先前的人类地方性冠状病毒暴露不影响对SARS-CoV-2蛋白疫苗的体液反应。

IF 6.5 1区 医学 Q1 IMMUNOLOGY
Guy de Bruyn, Haritha Adhikarla, Caroline K Brackett, Yichen Jia, Premkumar Lakshmanane, Sarah V Mudrak, Sheetal Sawant, Donghui Zhang, Roman M Chicz, Saranya Sridhar, Georgia D Tomaras, Kelly E Seaton
{"title":"先前的人类地方性冠状病毒暴露不影响对SARS-CoV-2蛋白疫苗的体液反应。","authors":"Guy de Bruyn, Haritha Adhikarla, Caroline K Brackett, Yichen Jia, Premkumar Lakshmanane, Sarah V Mudrak, Sheetal Sawant, Donghui Zhang, Roman M Chicz, Saranya Sridhar, Georgia D Tomaras, Kelly E Seaton","doi":"10.1038/s41541-025-01203-z","DOIUrl":null,"url":null,"abstract":"<p><p>We included measurement of pre-existing immunity to human endemic coronaviruses (HCoV) in a Phase I/II study of SARS-CoV-2 spike protein vaccine candidates. A Binding Antibody Multiplex Assay measured HCoV-specific IgG to the receptor binding domain or full-length spike of human coronaviruses HKU1, 229E, NL63, and OC43. We found no evidence for the impact of HCoV antibodies on neutralizing and binding antibody responses to the candidate SARS-CoV-2 vaccines.</p>","PeriodicalId":19335,"journal":{"name":"NPJ Vaccines","volume":"10 1","pages":"153"},"PeriodicalIF":6.5000,"publicationDate":"2025-07-13","publicationTypes":"Journal Article","fieldsOfStudy":null,"isOpenAccess":false,"openAccessPdf":"https://www.ncbi.nlm.nih.gov/pmc/articles/PMC12256584/pdf/","citationCount":"0","resultStr":"{\"title\":\"Prior human endemic coronavirus exposure does not affect humoral responses to SARS-CoV-2 protein vaccines.\",\"authors\":\"Guy de Bruyn, Haritha Adhikarla, Caroline K Brackett, Yichen Jia, Premkumar Lakshmanane, Sarah V Mudrak, Sheetal Sawant, Donghui Zhang, Roman M Chicz, Saranya Sridhar, Georgia D Tomaras, Kelly E Seaton\",\"doi\":\"10.1038/s41541-025-01203-z\",\"DOIUrl\":null,\"url\":null,\"abstract\":\"<p><p>We included measurement of pre-existing immunity to human endemic coronaviruses (HCoV) in a Phase I/II study of SARS-CoV-2 spike protein vaccine candidates. A Binding Antibody Multiplex Assay measured HCoV-specific IgG to the receptor binding domain or full-length spike of human coronaviruses HKU1, 229E, NL63, and OC43. We found no evidence for the impact of HCoV antibodies on neutralizing and binding antibody responses to the candidate SARS-CoV-2 vaccines.</p>\",\"PeriodicalId\":19335,\"journal\":{\"name\":\"NPJ Vaccines\",\"volume\":\"10 1\",\"pages\":\"153\"},\"PeriodicalIF\":6.5000,\"publicationDate\":\"2025-07-13\",\"publicationTypes\":\"Journal Article\",\"fieldsOfStudy\":null,\"isOpenAccess\":false,\"openAccessPdf\":\"https://www.ncbi.nlm.nih.gov/pmc/articles/PMC12256584/pdf/\",\"citationCount\":\"0\",\"resultStr\":null,\"platform\":\"Semanticscholar\",\"paperid\":null,\"PeriodicalName\":\"NPJ Vaccines\",\"FirstCategoryId\":\"3\",\"ListUrlMain\":\"https://doi.org/10.1038/s41541-025-01203-z\",\"RegionNum\":1,\"RegionCategory\":\"医学\",\"ArticlePicture\":[],\"TitleCN\":null,\"AbstractTextCN\":null,\"PMCID\":null,\"EPubDate\":\"\",\"PubModel\":\"\",\"JCR\":\"Q1\",\"JCRName\":\"IMMUNOLOGY\",\"Score\":null,\"Total\":0}","platform":"Semanticscholar","paperid":null,"PeriodicalName":"NPJ Vaccines","FirstCategoryId":"3","ListUrlMain":"https://doi.org/10.1038/s41541-025-01203-z","RegionNum":1,"RegionCategory":"医学","ArticlePicture":[],"TitleCN":null,"AbstractTextCN":null,"PMCID":null,"EPubDate":"","PubModel":"","JCR":"Q1","JCRName":"IMMUNOLOGY","Score":null,"Total":0}
引用次数: 0

