探讨虚拟护士与床边护士之间的关键关系。

IF 2.5 Q2 NURSING
SAGE Open Nursing Pub Date : 2025-07-09 eCollection Date: 2025-01-01 DOI:10.1177/23779608251358714
Melanie Chopra
{"title":"探讨虚拟护士与床边护士之间的关键关系。","authors":"Melanie Chopra","doi":"10.1177/23779608251358714","DOIUrl":null,"url":null,"abstract":"<p><p>The COVID-19 pandemic has magnified the challenges faced by healthcare professionals; in particular, it exposed the highly stressful work environment the bedside nurse (BSRN) navigates while providing patient care. In response, virtual nursing (VNG) became an innovative solution to fill the gaps in healthcare delivery, and it continues to grow as a nursing discipline. The adoption of VNG, which facilitates real-time communication with BSRNs, presents challenges in maintaining trust and collaboration in a digital environment between the remote virtual nurse (RVN) and the BSRN. Barriers such as skepticism, misperceptions about the RVNs' role, and mistrust are discussed, alongside strategies to improve the working partnership between RVNs and BSRNs. The importance of gaining bedside leadership support, offering mentorship, offloading work from the BSRN, communication techniques, and practical interventions is suggested as potential steps the RVN can take to enhance their collaboration with the BSRN. This article proposes continued integration of VNG throughout diverse healthcare settings to potentially improve patient outcomes and expresses the urgent need for further research to improve the evolving RVN-BSRN partnership.</p>","PeriodicalId":43312,"journal":{"name":"SAGE Open Nursing","volume":"11 ","pages":"23779608251358714"},"PeriodicalIF":2.5000,"publicationDate":"2025-07-09","publicationTypes":"Journal Article","fieldsOfStudy":null,"isOpenAccess":false,"openAccessPdf":"https://www.ncbi.nlm.nih.gov/pmc/articles/PMC12254540/pdf/","citationCount":"0","resultStr":"{\"title\":\"Exploring the Critical Relationship Between Virtual and Bedside Nurses.\",\"authors\":\"Melanie Chopra\",\"doi\":\"10.1177/23779608251358714\",\"DOIUrl\":null,\"url\":null,\"abstract\":\"<p><p>The COVID-19 pandemic has magnified the challenges faced by healthcare professionals; in particular, it exposed the highly stressful work environment the bedside nurse (BSRN) navigates while providing patient care. In response, virtual nursing (VNG) became an innovative solution to fill the gaps in healthcare delivery, and it continues to grow as a nursing discipline. The adoption of VNG, which facilitates real-time communication with BSRNs, presents challenges in maintaining trust and collaboration in a digital environment between the remote virtual nurse (RVN) and the BSRN. Barriers such as skepticism, misperceptions about the RVNs' role, and mistrust are discussed, alongside strategies to improve the working partnership between RVNs and BSRNs. The importance of gaining bedside leadership support, offering mentorship, offloading work from the BSRN, communication techniques, and practical interventions is suggested as potential steps the RVN can take to enhance their collaboration with the BSRN. This article proposes continued integration of VNG throughout diverse healthcare settings to potentially improve patient outcomes and expresses the urgent need for further research to improve the evolving RVN-BSRN partnership.</p>\",\"PeriodicalId\":43312,\"journal\":{\"name\":\"SAGE Open Nursing\",\"volume\":\"11 \",\"pages\":\"23779608251358714\"},\"PeriodicalIF\":2.5000,\"publicationDate\":\"2025-07-09\",\"publicationTypes\":\"Journal Article\",\"fieldsOfStudy\":null,\"isOpenAccess\":false,\"openAccessPdf\":\"https://www.ncbi.nlm.nih.gov/pmc/articles/PMC12254540/pdf/\",\"citationCount\":\"0\",\"resultStr\":null,\"platform\":\"Semanticscholar\",\"paperid\":null,\"PeriodicalName\":\"SAGE Open Nursing\",\"FirstCategoryId\":\"1085\",\"ListUrlMain\":\"https://doi.org/10.1177/23779608251358714\",\"RegionNum\":0,\"RegionCategory\":null,\"ArticlePicture\":[],\"TitleCN\":null,\"AbstractTextCN\":null,\"PMCID\":null,\"EPubDate\":\"2025/1/1 0:00:00\",\"PubModel\":\"eCollection\",\"JCR\":\"Q2\",\"JCRName\":\"NURSING\",\"Score\":null,\"Total\":0}","platform":"Semanticscholar","paperid":null,"PeriodicalName":"SAGE Open Nursing","FirstCategoryId":"1085","ListUrlMain":"https://doi.org/10.1177/23779608251358714","RegionNum":0,"RegionCategory":null,"ArticlePicture":[],"TitleCN":null,"AbstractTextCN":null,"PMCID":null,"EPubDate":"2025/1/1 0:00:00","PubModel":"eCollection","JCR":"Q2","JCRName":"NURSING","Score":null,"Total":0}
引用次数: 0

