中国大型三级中心PD-1/PD-L1抑制剂治疗后甲状腺免疫相关不良事件的危险因素和结局

IF 3.3 3区 医学 Q3 ENDOCRINOLOGY & METABOLISM
Wenwen Gong, Erhan Zheng, Minchao Liu, Yaliang Han, Zhaohui Lyu, Qinghua Guo
{"title":"中国大型三级中心PD-1/PD-L1抑制剂治疗后甲状腺免疫相关不良事件的危险因素和结局","authors":"Wenwen Gong, Erhan Zheng, Minchao Liu, Yaliang Han, Zhaohui Lyu, Qinghua Guo","doi":"10.1186/s12902-025-01986-1","DOIUrl":null,"url":null,"abstract":"<p><strong>Objective: </strong>To investigate the clinical characteristics, related risk factors and outcomes of thyroid immune-related adverse events (irAEs) in patients with malignant solid tumor treated with programmed cell death-1 (PD-1) or programmed cell death-ligand 1 (PD-L1) inhibitors in a large tertiary Chinese center.</p><p><strong>Methods: </strong>We retrospectively analyzed the clinical data of 1151 patients with malignant solid tumors who received PD-1 or PD-L1 inhibitors treatment and underwent thyroid function evaluation in a large 3 A hospital of Beijing from September 2019 to December 2023. According to the thyroid status after receiving PD-1/PD-L1 inhibitors treatment, patients were divided into normal thyroid group and thyroid irAEs group. The clinical characteristics, including age, gender, tumor type, previous anti-cancer treatment history and thyroid function status were evaluated. After the occurrence of thyroid irAEs, thyroid function evaluation, onset time, and survival outcomes were analyzed. Risk factors that may contribute to the thyroid irAEs were further explored by logistic regression.</p><p><strong>Results: </strong>Out of 1151 patients treated with a PD-1/PD-L1 inhibitor, 257 (22.3%) developed new thyroid irAEs, with the vast majority (98.0%) being hypothyroidism (193/257, 75.1%) and Grade1-2 (252/257, 98.0%), including 252 Hashimoto's thyroiditis (98.0%), 3 subacute thyroiditis (1.17%) and 2 Graves' disease (0.78%). There was a significant difference in the number of treatment cycles of PD-1/PD-L1 inhibitors between the two groups (P = 0.001). In multivariate analysis, gastrointestinal cancer, radiotherapy history, targeted therapy history, positive TgAb and TPOAb at baseline were associated with thyroid irAEs caused by PD-1/PD-L1 inhibitors. Absence of thyroid irAEs predicted increased mortality overall (HR = 2.935, P = 0.024) and particularly in gastrointestinal cancers (HR = 9.453, P = 0.007), despite comparable crude mortality (5.84% vs. 5.82%, P = 0.228). No association was observed in lung/other tumors. Thyroid function recovery occurred in 36.2% of patients, and treatment interruption due to thyroid irAEs was rare (3.5%).</p><p><strong>Conclusion: </strong>In our group, 22.3% patients treated with PD-1/PD-L1 inhibitors developed thyroid irAEs. The main subtype of thyroid irAEs was hypothyroidism (75.1%). Patients with gastrointestinal cancer, previous radiotherapy, history of targeted therapy, and baseline TgAb or TPOAb positivity may increase the risk of thyroid irAEs. Thyroid irAEs was associated with a trend for a survival benefit in patients with gastrointestinal cancer.</p>","PeriodicalId":9152,"journal":{"name":"BMC Endocrine Disorders","volume":"25 1","pages":"171"},"PeriodicalIF":3.3000,"publicationDate":"2025-07-14","publicationTypes":"Journal Article","fieldsOfStudy":null,"isOpenAccess":false,"openAccessPdf":"https://www.ncbi.nlm.nih.gov/pmc/articles/PMC12257789/pdf/","citationCount":"0","resultStr":"{\"title\":\"Risk factors and outcomes of thyroid immune-related adverse events following PD-1/PD-L1 inhibitors treatment in a large tertiary Chinese center.