Super-ARMS检测晚期非小细胞肺癌EGFR突变的生物标志物及预后价值

IF 2.8 4区 医学 Q3 BIOTECHNOLOGY & APPLIED MICROBIOLOGY
OncoTargets and therapy Pub Date : 2025-07-08 eCollection Date: 2025-01-01 DOI:10.2147/OTT.S518837
Huicong Liu, Hui Li, Lisha Xiao, Yubiao Guo, Gengpeng Lin
{"title":"Super-ARMS检测晚期非小细胞肺癌EGFR突变的生物标志物及预后价值","authors":"Huicong Liu, Hui Li, Lisha Xiao, Yubiao Guo, Gengpeng Lin","doi":"10.2147/OTT.S518837","DOIUrl":null,"url":null,"abstract":"<p><strong>Background: </strong>ctDNA is a non-invasive and convenient method for detecting EGFR mutations in non-small cell lung cancer (NSCLC). However, its sensitivity is lower than that of tissue-based testing. To enhance ctDNA detection efficiency, we identified the patient population most suitable for ctDNA testing, assessed the relationship between ctDNA and tumor markers, and examined the clinical significance of ctDNA in medical practice.</p><p><strong>Methods: </strong>A single-center retrospective study was conducted, including 135 patients with NSCLC who underwent histological and liquid Super-ARMS tests. Of these, 92 patients with EGFR mutations detected in both tumor tissue and plasma were classified into the EGFR<sup>t+, p+</sup> group, while 43 patients with EGFR mutations detected only in tumor tissue were classified into the EGFR<sup>t+, p-</sup> group. The clinical features and outcomes between these two groups were compared.</p><p><strong>Results: </strong>The positivity rate of Super-ARMS test was 68.1% (92/135). The presence of EGFR<sup>t+, p+</sup> in the Super-ARMS test was significantly associated with pleural effusion, bone, liver, and multiple organ metastases. Compared to the EGFR<sup>t+, p+</sup> group, the EGFR<sup>t+, p-</sup> group had a significantly better PFS (<i>P</i> < 0.01). Carcinoembryonic antigen (CEA) levels demonstrated a strong predictive value for identifying plasma EGFR-mutated patients (AUC 0.828, sensitivity 68.8%, specificity 84.4%), while Maximum Standardized Uptake Value (SUV<sub>max</sub>) also showed diagnostic value for plasma EGFR-mutated patients (AUC 0.78). Additionally, combination of TP53 and EGFR mutations in plasma provided improved risk stratification for PFS (<i>P</i> < 0.001).</p><p><strong>Conclusion: </strong>Patients exhibiting metastasis, elevated levels of tumor markers and SUV<sub>max</sub> are more suitable for plasma EGFR mutation testing in clinical NSCLC management. Moreover, a positive plasma ctDNA test not only guides targeted therapy but also predicts a worse prognosis.</p>","PeriodicalId":19534,"journal":{"name":"OncoTargets and therapy","volume":"18 ","pages":"789-801"},"PeriodicalIF":2.8000,"publicationDate":"2025-07-08","publicationTypes":"Journal Article","fieldsOfStudy":null,"isOpenAccess":false,"openAccessPdf":"https://www.ncbi.nlm.nih.gov/pmc/articles/PMC12255349/pdf/","citationCount":"0","resultStr":"{\"title\":\"Biomarker and Prognostic Value of Super-ARMS Detection for EGFR Mutation in Advanced NSCLC.