糖尿病与银屑病和冠状动脉疾病患者预后不良相关。

IF 3.3 3区 医学 Q3 ENDOCRINOLOGY & METABOLISM
Lin Zhao, Lin Sun, KunQi Yang, ZengLei Zhang, ZuoZhi Li, Man Wang, XianLiang Zhou, Yan Zeng, WeiXian Yang
{"title":"糖尿病与银屑病和冠状动脉疾病患者预后不良相关。","authors":"Lin Zhao, Lin Sun, KunQi Yang, ZengLei Zhang, ZuoZhi Li, Man Wang, XianLiang Zhou, Yan Zeng, WeiXian Yang","doi":"10.1186/s12902-025-01996-z","DOIUrl":null,"url":null,"abstract":"<p><strong>Background: </strong>There is an increased risk of diabetes and cardiovascular disease among patients with psoriasis. However, whether diabetes affects the cardiovascular adverse events in patients with psoriasis who have suffered from coronary artery disease remains unclear. This study aimed to explore the prognostic role of diabetes in this particular population.</p><p><strong>Methods: </strong>This single-center, retrospective cohort study included all consecutive adult patients with psoriasis and coronary artery disease admitted at our hospital between January 2017 and May 2022. Clinical records were collected and compared between patients with and without diabetes. Survival curves were derived using Kaplan-Meier methods. Multivariable Cox regression was used to control potential confounding.</p><p><strong>Results: </strong>This study included 305 participants, including 147 patients (48.2%) with diabetes. Patients with diabetes were more likely to have hypertension (p = 0.045), peripheral vascular disease (p = 0.043) and the history of stroke (p = 0.041). Patients with diabetes also had higher levels of low-density lipoprotein cholesterol (p = 0.039) and homocysteine (p = 0.006). After a median follow-up of 36 months, patients with diabetes had a higher incidence of major adverse cardiovascular events (MACE) than patients without diabetes (p = 0.032). According to the results of the Cox regression analysis, only diabetes (p = 0.039) was associated with MACE. The subgroup analysis showed that diabetes was associated with MACE, especially in male patients (p = 0.008) and those without chronic kidney disease (p = 0.021).</p><p><strong>Conclusion: </strong>In patients with psoriasis and coronary artery disease, diabetes is independently linked with MACE. These findings will help the risk assessment for patients with psoriasis and coronary artery disease.</p>","PeriodicalId":9152,"journal":{"name":"BMC Endocrine Disorders","volume":"25 1","pages":"174"},"PeriodicalIF":3.3000,"publicationDate":"2025-07-14","publicationTypes":"Journal Article","fieldsOfStudy":null,"isOpenAccess":false,"openAccessPdf":"https://www.ncbi.nlm.nih.gov/pmc/articles/PMC12257814/pdf/","citationCount":"0","resultStr":"{\"title\":\"Diabetes is associated with a poor prognosis in patients with psoriasis and coronary artery disease.\",\"authors\":\"Lin Zhao, Lin Sun, KunQi Yang, ZengLei Zhang, ZuoZhi Li, Man Wang, XianLiang Zhou, Yan Zeng, WeiXian Yang\",\"doi\":\"10.1186/s12902-025-01996-z\",\"DOIUrl\":null,\"url\":null,\"abstract\":\"<p><strong>Background: </strong>There is an increased risk of diabetes and cardiovascular disease among patients with psoriasis. However, whether diabetes affects the cardiovascular adverse events in patients with psoriasis who have suffered from coronary artery disease remains unclear. This study aimed to explore the prognostic role of diabetes in this particular population.</p><p><strong>Methods: </strong>This single-center, retrospective cohort study included all consecutive adult patients with psoriasis and coronary artery disease admitted at our hospital between January 2017 and May 2022. Clinical records were collected and compared between patients with and without diabetes. Survival curves were derived using Kaplan-Meier methods. Multivariable Cox regression was used to control potential confounding.</p><p><strong>Results: </strong>This study included 305 participants, including 147 patients (48.2%) with diabetes. Patients with diabetes were more likely to have hypertension (p = 0.045), peripheral vascular disease (p = 0.043) and the history of stroke (p = 0.041). Patients with diabetes also had higher levels of low-density lipoprotein cholesterol (p = 0.039) and homocysteine (p = 0.006). After a median follow-up of 36 months, patients with diabetes had a higher incidence of major adverse cardiovascular events (MACE) than patients without diabetes (p = 0.032). According to the results of the Cox regression analysis, only diabetes (p = 0.039) was associated with MACE. The subgroup analysis showed that diabetes was associated with MACE, especially in male patients (p = 0.008) and those without chronic kidney disease (p = 0.021).</p><p><strong>Conclusion: </strong>In patients with psoriasis and coronary artery disease, diabetes is independently linked with MACE. These findings will help the risk assessment for patients with psoriasis and coronary artery disease.</p>\",\"PeriodicalId\":9152,\"journal\":{\"name\":\"BMC Endocrine Disorders\",\"volume\":\"25 1\",\"pages\":\"174\"},\"PeriodicalIF\":3.3000,\"publicationDate\":\"2025-07-14\",\"publicationTypes\":\"Journal Article\",\"fieldsOfStudy\":null,\"isOpenAccess\":false,\"openAccessPdf\":\"https://www.ncbi.nlm.nih.gov/pmc/articles/PMC12257814/pdf/\",\"citationCount\":\"0\",\"resultStr\":null,\"platform\":\"Semanticscholar\",\"paperid\":null,\"PeriodicalName\":\"BMC Endocrine Disorders\",\"FirstCategoryId\":\"3\",\"ListUrlMain\":\"https://doi.org/10.1186/s12902-025-01996-z\",\"RegionNum\":3,\"RegionCategory\":\"医学\",\"ArticlePicture\":[],\"TitleCN\":null,\"AbstractTextCN\":null,\"PMCID\":null,\"EPubDate\":\"\",\"PubModel\":\"\",\"JCR\":\"Q3\",\"JCRName\":\"ENDOCRINOLOGY & METABOLISM\",\"Score\":null,\"Total\":0}","platform":"Semanticscholar","paperid":null,"PeriodicalName":"BMC Endocrine Disorders","FirstCategoryId":"3","ListUrlMain":"https://doi.org/10.1186/s12902-025-01996-z","RegionNum":3,"RegionCategory":"医学","ArticlePicture":[],"TitleCN":null,"AbstractTextCN":null,"PMCID":null,"EPubDate":"","PubModel":"","JCR":"Q3","JCRName":"ENDOCRINOLOGY & METABOLISM","Score":null,"Total":0}
引用次数: 0