\",\"authors\":\"Wenwen Gong, Erhan Zheng, Minchao Liu, Yaliang Han, Zhaohui Lyu, Qinghua Guo\",\"doi\":\"10.1186/s12902-025-01986-1\",\"DOIUrl\":null,\"url\":null,\"abstract\":\"<p><strong>Objective: </strong>To investigate the clinical characteristics, related risk factors and outcomes of thyroid immune-related adverse events (irAEs) in patients with malignant solid tumor treated with programmed cell death-1 (PD-1) or programmed cell death-ligand 1 (PD-L1) inhibitors in a large tertiary Chinese center.</p><p><strong>Methods: </strong>We retrospectively analyzed the clinical data of 1151 patients with malignant solid tumors who received PD-1 or PD-L1 inhibitors treatment and underwent thyroid function evaluation in a large 3 A hospital of Beijing from September 2019 to December 2023. According to the thyroid status after receiving PD-1/PD-L1 inhibitors treatment, patients were divided into normal thyroid group and thyroid irAEs group. The clinical characteristics, including age, gender, tumor type, previous anti-cancer treatment history and thyroid function status were evaluated. After the occurrence of thyroid irAEs, thyroid function evaluation, onset time, and survival outcomes were analyzed. Risk factors that may contribute to the thyroid irAEs were further explored by logistic regression.</p><p><strong>Results: </strong>Out of 1151 patients treated with a PD-1/PD-L1 inhibitor, 257 (22.3%) developed new thyroid irAEs, with the vast majority (98.0%) being hypothyroidism (193/257, 75.1%) and Grade1-2 (252/257, 98.0%), including 252 Hashimoto's thyroiditis (98.0%), 3 subacute thyroiditis (1.17%) and 2 Graves' disease (0.78%). There was a significant difference in the number of treatment cycles of PD-1/PD-L1 inhibitors between the two groups (P = 0.001). In multivariate analysis, gastrointestinal cancer, radiotherapy history, targeted therapy history, positive TgAb and TPOAb at baseline were associated with thyroid irAEs caused by PD-1/PD-L1 inhibitors. Absence of thyroid irAEs predicted increased mortality overall (HR = 2.935, P = 0.024) and particularly in gastrointestinal cancers (HR = 9.453, P = 0.007), despite comparable crude mortality (5.84% vs. 5.82%, P = 0.228). No association was observed in lung/other tumors. Thyroid function recovery occurred in 36.2% of patients, and treatment interruption due to thyroid irAEs was rare (3.5%).</p><p><strong>Conclusion: </strong>In our group, 22.3% patients treated with PD-1/PD-L1 inhibitors developed thyroid irAEs. The main subtype of thyroid irAEs was hypothyroidism (75.1%). Patients with gastrointestinal cancer, previous radiotherapy, history of targeted therapy, and baseline TgAb or TPOAb positivity may increase the risk of thyroid irAEs. Thyroid irAEs was associated with a trend for a survival benefit in patients with gastrointestinal cancer.</p>\",\"PeriodicalId\":9152,\"journal\":{\"name\":\"BMC Endocrine Disorders\",\"volume\":\"25 1\",\"pages\":\"171\"},\"PeriodicalIF\":3.3000,\"publicationDate\":\"2025-07-14\",\"publicationTypes\":\"Journal Article\",\"fieldsOfStudy\":null,\"isOpenAccess\":false,\"openAccessPdf\":\"https://www.ncbi.nlm.nih.gov/pmc/articles/PMC12257789/pdf/\",\"citationCount\":\"0\",\"resultStr\":null,\"platform\":\"Semanticscholar\",\"paperid\":null,\"PeriodicalName\":\"BMC Endocrine Disorders\",\"FirstCategoryId\":\"3\",\"ListUrlMain\":\"https://doi.org/10.1186/s12902-025-01986-1\",\"RegionNum\":3,\"RegionCategory\":\"医学\",\"ArticlePicture\":[],\"TitleCN\":null,\"AbstractTextCN\":null,\"PMCID\":null,\"EPubDate\":\"\",\"PubModel\":\"\",\"JCR\":\"Q3\",\"JCRName\":\"ENDOCRINOLOGY & METABOLISM\",\"Score\":null,\"Total\":0}","platform":"Semanticscholar","paperid":null,"PeriodicalName":"BMC Endocrine Disorders","FirstCategoryId":"3","ListUrlMain":"https://doi.org/10.1186/s12902-025-01986-1","RegionNum":3,"RegionCategory":"医学","ArticlePicture":[],"TitleCN":null,"AbstractTextCN":null,"PMCID":null,"EPubDate":"","PubModel":"","JCR":"Q3","JCRName":"ENDOCRINOLOGY & METABOLISM","Score":null,"Total":0}
引用次数: 0

