低钴胺血症和高钴胺血症在英国猫的转诊人群的患病率及其与临床表现,诊断和预后的相关性。

IF 2.1 2区 农林科学 Q2 VETERINARY SCIENCES
Journal of Feline Medicine and Surgery Pub Date : 2025-07-01 Epub Date: 2025-07-14 DOI:10.1177/1098612X251341539
Simona Borgonovi, Will Bayton
{"title":"低钴胺血症和高钴胺血症在英国猫的转诊人群的患病率及其与临床表现,诊断和预后的相关性。","authors":"Simona Borgonovi, Will Bayton","doi":"10.1177/1098612X251341539","DOIUrl":null,"url":null,"abstract":"<p><p>ObjectivesThis study aimed to assess the prevalence of hypocobalaminaemia (B12 <400 pg/ml) and hypercobalaminaemia (B12 >1000 pg/ml), describe the clinicopathological abnormalities and the diagnostic imaging findings in a referral population of cats in the UK, and identify the underlying disease processes associated with both conditions.MethodsA retrospective study of cats that had their serum cobalamin concentration assessed between December 2016 and December 2023 at a single referral hospital; 216 cats were included. Patient outcome was established from the clinical records.ResultsA total of 76 (35%) cats had hypocobalaminaemia and 67 (31%) cats had hypercobalaminaemia. The most common diagnoses were chronic enteropathy (CE) in 39/76 (51%) hypocobalaminaemic cats and 39/67 (58%) hypercobalaminaemic cats (<i>P</i> = 0.001), and high-grade lymphoma in 14/76 (18%) hypocobalaminaemic cats and 11/67 (16%) hypercobalaminaemic cats (<i>P</i> = 0.438). The most common clinical signs were chronic vomiting in 36/76 (47%) hypocobalaminaemic cats and 24/67 (36%) hypercobalaminaemic cats (<i>P</i> = 0.005), hyporexia in 40/76 (53%) hypocobalaminaemic cats and 21/67 (31%) hypercobalaminaemic cats (<i>P</i> <0.001), and chronic diarrhoea in 12/76 (16%) hypocobalaminaemic cats and 21/67 (31%) hypercobalaminaemic cats (<i>P</i> = 0.001). The most common abnormalities identified on abdominal ultrasound were lymphadenomegaly and thickened intestines in 49/76 (64%) hypocobalaminaemic cats and 28/67 (42%) hypercobalaminaemic cats (<i>P</i> = 0.0025). Median survival time was 274 days in the hypocobalaminaemic group and 711 days in the hypercobalaminaemic group (<i>P</i> = 0.001). The hypocobalaminaemic cats exhibited significantly reduced survival time compared with hypercobalaminaemic cats (odds ratio 2.4 vs 0.4, respectively) (<i>P</i> <0.001).Conclusions and relevanceThis study suggests that cobalamin has limited diagnostic utility in differentiating between underlying disease processes; chronic diarrhoea and CE are more common in hypercobalaminaemic cats in contrast with the previous literature. Hypocobalaminaemia is associated with reduced survival in this cohort of cats; therefore, early cobalamin supplementation is recommended.</p>","PeriodicalId":15851,"journal":{"name":"Journal of Feline Medicine and Surgery","volume":"27 7","pages":"1098612X251341539"},"PeriodicalIF":2.1000,"publicationDate":"2025-07-01","publicationTypes":"Journal Article","fieldsOfStudy":null,"isOpenAccess":false,"openAccessPdf":"https://www.ncbi.nlm.nih.gov/pmc/articles/PMC12260385/pdf/","citationCount":"0","resultStr":"{\"title\":\"Prevalence of hypocobalaminaemia and hypercobalaminaemia in a referral population of cats in the UK and its relevance to clinical presentation, diagnosis and prognosis.\",\"authors\":\"Simona Borgonovi, Will Bayton\",\"doi\":\"10.1177/1098612X251341539\",\"DOIUrl\":null,\"url\":null,\"abstract\":\"<p><p>ObjectivesThis study aimed to assess the prevalence of hypocobalaminaemia (B12 <400 pg/ml) and hypercobalaminaemia (B12 >1000 pg/ml), describe the clinicopathological abnormalities and the diagnostic imaging findings in a referral population of cats in the UK, and identify the underlying disease processes associated with both conditions.MethodsA retrospective study of cats that had their serum cobalamin concentration assessed between December 2016 and December 2023 at a single referral hospital; 216 cats were included. Patient outcome was established from the clinical records.ResultsA total of 76 (35%) cats had hypocobalaminaemia and 67 (31%) cats had hypercobalaminaemia. The most common diagnoses were chronic enteropathy (CE) in 39/76 (51%) hypocobalaminaemic cats and 39/67 (58%) hypercobalaminaemic cats (<i>P</i> = 0.001), and high-grade lymphoma in 14/76 (18%) hypocobalaminaemic cats and 11/67 (16%) hypercobalaminaemic cats (<i>P</i> = 0.438). The most common clinical signs were chronic vomiting in 36/76 (47%) hypocobalaminaemic cats and 24/67 (36%) hypercobalaminaemic cats (<i>P</i> = 0.005), hyporexia in 40/76 (53%) hypocobalaminaemic cats and 21/67 (31%) hypercobalaminaemic cats (<i>P</i> <0.001), and chronic diarrhoea in 12/76 (16%) hypocobalaminaemic cats and 21/67 (31%) hypercobalaminaemic cats (<i>P</i> = 0.001). The most common abnormalities identified on abdominal ultrasound were lymphadenomegaly and thickened intestines in 49/76 (64%) hypocobalaminaemic cats and 28/67 (42%) hypercobalaminaemic cats (<i>P</i> = 0.0025). Median survival time was 274 days in the hypocobalaminaemic group and 711 days in the hypercobalaminaemic group (<i>P</i> = 0.001). The hypocobalaminaemic cats exhibited significantly reduced survival time compared with hypercobalaminaemic cats (odds ratio 2.4 vs 0.4, respectively) (<i>P</i> <0.001).Conclusions and relevanceThis study suggests that cobalamin has limited diagnostic utility in differentiating between underlying disease processes; chronic diarrhoea and CE are more common in hypercobalaminaemic cats in contrast with the previous literature. Hypocobalaminaemia is associated with reduced survival in this cohort of cats; therefore, early cobalamin supplementation is recommended.</p>\",\"PeriodicalId\":15851,\"journal\":{\"name\":\"Journal of Feline Medicine and Surgery\",\"volume\":\"27 7\",\"pages\":\"1098612X251341539\"},\"PeriodicalIF\":2.1000,\"publicationDate\":\"2025-07-01\",\"publicationTypes\":\"Journal Article\",\"fieldsOfStudy\":null,\"isOpenAccess\":false,\"openAccessPdf\":\"https://www.ncbi.nlm.nih.gov/pmc/articles/PMC12260385/pdf/\",\"citationCount\":\"0\",\"resultStr\":null,\"platform\":\"Semanticscholar\",\"paperid\":null,\"PeriodicalName\":\"Journal of Feline Medicine and Surgery\",\"FirstCategoryId\":\"97\",\"ListUrlMain\":\"https://doi.org/10.1177/1098612X251341539\",\"RegionNum\":2,\"RegionCategory\":\"农林科学\",\"ArticlePicture\":[],\"TitleCN\":null,\"AbstractTextCN\":null,\"PMCID\":null,\"EPubDate\":\"2025/7/14 0:00:00\",\"PubModel\":\"Epub\",\"JCR\":\"Q2\",\"JCRName\":\"VETERINARY SCIENCES\",\"Score\":null,\"Total\":0}","platform":"Semanticscholar","paperid":null,"PeriodicalName":"Journal of Feline Medicine and Surgery","FirstCategoryId":"97","ListUrlMain":"https://doi.org/10.1177/1098612X251341539","RegionNum":2,"RegionCategory":"农林科学","ArticlePicture":[],"TitleCN":null,"AbstractTextCN":null,"PMCID":null,"EPubDate":"2025/7/14 0:00:00","PubModel":"Epub","JCR":"Q2","JCRName":"VETERINARY SCIENCES","Score":null,"Total":0}
引用次数: 0

