和培养具有基因组知识的公民。
本文章由计算机程序翻译,如有差异,请以英文原文为准。

BioSTEM: A modern educational tool for research and innovation in the field of molecular biology and personalized medicine.

BioSTEM: A modern educational tool for research and innovation in the field of molecular biology and personalized medicine.

BioSTEM: A modern educational tool for research and innovation in the field of molecular biology and personalized medicine.

BioSTEM: A modern educational tool for research and innovation in the field of molecular biology and personalized medicine.

Personalized Medicine has the potential to transform modern healthcare by tailoring medical decisions to an individual's unique genomic profile. However, its integration into routine clinical practice is hindered by limited genomics education among healthcare professionals and a general lack of public awareness. To address these challenges, we introduce the BioSTEM initiative, an innovative educational tool designed for primary, elementary, and high school students. BioSTEM combines optimized online learning modules with interactive audiovisual content, fostering direct communication between students and educators. It also integrates alternative learning strategies, such as online games and comics, to enhance engagement with topics in Biology, Molecular Biology, Genetics, and Personalized Medicine. Since 2016, BioSTEM has reached over 6,000 students across three countries through a combination of theoretical instruction and hands-on experiments using a portable molecular biology laboratory. Our results indicate that participation in BioSTEM significantly improved students' and educators' perception of their understanding of concepts in Genetics and Personalized Medicine. Participants reported a stronger grasp of genomic concepts and expressed support for incorporating BioSTEM into the standard biology curriculum. These findings suggest that BioSTEM is a promising and scalable approach to advancing biomedical education and fostering the development of genomic-literate citizens.

求助全文
通过发布文献求助,成功后即可免费获取论文全文。 去求助
来源期刊
Human Genomics
Human Genomics GENETICS & HEREDITY-
CiteScore
6.00
自引率
2.20%
发文量
55
审稿时长
11 weeks
期刊介绍: Human Genomics is a peer-reviewed, open access, online journal that focuses on the application of genomic analysis in all aspects of human health and disease, as well as genomic analysis of drug efficacy and safety, and comparative genomics. Topics covered by the journal include, but are not limited to: pharmacogenomics, genome-wide association studies, genome-wide sequencing, exome sequencing, next-generation deep-sequencing, functional genomics, epigenomics, translational genomics, expression profiling, proteomics, bioinformatics, animal models, statistical genetics, genetic epidemiology, human population genetics and comparative genomics.
×
引用
GB/T 7714-2015
复制
MLA
复制
APA
复制
导出至
BibTeX EndNote RefMan NoteFirst NoteExpress
×
提示
您的信息不完整,为了账户安全,请先补充。
现在去补充
×
提示
您因"违规操作"
具体请查看互助需知
我知道了
×
提示
确定
请完成安全验证×
copy
已复制链接
快去分享给好友吧!
我知道了
右上角分享
点击右上角分享
0
联系我们:info@booksci.cn Book学术提供免费学术资源搜索服务,方便国内外学者检索中英文文献。致力于提供最便捷和优质的服务体验。 Copyright © 2023 布克学术 All rights reserved.
京ICP备2023020795号-1
ghs 京公网安备 11010802042870号
Book学术文献互助
Book学术文献互助群
群 号:604180095
Book学术官方微信