\",\"authors\":\"Huicong Liu, Hui Li, Lisha Xiao, Yubiao Guo, Gengpeng Lin\",\"doi\":\"10.2147/OTT.S518837\",\"DOIUrl\":null,\"url\":null,\"abstract\":\"<p><strong>Background: </strong>ctDNA is a non-invasive and convenient method for detecting EGFR mutations in non-small cell lung cancer (NSCLC). However, its sensitivity is lower than that of tissue-based testing. To enhance ctDNA detection efficiency, we identified the patient population most suitable for ctDNA testing, assessed the relationship between ctDNA and tumor markers, and examined the clinical significance of ctDNA in medical practice.</p><p><strong>Methods: </strong>A single-center retrospective study was conducted, including 135 patients with NSCLC who underwent histological and liquid Super-ARMS tests. Of these, 92 patients with EGFR mutations detected in both tumor tissue and plasma were classified into the EGFR<sup>t+, p+</sup> group, while 43 patients with EGFR mutations detected only in tumor tissue were classified into the EGFR<sup>t+, p-</sup> group. The clinical features and outcomes between these two groups were compared.</p><p><strong>Results: </strong>The positivity rate of Super-ARMS test was 68.1% (92/135). The presence of EGFR<sup>t+, p+</sup> in the Super-ARMS test was significantly associated with pleural effusion, bone, liver, and multiple organ metastases. Compared to the EGFR<sup>t+, p+</sup> group, the EGFR<sup>t+, p-</sup> group had a significantly better PFS (<i>P</i> < 0.01). Carcinoembryonic antigen (CEA) levels demonstrated a strong predictive value for identifying plasma EGFR-mutated patients (AUC 0.828, sensitivity 68.8%, specificity 84.4%), while Maximum Standardized Uptake Value (SUV<sub>max</sub>) also showed diagnostic value for plasma EGFR-mutated patients (AUC 0.78). Additionally, combination of TP53 and EGFR mutations in plasma provided improved risk stratification for PFS (<i>P</i> < 0.001).</p><p><strong>Conclusion: </strong>Patients exhibiting metastasis, elevated levels of tumor markers and SUV<sub>max</sub> are more suitable for plasma EGFR mutation testing in clinical NSCLC management. Moreover, a positive plasma ctDNA test not only guides targeted therapy but also predicts a worse prognosis.</p>\",\"PeriodicalId\":19534,\"journal\":{\"name\":\"OncoTargets and therapy\",\"volume\":\"18 \",\"pages\":\"789-801\"},\"PeriodicalIF\":2.8000,\"publicationDate\":\"2025-07-08\",\"publicationTypes\":\"Journal Article\",\"fieldsOfStudy\":null,\"isOpenAccess\":false,\"openAccessPdf\":\"https://www.ncbi.nlm.nih.gov/pmc/articles/PMC12255349/pdf/\",\"citationCount\":\"0\",\"resultStr\":null,\"platform\":\"Semanticscholar\",\"paperid\":null,\"PeriodicalName\":\"OncoTargets and therapy\",\"FirstCategoryId\":\"3\",\"ListUrlMain\":\"https://doi.org/10.2147/OTT.S518837\",\"RegionNum\":4,\"RegionCategory\":\"医学\",\"ArticlePicture\":[],\"TitleCN\":null,\"AbstractTextCN\":null,\"PMCID\":null,\"EPubDate\":\"2025/1/1 0:00:00\",\"PubModel\":\"eCollection\",\"JCR\":\"Q3\",\"JCRName\":\"BIOTECHNOLOGY & APPLIED MICROBIOLOGY\",\"Score\":null,\"Total\":0}","platform":"Semanticscholar","paperid":null,"PeriodicalName":"OncoTargets and therapy","FirstCategoryId":"3","ListUrlMain":"https://doi.org/10.2147/OTT.S518837","RegionNum":4,"RegionCategory":"医学","ArticlePicture":[],"TitleCN":null,"AbstractTextCN":null,"PMCID":null,"EPubDate":"2025/1/1 0:00:00","PubModel":"eCollection","JCR":"Q3","JCRName":"BIOTECHNOLOGY & APPLIED MICROBIOLOGY","Score":null,"Total":0}
引用次数: 0

