MIL-53(Al)@BaTiO3纳米复合材料分散微固相萃取海产品样品中的镉

IF 1.4 4区 化学 Q3 CHEMISTRY, MULTIDISCIPLINARY
Turkish Journal of Chemistry Pub Date : 2025-04-15 eCollection Date: 2025-01-01 DOI:10.55730/1300-0527.3733
Mustafa Soylak, Eda Bora, Furkan Uzcan
{"title":"MIL-53(Al)@BaTiO3纳米复合材料分散微固相萃取海产品样品中的镉","authors":"Mustafa Soylak, Eda Bora, Furkan Uzcan","doi":"10.55730/1300-0527.3733","DOIUrl":null,"url":null,"abstract":"<p><p>This study's main goal was to produce a user-friendly dispersive micro solid phase extraction (dmSPE) technique with a MIL-53(Al)@BaTiO<sub>3</sub> nanocomposite for the extraction and preconcentration of cadmium (Cd) in various seafood matrices, followed by using high-resolution continuum source flame atomic absorption spectrometry (HR-CS-FAAS). The MIL-53(Al)@BaTiO<sub>3</sub> nanocomposite was synthesized and characterized using a range of techniques, including Fourier-transform infrared spectroscopy, field emission scanning electron microscopy, scanning transmission electron microscopy, X-ray diffraction, and Brunauer-Emmett-Teller analysis. The dmSPE technique involved the dispersion of the MIL-53(Al)@BaTiO<sub>3</sub> material in the sample solution, followed by its separation from the sample matrix. The optimized method exhibited a linear range of 3.6-250 μg L<sup>-1</sup>, a limit of detection (LOD) of 1.2 μg L<sup>-1</sup>, and a preconcentration factor of 80. Two different certified reference materials were used to ensure the validation of developed method. The method was applied to different seafood samples.</p>","PeriodicalId":23367,"journal":{"name":"Turkish Journal of Chemistry","volume":"49 3","pages":"336-345"},"PeriodicalIF":1.4000,"publicationDate":"2025-04-15","publicationTypes":"Journal Article","fieldsOfStudy":null,"isOpenAccess":false,"openAccessPdf":"https://www.ncbi.nlm.nih.gov/pmc/articles/PMC12253969/pdf/","citationCount":"0","resultStr":"{\"title\":\"Dispersive micro solid phase extraction of cadmium on MIL-53(Al)@BaTiO<sub>3</sub> nanocomposite from seafood samples.\",\"authors\":\"Mustafa Soylak, Eda Bora, Furkan Uzcan\",\"doi\":\"10.55730/1300-0527.3733\",\"DOIUrl\":null,\"url\":null,\"abstract\":\"<p><p>This study's main goal was to produce a user-friendly dispersive micro solid phase extraction (dmSPE) technique with a MIL-53(Al)@BaTiO<sub>3</sub> nanocomposite for the extraction and preconcentration of cadmium (Cd) in various seafood matrices, followed by using high-resolution continuum source flame atomic absorption spectrometry (HR-CS-FAAS). The MIL-53(Al)@BaTiO<sub>3</sub> nanocomposite was synthesized and characterized using a range of techniques, including Fourier-transform infrared spectroscopy, field emission scanning electron microscopy, scanning transmission electron microscopy, X-ray diffraction, and Brunauer-Emmett-Teller analysis. The dmSPE technique involved the dispersion of the MIL-53(Al)@BaTiO<sub>3</sub> material in the sample solution, followed by its separation from the sample matrix. The optimized method exhibited a linear range of 3.6-250 μg L<sup>-1</sup>, a limit of detection (LOD) of 1.2 μg L<sup>-1</sup>, and a preconcentration factor of 80. Two different certified reference materials were used to ensure the validation of developed method. The method was applied to different seafood samples.</p>\",\"PeriodicalId\":23367,\"journal\":{\"name\":\"Turkish Journal of Chemistry\",\"volume\":\"49 3\",\"pages\":\"336-345\"},\"PeriodicalIF\":1.4000,\"publicationDate\":\"2025-04-15\",\"publicationTypes\":\"Journal Article\",\"fieldsOfStudy\":null,\"isOpenAccess\":false,\"openAccessPdf\":\"https://www.ncbi.nlm.nih.gov/pmc/articles/PMC12253969/pdf/\",\"citationCount\":\"0\",\"resultStr\":null,\"platform\":\"Semanticscholar\",\"paperid\":null,\"PeriodicalName\":\"Turkish Journal of Chemistry\",\"FirstCategoryId\":\"92\",\"ListUrlMain\":\"https://doi.org/10.55730/1300-0527.3733\",\"RegionNum\":4,\"RegionCategory\":\"化学\",\"ArticlePicture\":[],\"TitleCN\":null,\"AbstractTextCN\":null,\"PMCID\":null,\"EPubDate\":\"2025/1/1 0:00:00\",\"PubModel\":\"eCollection\",\"JCR\":\"Q3\",\"JCRName\":\"CHEMISTRY, MULTIDISCIPLINARY\",\"Score\":null,\"Total\":0}","platform":"Semanticscholar","paperid":null,"PeriodicalName":"Turkish Journal of Chemistry","FirstCategoryId":"92","ListUrlMain":"https://doi.org/10.55730/1300-0527.3733","RegionNum":4,"RegionCategory":"化学","ArticlePicture":[],"TitleCN":null,"AbstractTextCN":null,"PMCID":null,"EPubDate":"2025/1/1 0:00:00","PubModel":"eCollection","JCR":"Q3","JCRName":"CHEMISTRY, MULTIDISCIPLINARY","Score":null,"Total":0}
引用次数: 0