摘要

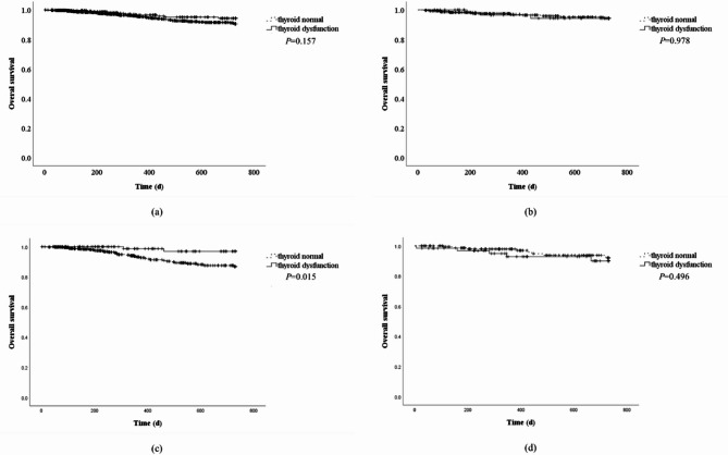
目的:探讨应用程序性细胞死亡-1 (PD-1)或程序性细胞死亡-配体-1 (PD-L1)抑制剂治疗恶性实体瘤患者甲状腺免疫相关不良事件(irAEs)的临床特点、相关危险因素及预后。方法:回顾性分析2019年9月至2023年12月北京某大型3a医院1151例接受PD-1或PD-L1抑制剂治疗并行甲状腺功能评估的恶性实体瘤患者的临床资料。根据PD-1/PD-L1抑制剂治疗后的甲状腺状态,将患者分为甲状腺正常组和甲状腺raes组。评估患者的临床特征,包括年龄、性别、肿瘤类型、既往抗癌治疗史和甲状腺功能状况。甲状腺irae发生后,分析甲状腺功能评价、发病时间及生存结局。通过logistic回归进一步探讨可能导致甲状腺raes的危险因素。结果:在接受PD-1/PD-L1抑制剂治疗的1151例患者中,257例(22.3%)发生了新的甲状腺irae,其中绝大多数(98.0%)为甲状腺功能减退(193/257,75.1%)和1-2级(252/257,98.0%),包括桥本甲状腺炎252例(98.0%)、亚急性甲状腺炎3例(1.17%)和Graves病2例(0.78%)。两组患者PD-1/PD-L1抑制剂的治疗周期数差异有统计学意义(P = 0.001)。在多因素分析中,胃肠道肿瘤、放疗史、靶向治疗史、基线TgAb和TPOAb阳性与PD-1/PD-L1抑制剂引起的甲状腺irAEs相关。尽管粗死亡率相当(5.84% vs. 5.82%, P = 0.228),但甲状腺irae的缺失预示着总体死亡率的增加(HR = 2.935, P = 0.024),尤其是胃肠道癌症(HR = 9.453, P = 0.007)。在肺/其他肿瘤中未观察到相关。36.2%的患者甲状腺功能恢复,因甲状腺irae而中断治疗的患者很少见(3.5%)。结论:在本组中,接受PD-1/PD-L1抑制剂治疗的患者中有22.3%发生甲状腺irae。甲状腺irAEs的主要亚型为甲状腺功能减退(75.1%)。胃肠癌患者、既往放疗、靶向治疗史、TgAb或TPOAb基线阳性均可能增加甲状腺irae的风险。甲状腺irAEs与胃肠道癌患者的生存获益趋势相关。
本文章由计算机程序翻译,如有差异,请以英文原文为准。

Risk factors and outcomes of thyroid immune-related adverse events following PD-1/PD-L1 inhibitors treatment in a large tertiary Chinese center.