摘要

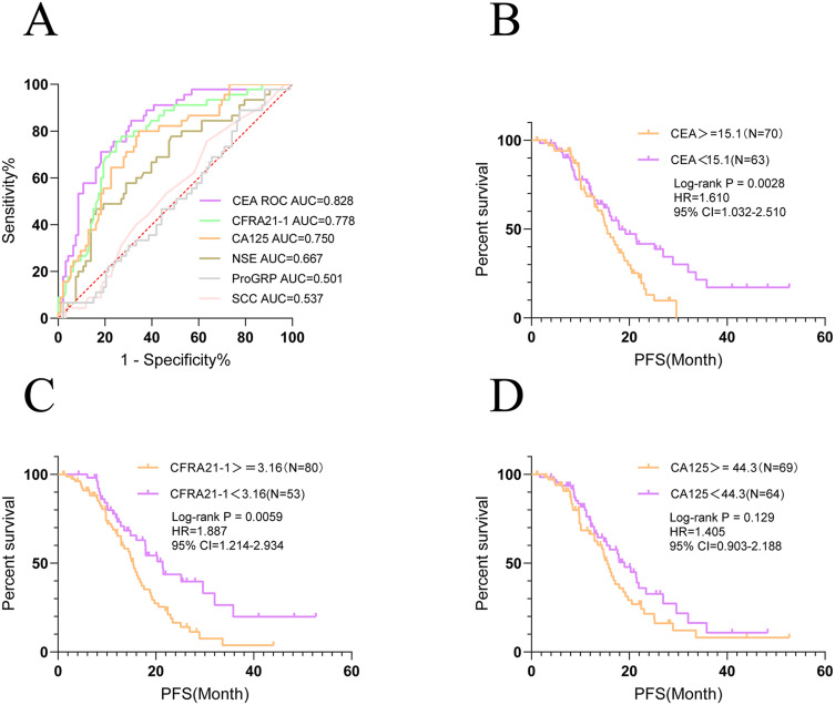
背景:ctDNA是检测非小细胞肺癌(NSCLC)中EGFR突变的一种无创、便捷的方法。但其灵敏度低于基于组织的检测。为了提高ctDNA的检测效率,我们确定了最适合ctDNA检测的患者群体,评估了ctDNA与肿瘤标志物的关系,并检验了ctDNA在医疗实践中的临床意义。方法:采用单中心回顾性研究,纳入135例接受组织学和液体Super-ARMS试验的NSCLC患者。其中92例在肿瘤组织和血浆中均检测到EGFR突变的患者被分为EGFRt+, p+组,43例仅在肿瘤组织中检测到EGFR突变的患者被分为EGFRt+, p-组。比较两组患者的临床特点及预后。结果:Super-ARMS检测阳性率为68.1%(92/135)。在Super-ARMS试验中,EGFRt+、p+的存在与胸腔积液、骨、肝和多器官转移显著相关。与EGFRt+、p+组相比,EGFRt+、p-组PFS显著提高(p < 0.01)。癌胚抗原(CEA)水平对血浆egfr突变患者具有较强的预测价值(AUC 0.828,敏感性68.8%,特异性84.4%),而最大标准化摄取值(SUVmax)对血浆egfr突变患者也具有诊断价值(AUC 0.78)。此外,血浆中TP53和EGFR突变的结合改善了PFS的风险分层(P < 0.001)。结论:在非小细胞肺癌的临床治疗中,出现转移、肿瘤标志物和SUVmax水平升高的患者更适合进行血浆EGFR突变检测。此外,血浆ctDNA检测阳性不仅可以指导靶向治疗,还可以预测较差的预后。
本文章由计算机程序翻译,如有差异,请以英文原文为准。

Biomarker and Prognostic Value of Super-ARMS Detection for EGFR Mutation in Advanced NSCLC.

Biomarker and Prognostic Value of Super-ARMS Detection for EGFR Mutation in Advanced NSCLC.

Biomarker and Prognostic Value of Super-ARMS Detection for EGFR Mutation in Advanced NSCLC.

Biomarker and Prognostic Value of Super-ARMS Detection for EGFR Mutation in Advanced NSCLC.

Background: ctDNA is a non-invasive and convenient method for detecting EGFR mutations in non-small cell lung cancer (NSCLC). However, its sensitivity is lower than that of tissue-based testing. To enhance ctDNA detection efficiency, we identified the patient population most suitable for ctDNA testing, assessed the relationship between ctDNA and tumor markers, and examined the clinical significance of ctDNA in medical practice.