摘要

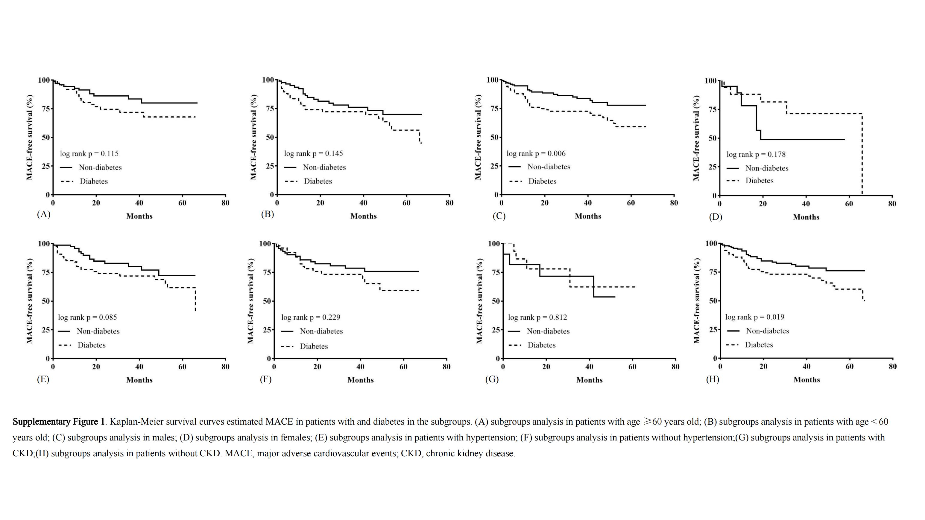
背景:银屑病患者患糖尿病和心血管疾病的风险增加。然而,糖尿病是否会影响患有冠状动脉疾病的银屑病患者的心血管不良事件尚不清楚。本研究旨在探讨糖尿病在这一特定人群中的预后作用。方法:这项单中心、回顾性队列研究纳入了2017年1月至2022年5月在我院住院的所有连续成年牛皮癣合并冠状动脉疾病患者。收集了糖尿病患者和非糖尿病患者的临床记录并进行了比较。生存曲线采用Kaplan-Meier法推导。采用多变量Cox回归控制潜在混杂因素。结果:本研究纳入305名参与者,其中147名糖尿病患者(48.2%)。糖尿病患者有高血压(p = 0.045)、周围血管疾病(p = 0.043)和卒中史(p = 0.041)的可能性更高。糖尿病患者的低密度脂蛋白胆固醇(p = 0.039)和同型半胱氨酸(p = 0.006)水平也较高。中位随访36个月后,糖尿病患者的主要不良心血管事件(MACE)发生率高于非糖尿病患者(p = 0.032)。根据Cox回归分析的结果,只有糖尿病(p = 0.039)与MACE相关。亚组分析显示糖尿病与MACE相关,尤其是男性患者(p = 0.008)和无慢性肾脏疾病患者(p = 0.021)。结论:在银屑病合并冠心病患者中,糖尿病与MACE独立相关。这些发现将有助于银屑病和冠状动脉疾病患者的风险评估。
本文章由计算机程序翻译,如有差异,请以英文原文为准。