Risk factors and outcomes of thyroid immune-related adverse events following PD-1/PD-L1 inhibitors treatment in a large tertiary Chinese center.

Risk factors and outcomes of thyroid immune-related adverse events following PD-1/PD-L1 inhibitors treatment in a large tertiary Chinese center.

Objective: To investigate the clinical characteristics, related risk factors and outcomes of thyroid immune-related adverse events (irAEs) in patients with malignant solid tumor treated with programmed cell death-1 (PD-1) or programmed cell death-ligand 1 (PD-L1) inhibitors in a large tertiary Chinese center.

Methods: We retrospectively analyzed the clinical data of 1151 patients with malignant solid tumors who received PD-1 or PD-L1 inhibitors treatment and underwent thyroid function evaluation in a large 3 A hospital of Beijing from September 2019 to December 2023. According to the thyroid status after receiving PD-1/PD-L1 inhibitors treatment, patients were divided into normal thyroid group and thyroid irAEs group. The clinical characteristics, including age, gender, tumor type, previous anti-cancer treatment history and thyroid function status were evaluated. After the occurrence of thyroid irAEs, thyroid function evaluation, onset time, and survival outcomes were analyzed. Risk factors that may contribute to the thyroid irAEs were further explored by logistic regression.

Results: Out of 1151 patients treated with a PD-1/PD-L1 inhibitor, 257 (22.3%) developed new thyroid irAEs, with the vast majority (98.0%) being hypothyroidism (193/257, 75.1%) and Grade1-2 (252/257, 98.0%), including 252 Hashimoto's thyroiditis (98.0%), 3 subacute thyroiditis (1.17%) and 2 Graves' disease (0.78%). There was a significant difference in the number of treatment cycles of PD-1/PD-L1 inhibitors between the two groups (P = 0.001). In multivariate analysis, gastrointestinal cancer, radiotherapy history, targeted therapy history, positive TgAb and TPOAb at baseline were associated with thyroid irAEs caused by PD-1/PD-L1 inhibitors. Absence of thyroid irAEs predicted increased mortality overall (HR = 2.935, P = 0.024) and particularly in gastrointestinal cancers (HR = 9.453, P = 0.007), despite comparable crude mortality (5.84% vs. 5.82%, P = 0.228). No association was observed in lung/other tumors. Thyroid function recovery occurred in 36.2% of patients, and treatment interruption due to thyroid irAEs was rare (3.5%).

Conclusion: In our group, 22.3% patients treated with PD-1/PD-L1 inhibitors developed thyroid irAEs. The main subtype of thyroid irAEs was hypothyroidism (75.1%). Patients with gastrointestinal cancer, previous radiotherapy, history of targeted therapy, and baseline TgAb or TPOAb positivity may increase the risk of thyroid irAEs. Thyroid irAEs was associated with a trend for a survival benefit in patients with gastrointestinal cancer.

求助全文
通过发布文献求助,成功后即可免费获取论文全文。 去求助
来源期刊
BMC Endocrine Disorders
BMC Endocrine Disorders ENDOCRINOLOGY & METABOLISM-
CiteScore
4.40
自引率
0.00%
发文量
280
审稿时长
>12 weeks
期刊介绍: BMC Endocrine Disorders is an open access, peer-reviewed journal that considers articles on all aspects of the prevention, diagnosis and management of endocrine disorders, as well as related molecular genetics, pathophysiology, and epidemiology.
×
引用
GB/T 7714-2015
复制
MLA
复制
APA
复制
导出至
BibTeX EndNote RefMan NoteFirst NoteExpress
×
提示
您的信息不完整,为了账户安全,请先补充。
现在去补充
×
提示
您因"违规操作"
具体请查看互助需知
我知道了
×
提示
确定
请完成安全验证×
copy
已复制链接
快去分享给好友吧!
我知道了
右上角分享
点击右上角分享
0
联系我们:info@booksci.cn Book学术提供免费学术资源搜索服务,方便国内外学者检索中英文文献。致力于提供最便捷和优质的服务体验。 Copyright © 2023 布克学术 All rights reserved.
京ICP备2023020795号-1
ghs 京公网安备 11010802042870号
Book学术文献互助
Book学术文献互助群
群 号:604180095
Book学术官方微信