摘要

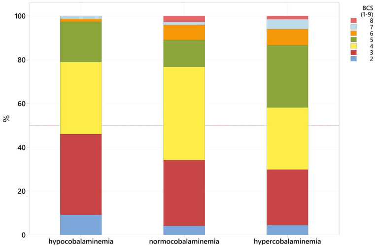
本研究旨在评估低钴胺血症(B12 1000 pg/ml)的患病率,描述英国猫转诊人群的临床病理异常和诊断成像结果,并确定与这两种情况相关的潜在疾病过程。方法对2016年12月至2023年12月在一家转诊医院进行血清钴胺素浓度评估的猫进行回顾性研究;共纳入216只猫。根据临床记录确定患者预后。结果低钴胺血症76只(35%),高钴胺血症67只(31%)。在39/76(51%)低钴胺血症猫和39/67(58%)高钴胺血症猫中最常见的诊断是慢性肠病(CE) (P = 0.001), 14/76(18%)低钴胺血症猫和11/67(16%)高钴胺血症猫中最常见的诊断是高级别淋巴瘤(P = 0.438)。36/76(47%)低钴胺血症猫和24/67(36%)高钴胺血症猫最常见的临床症状是慢性呕吐(P = 0.005), 40/76(53%)低钴胺血症猫和21/67(31%)高钴胺血症猫最常见的临床症状是缺氧(P = 0.001)。在49/76(64%)低钴胺血症猫和28/67(42%)高钴胺血症猫中,腹部超声检查发现的最常见异常是淋巴肿大和肠道增厚(P = 0.0025)。低钴胺血症组的中位生存时间为274天,高钴胺血症组的中位生存时间为711天(P = 0.001)。与高钴胺血症猫相比,低钴胺血症猫的生存时间明显缩短(优势比分别为2.4 vs 0.4)
本文章由计算机程序翻译,如有差异,请以英文原文为准。

Prevalence of hypocobalaminaemia and hypercobalaminaemia in a referral population of cats in the UK and its relevance to clinical presentation, diagnosis and prognosis.