Methods: A single-center retrospective study was conducted, including 135 patients with NSCLC who underwent histological and liquid Super-ARMS tests. Of these, 92 patients with EGFR mutations detected in both tumor tissue and plasma were classified into the EGFRt+, p+ group, while 43 patients with EGFR mutations detected only in tumor tissue were classified into the EGFRt+, p- group. The clinical features and outcomes between these two groups were compared.

Results: The positivity rate of Super-ARMS test was 68.1% (92/135). The presence of EGFRt+, p+ in the Super-ARMS test was significantly associated with pleural effusion, bone, liver, and multiple organ metastases. Compared to the EGFRt+, p+ group, the EGFRt+, p- group had a significantly better PFS (P < 0.01). Carcinoembryonic antigen (CEA) levels demonstrated a strong predictive value for identifying plasma EGFR-mutated patients (AUC 0.828, sensitivity 68.8%, specificity 84.4%), while Maximum Standardized Uptake Value (SUVmax) also showed diagnostic value for plasma EGFR-mutated patients (AUC 0.78). Additionally, combination of TP53 and EGFR mutations in plasma provided improved risk stratification for PFS (P < 0.001).

Conclusion: Patients exhibiting metastasis, elevated levels of tumor markers and SUVmax are more suitable for plasma EGFR mutation testing in clinical NSCLC management. Moreover, a positive plasma ctDNA test not only guides targeted therapy but also predicts a worse prognosis.

求助全文
通过发布文献求助,成功后即可免费获取论文全文。 去求助
来源期刊
OncoTargets and therapy
OncoTargets and therapy BIOTECHNOLOGY & APPLIED MICROBIOLOGY-ONCOLOGY
CiteScore
9.70
自引率
0.00%
发文量
221
审稿时长
1 months
期刊介绍: OncoTargets and Therapy is an international, peer-reviewed journal focusing on molecular aspects of cancer research, that is, the molecular diagnosis of and targeted molecular or precision therapy for all types of cancer. The journal is characterized by the rapid reporting of high-quality original research, basic science, reviews and evaluations, expert opinion and commentary that shed novel insight on a cancer or cancer subtype. Specific topics covered by the journal include: -Novel therapeutic targets and innovative agents -Novel therapeutic regimens for improved benefit and/or decreased side effects -Early stage clinical trials Further considerations when submitting to OncoTargets and Therapy: -Studies containing in vivo animal model data will be considered favorably. -Tissue microarray analyses will not be considered except in cases where they are supported by comprehensive biological studies involving multiple cell lines. -Biomarker association studies will be considered only when validated by comprehensive in vitro data and analysis of human tissue samples. -Studies utilizing publicly available data (e.g. GWAS/TCGA/GEO etc.) should add to the body of knowledge about a specific disease or relevant phenotype and must be validated using the authors’ own data through replication in an independent sample set and functional follow-up. -Bioinformatics studies must be validated using the authors’ own data through replication in an independent sample set and functional follow-up. -Single nucleotide polymorphism (SNP) studies will not be considered.
×
引用
GB/T 7714-2015
复制
MLA
复制
APA
复制
导出至
BibTeX EndNote RefMan NoteFirst NoteExpress
×
提示
您的信息不完整,为了账户安全,请先补充。
现在去补充
×
提示
您因"违规操作"
具体请查看互助需知
我知道了
×
提示
确定
请完成安全验证×
copy
已复制链接
快去分享给好友吧!
我知道了
右上角分享
点击右上角分享
0
联系我们:info@booksci.cn Book学术提供免费学术资源搜索服务,方便国内外学者检索中英文文献。致力于提供最便捷和优质的服务体验。 Copyright © 2023 布克学术 All rights reserved.
京ICP备2023020795号-1
ghs 京公网安备 11010802042870号
Book学术文献互助
Book学术文献互助群
群 号:604180095
Book学术官方微信