Diabetes is associated with a poor prognosis in patients with psoriasis and coronary artery disease.

Diabetes is associated with a poor prognosis in patients with psoriasis and coronary artery disease.

Diabetes is associated with a poor prognosis in patients with psoriasis and coronary artery disease.

Diabetes is associated with a poor prognosis in patients with psoriasis and coronary artery disease.

Background: There is an increased risk of diabetes and cardiovascular disease among patients with psoriasis. However, whether diabetes affects the cardiovascular adverse events in patients with psoriasis who have suffered from coronary artery disease remains unclear. This study aimed to explore the prognostic role of diabetes in this particular population.

Methods: This single-center, retrospective cohort study included all consecutive adult patients with psoriasis and coronary artery disease admitted at our hospital between January 2017 and May 2022. Clinical records were collected and compared between patients with and without diabetes. Survival curves were derived using Kaplan-Meier methods. Multivariable Cox regression was used to control potential confounding.

Results: This study included 305 participants, including 147 patients (48.2%) with diabetes. Patients with diabetes were more likely to have hypertension (p = 0.045), peripheral vascular disease (p = 0.043) and the history of stroke (p = 0.041). Patients with diabetes also had higher levels of low-density lipoprotein cholesterol (p = 0.039) and homocysteine (p = 0.006). After a median follow-up of 36 months, patients with diabetes had a higher incidence of major adverse cardiovascular events (MACE) than patients without diabetes (p = 0.032). According to the results of the Cox regression analysis, only diabetes (p = 0.039) was associated with MACE. The subgroup analysis showed that diabetes was associated with MACE, especially in male patients (p = 0.008) and those without chronic kidney disease (p = 0.021).

Conclusion: In patients with psoriasis and coronary artery disease, diabetes is independently linked with MACE. These findings will help the risk assessment for patients with psoriasis and coronary artery disease.

求助全文
通过发布文献求助,成功后即可免费获取论文全文。 去求助
来源期刊
BMC Endocrine Disorders
BMC Endocrine Disorders ENDOCRINOLOGY & METABOLISM-
CiteScore
4.40
自引率
0.00%
发文量
280
审稿时长
>12 weeks
期刊介绍: BMC Endocrine Disorders is an open access, peer-reviewed journal that considers articles on all aspects of the prevention, diagnosis and management of endocrine disorders, as well as related molecular genetics, pathophysiology, and epidemiology.
×
引用
GB/T 7714-2015
复制
MLA
复制
APA
复制
导出至
BibTeX EndNote RefMan NoteFirst NoteExpress
×
提示
您的信息不完整,为了账户安全,请先补充。
现在去补充
×
提示
您因"违规操作"
具体请查看互助需知
我知道了
×
提示
确定
请完成安全验证×
copy
已复制链接
快去分享给好友吧!
我知道了
右上角分享
点击右上角分享
0
联系我们:info@booksci.cn Book学术提供免费学术资源搜索服务,方便国内外学者检索中英文文献。致力于提供最便捷和优质的服务体验。 Copyright © 2023 布克学术 All rights reserved.
京ICP备2023020795号-1
ghs 京公网安备 11010802042870号
Book学术文献互助
Book学术文献互助群
群 号:604180095
Book学术官方微信