Prevalence of hypocobalaminaemia and hypercobalaminaemia in a referral population of cats in the UK and its relevance to clinical presentation, diagnosis and prognosis.

Prevalence of hypocobalaminaemia and hypercobalaminaemia in a referral population of cats in the UK and its relevance to clinical presentation, diagnosis and prognosis.

Prevalence of hypocobalaminaemia and hypercobalaminaemia in a referral population of cats in the UK and its relevance to clinical presentation, diagnosis and prognosis.

ObjectivesThis study aimed to assess the prevalence of hypocobalaminaemia (B12 <400 pg/ml) and hypercobalaminaemia (B12 >1000 pg/ml), describe the clinicopathological abnormalities and the diagnostic imaging findings in a referral population of cats in the UK, and identify the underlying disease processes associated with both conditions.MethodsA retrospective study of cats that had their serum cobalamin concentration assessed between December 2016 and December 2023 at a single referral hospital; 216 cats were included. Patient outcome was established from the clinical records.ResultsA total of 76 (35%) cats had hypocobalaminaemia and 67 (31%) cats had hypercobalaminaemia. The most common diagnoses were chronic enteropathy (CE) in 39/76 (51%) hypocobalaminaemic cats and 39/67 (58%) hypercobalaminaemic cats (P = 0.001), and high-grade lymphoma in 14/76 (18%) hypocobalaminaemic cats and 11/67 (16%) hypercobalaminaemic cats (P = 0.438). The most common clinical signs were chronic vomiting in 36/76 (47%) hypocobalaminaemic cats and 24/67 (36%) hypercobalaminaemic cats (P = 0.005), hyporexia in 40/76 (53%) hypocobalaminaemic cats and 21/67 (31%) hypercobalaminaemic cats (P <0.001), and chronic diarrhoea in 12/76 (16%) hypocobalaminaemic cats and 21/67 (31%) hypercobalaminaemic cats (P = 0.001). The most common abnormalities identified on abdominal ultrasound were lymphadenomegaly and thickened intestines in 49/76 (64%) hypocobalaminaemic cats and 28/67 (42%) hypercobalaminaemic cats (P = 0.0025). Median survival time was 274 days in the hypocobalaminaemic group and 711 days in the hypercobalaminaemic group (P = 0.001). The hypocobalaminaemic cats exhibited significantly reduced survival time compared with hypercobalaminaemic cats (odds ratio 2.4 vs 0.4, respectively) (P <0.001).Conclusions and relevanceThis study suggests that cobalamin has limited diagnostic utility in differentiating between underlying disease processes; chronic diarrhoea and CE are more common in hypercobalaminaemic cats in contrast with the previous literature. Hypocobalaminaemia is associated with reduced survival in this cohort of cats; therefore, early cobalamin supplementation is recommended.

求助全文
通过发布文献求助,成功后即可免费获取论文全文。 去求助
来源期刊
CiteScore
3.90
自引率
17.60%
发文量
254
审稿时长
8-16 weeks
期刊介绍: JFMS is an international, peer-reviewed journal aimed at both practitioners and researchers with an interest in the clinical veterinary healthcare of domestic cats. The journal is published monthly in two formats: ‘Classic’ editions containing high-quality original papers on all aspects of feline medicine and surgery, including basic research relevant to clinical practice; and dedicated ‘Clinical Practice’ editions primarily containing opinionated review articles providing state-of-the-art information for feline clinicians, along with other relevant articles such as consensus guidelines.
×
引用
GB/T 7714-2015
复制
MLA
复制
APA
复制
导出至
BibTeX EndNote RefMan NoteFirst NoteExpress
×
提示
您的信息不完整,为了账户安全,请先补充。
现在去补充
×
提示
您因"违规操作"
具体请查看互助需知
我知道了
×
提示
确定
请完成安全验证×
copy
已复制链接
快去分享给好友吧!
我知道了
右上角分享
点击右上角分享
0
联系我们:info@booksci.cn Book学术提供免费学术资源搜索服务,方便国内外学者检索中英文文献。致力于提供最便捷和优质的服务体验。 Copyright © 2023 布克学术 All rights reserved.
京ICP备2023020795号-1
ghs 京公网安备 11010802042870号
Book学术文献互助
Book学术文献互助群
群 号:604180095
Book学术官方微信