摘要

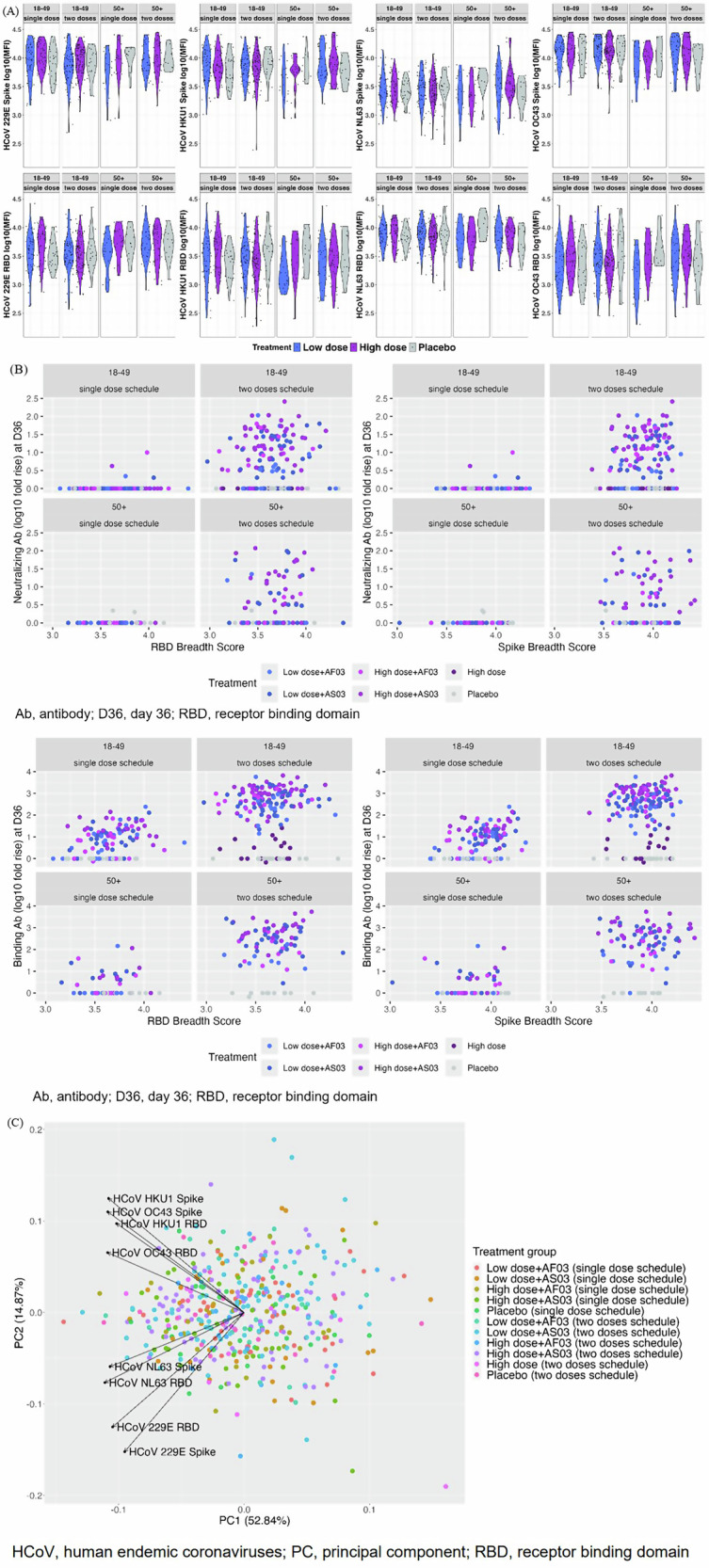
在SARS-CoV-2刺突蛋白候选疫苗的I/II期研究中,我们纳入了对人类地方性冠状病毒(HCoV)预先免疫的测量。结合抗体多重试验测定hcov特异性IgG对人冠状病毒HKU1、229E、NL63和OC43的受体结合域或全长刺突的影响。我们没有发现HCoV抗体对候选SARS-CoV-2疫苗的中和和结合抗体反应有影响的证据。
本文章由计算机程序翻译,如有差异,请以英文原文为准。

Prior human endemic coronavirus exposure does not affect humoral responses to SARS-CoV-2 protein vaccines.

Prior human endemic coronavirus exposure does not affect humoral responses to SARS-CoV-2 protein vaccines.

We included measurement of pre-existing immunity to human endemic coronaviruses (HCoV) in a Phase I/II study of SARS-CoV-2 spike protein vaccine candidates. A Binding Antibody Multiplex Assay measured HCoV-specific IgG to the receptor binding domain or full-length spike of human coronaviruses HKU1, 229E, NL63, and OC43. We found no evidence for the impact of HCoV antibodies on neutralizing and binding antibody responses to the candidate SARS-CoV-2 vaccines.

求助全文
通过发布文献求助,成功后即可免费获取论文全文。 去求助
来源期刊
NPJ Vaccines
NPJ Vaccines Immunology and Microbiology-Immunology
CiteScore
11.90
自引率
4.30%
发文量
146
审稿时长
11 weeks
期刊介绍: Online-only and open access, npj Vaccines is dedicated to highlighting the most important scientific advances in vaccine research and development.
×
引用
GB/T 7714-2015
复制
MLA
复制
APA
复制
导出至
BibTeX EndNote RefMan NoteFirst NoteExpress
×
提示
您的信息不完整,为了账户安全,请先补充。
现在去补充
×
提示
您因"违规操作"
具体请查看互助需知
我知道了
×
提示
确定
请完成安全验证×
copy
已复制链接
快去分享给好友吧!
我知道了
右上角分享
点击右上角分享
0
联系我们:info@booksci.cn Book学术提供免费学术资源搜索服务,方便国内外学者检索中英文文献。致力于提供最便捷和优质的服务体验。 Copyright © 2023 布克学术 All rights reserved.
京ICP备2023020795号-1
ghs 京公网安备 11010802042870号
Book学术文献互助
Book学术文献互助群
群 号:604180095
Book学术官方微信