摘要

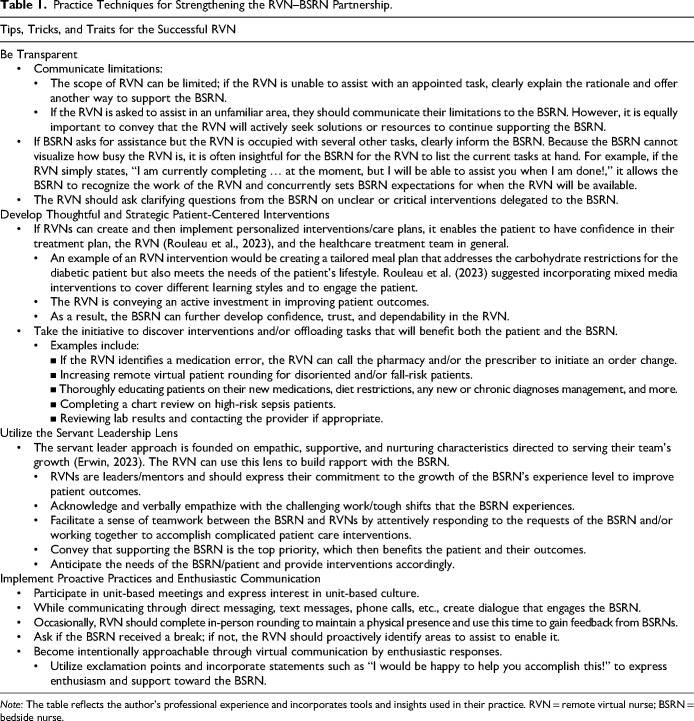
COVID-19大流行加剧了医疗保健专业人员面临的挑战;特别是,它暴露了床边护士(BSRN)在提供病人护理时所面临的高度紧张的工作环境。作为回应,虚拟护理(VNG)成为一种创新的解决方案,填补了医疗保健服务的空白,并作为一门护理学科不断发展。VNG的采用促进了与BSRN的实时通信,但在保持远程虚拟护士(RVN)和BSRN之间在数字环境中的信任和协作方面提出了挑战。讨论了诸如怀疑、对rvn角色的误解和不信任等障碍,以及改善rvn和bsrn之间工作伙伴关系的策略。获得床边领导支持、提供指导、减轻BSRN的工作、沟通技术和实际干预措施的重要性被建议为RVN可以采取的潜在步骤,以加强他们与BSRN的合作。本文建议在不同的医疗环境中继续整合VNG,以潜在地改善患者的预后,并表示迫切需要进一步研究,以改善不断发展的RVN-BSRN伙伴关系。
本文章由计算机程序翻译,如有差异,请以英文原文为准。

Exploring the Critical Relationship Between Virtual and Bedside Nurses.

Exploring the Critical Relationship Between Virtual and Bedside Nurses.

The COVID-19 pandemic has magnified the challenges faced by healthcare professionals; in particular, it exposed the highly stressful work environment the bedside nurse (BSRN) navigates while providing patient care. In response, virtual nursing (VNG) became an innovative solution to fill the gaps in healthcare delivery, and it continues to grow as a nursing discipline. The adoption of VNG, which facilitates real-time communication with BSRNs, presents challenges in maintaining trust and collaboration in a digital environment between the remote virtual nurse (RVN) and the BSRN. Barriers such as skepticism, misperceptions about the RVNs' role, and mistrust are discussed, alongside strategies to improve the working partnership between RVNs and BSRNs. The importance of gaining bedside leadership support, offering mentorship, offloading work from the BSRN, communication techniques, and practical interventions is suggested as potential steps the RVN can take to enhance their collaboration with the BSRN. This article proposes continued integration of VNG throughout diverse healthcare settings to potentially improve patient outcomes and expresses the urgent need for further research to improve the evolving RVN-BSRN partnership.

求助全文
通过发布文献求助,成功后即可免费获取论文全文。 去求助
来源期刊
CiteScore
2.10
自引率
5.00%
发文量
106
审稿时长
15 weeks
×
引用
GB/T 7714-2015
复制
MLA
复制
APA
复制
导出至
BibTeX EndNote RefMan NoteFirst NoteExpress
×
提示
您的信息不完整,为了账户安全,请先补充。
现在去补充
×
提示
您因"违规操作"
具体请查看互助需知
我知道了
×
提示
确定
请完成安全验证×
copy
已复制链接
快去分享给好友吧!
我知道了
右上角分享
点击右上角分享
0
联系我们:info@booksci.cn Book学术提供免费学术资源搜索服务,方便国内外学者检索中英文文献。致力于提供最便捷和优质的服务体验。 Copyright © 2023 布克学术 All rights reserved.
京ICP备2023020795号-1
ghs 京公网安备 11010802042870号
Book学术文献互助
Book学术文献互助群
群 号:604180095
Book学术官方微信