摘要

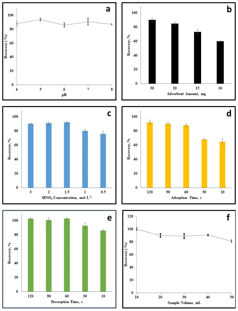
本研究的主要目标是利用MIL-53(Al)@BaTiO3纳米复合材料建立一种用户友好的分散微固相萃取(dmSPE)技术,用于提取和预富集各种海产品基质中的镉(Cd),然后使用高分辨率连续源火焰原子吸收光谱法(HR-CS-FAAS)。MIL-53(Al)@BaTiO3纳米复合材料的合成和表征使用了一系列技术,包括傅里叶变换红外光谱,场发射扫描电子显微镜,扫描透射电子显微镜,x射线衍射和布鲁诺尔-埃米特-泰勒分析。dmSPE技术涉及MIL-53(Al)@BaTiO3材料在样品溶液中的分散,然后从样品基质中分离。优化后的方法线性范围为3.6 ~ 250 μg L-1,检出限(LOD)为1.2 μg L-1,富集系数为80。采用了两种不同的标准物质,以确保所建立方法的有效性。该方法适用于不同的海产品样品。
本文章由计算机程序翻译,如有差异,请以英文原文为准。

Dispersive micro solid phase extraction of cadmium on MIL-53(Al)@BaTiO<sub>3</sub> nanocomposite from seafood samples.

Dispersive micro solid phase extraction of cadmium on MIL-53(Al)@BaTiO<sub>3</sub> nanocomposite from seafood samples.

Dispersive micro solid phase extraction of cadmium on MIL-53(Al)@BaTiO3 nanocomposite from seafood samples.

This study's main goal was to produce a user-friendly dispersive micro solid phase extraction (dmSPE) technique with a MIL-53(Al)@BaTiO3 nanocomposite for the extraction and preconcentration of cadmium (Cd) in various seafood matrices, followed by using high-resolution continuum source flame atomic absorption spectrometry (HR-CS-FAAS). The MIL-53(Al)@BaTiO3 nanocomposite was synthesized and characterized using a range of techniques, including Fourier-transform infrared spectroscopy, field emission scanning electron microscopy, scanning transmission electron microscopy, X-ray diffraction, and Brunauer-Emmett-Teller analysis. The dmSPE technique involved the dispersion of the MIL-53(Al)@BaTiO3 material in the sample solution, followed by its separation from the sample matrix. The optimized method exhibited a linear range of 3.6-250 μg L-1, a limit of detection (LOD) of 1.2 μg L-1, and a preconcentration factor of 80. Two different certified reference materials were used to ensure the validation of developed method. The method was applied to different seafood samples.

求助全文
通过发布文献求助,成功后即可免费获取论文全文。 去求助
来源期刊
Turkish Journal of Chemistry
Turkish Journal of Chemistry 化学-工程:化工
CiteScore
2.40
自引率
7.10%
发文量
87
审稿时长
3 months
期刊介绍: The Turkish Journal of Chemistry is a bimonthly multidisciplinary journal published by the Scientific and Technological Research Council of Turkey (TÜBİTAK). The journal is dedicated to dissemination of knowledge in all disciplines of chemistry (organic, inorganic, physical, polymeric, technical, theoretical and analytical chemistry) as well as research at the interface with other sciences especially in chemical engineering where molecular aspects are key to the findings. The journal accepts English-language original manuscripts and contribution is open to researchers of all nationalities. The journal publishes refereed original papers, reviews, letters to editor and issues devoted to special fields. All manuscripts are peer-reviewed and electronic processing ensures accurate reproduction of text and data, plus publication times as short as possible.
×
引用
GB/T 7714-2015
复制
MLA
复制
APA
复制
导出至
BibTeX EndNote RefMan NoteFirst NoteExpress
×
提示
您的信息不完整,为了账户安全,请先补充。
现在去补充
×
提示
您因"违规操作"
具体请查看互助需知
我知道了
×
提示
确定
请完成安全验证×
copy
已复制链接
快去分享给好友吧!
我知道了
右上角分享
点击右上角分享
0
联系我们:info@booksci.cn Book学术提供免费学术资源搜索服务,方便国内外学者检索中英文文献。致力于提供最便捷和优质的服务体验。 Copyright © 2023 布克学术 All rights reserved.
京ICP备2023020795号-1
ghs 京公网安备 11010802042870号
Book学术文献互助
Book学术文献互助群
群 号:604180095
Book学术官方微信