健康和健康相关领域对专业人员护理复杂性感知的影响,他们对综合护理计划和跨专业合作的偏好。

IF 2.6 3区 医学 Q2 HEALTH CARE SCIENCES & SERVICES
International Journal of Integrated Care Pub Date : 2025-07-09 eCollection Date: 2025-07-01 DOI:10.5334/ijic.8997
Lisa-Maria van Klaveren, Vincent G M Geukers, Rien de Vos
{"title":"健康和健康相关领域对专业人员护理复杂性感知的影响,他们对综合护理计划和跨专业合作的偏好。","authors":"Lisa-Maria van Klaveren, Vincent G M Geukers, Rien de Vos","doi":"10.5334/ijic.8997","DOIUrl":null,"url":null,"abstract":"<p><strong>Introduction: </strong>Increasing healthcare complexity necessitates the integration of perspectives from professionals with diverse expertise, patients, and families for optimal care. However, there is no consensus on 'care complexity', and expectations for integrated care planning vary. This study examines how different health domains influence professionals' perceptions and preferences.</p><p><strong>Methods: </strong>Ninety-eight medical doctors and nursing professionals assessed care complexity, integrated care planning needs, and interprofessional collaboration using thirteen paper cases based on five domains from the International Classification for Functioning (ICF). Conjoint analysis explored perceptions, preferences, and variations by occupation and work experience.</p><p><strong>Results: </strong>Higher care complexity and need for integrated care planning were linked to impairments of body functions, complex personal factors in terms of chronic health condition and medical needs, and external factors. Allied health, social, and external professionals were more frequently included in multidisciplinary team meetings based on domain-specific complexities. Medical doctors showed a greater tendency than nursing professionals to involve family in integrated care planning.</p><p><strong>Discussion: </strong>The study identifies key drivers of care complexity and integrated care planning, revealing occupation- and experience-based differences. Addressing these differences is crucial for improving interprofessional collaboration.</p><p><strong>Conclusion: </strong>This research provides a multidimensional view of care complexity, highlighting the factors that shape professionals' preferences for integrated care planning.</p>","PeriodicalId":14049,"journal":{"name":"International Journal of Integrated Care","volume":"25 3","pages":"9"},"PeriodicalIF":2.6000,"publicationDate":"2025-07-09","publicationTypes":"Journal Article","fieldsOfStudy":null,"isOpenAccess":false,"openAccessPdf":"https://www.ncbi.nlm.nih.gov/pmc/articles/PMC12247846/pdf/","citationCount":"0","resultStr":"{\"title\":\"Impact of Health and Health-Related Domains on Professionals' Perceptions of Care Complexity, Their Preferences for Integrated Care Planning and Interprofessional Collaboration.\",\"authors\":\"Lisa-Maria van Klaveren, Vincent G M Geukers, Rien de Vos\",\"doi\":\"10.5334/ijic.8997\",\"DOIUrl\":null,\"url\":null,\"abstract\":\"<p><strong>Introduction: </strong>Increasing healthcare complexity necessitates the integration of perspectives from professionals with diverse expertise, patients, and families for optimal care. However, there is no consensus on 'care complexity', and expectations for integrated care planning vary. This study examines how different health domains influence professionals' perceptions and preferences.</p><p><strong>Methods: </strong>Ninety-eight medical doctors and nursing professionals assessed care complexity, integrated care planning needs, and interprofessional collaboration using thirteen paper cases based on five domains from the International Classification for Functioning (ICF). Conjoint analysis explored perceptions, preferences, and variations by occupation and work experience.</p><p><strong>Results: </strong>Higher care complexity and need for integrated care planning were linked to impairments of body functions, complex personal factors in terms of chronic health condition and medical needs, and external factors. Allied health, social, and external professionals were more frequently included in multidisciplinary team meetings based on domain-specific complexities. Medical doctors showed a greater tendency than nursing professionals to involve family in integrated care planning.</p><p><strong>Discussion: </strong>The study identifies key drivers of care complexity and integrated care planning, revealing occupation- and experience-based differences. Addressing these differences is crucial for improving interprofessional collaboration.</p><p><strong>Conclusion: </strong>This research provides a multidimensional view of care complexity, highlighting the factors that shape professionals' preferences for integrated care planning.</p>\",\"PeriodicalId\":14049,\"journal\":{\"name\":\"International Journal of Integrated Care\",\"volume\":\"25 3\",\"pages\":\"9\"},\"PeriodicalIF\":2.6000,\"publicationDate\":\"2025-07-09\",\"publicationTypes\":\"Journal Article\",\"fieldsOfStudy\":null,\"isOpenAccess\":false,\"openAccessPdf\":\"https://www.ncbi.nlm.nih.gov/pmc/articles/PMC12247846/pdf/\",\"citationCount\":\"0\",\"resultStr\":null,\"platform\":\"Semanticscholar\",\"paperid\":null,\"PeriodicalName\":\"International Journal of Integrated Care\",\"FirstCategoryId\":\"3\",\"ListUrlMain\":\"https://doi.org/10.5334/ijic.8997\",\"RegionNum\":3,\"RegionCategory\":\"医学\",\"ArticlePicture\":[],\"TitleCN\":null,\"AbstractTextCN\":null,\"PMCID\":null,\"EPubDate\":\"2025/7/1 0:00:00\",\"PubModel\":\"eCollection\",\"JCR\":\"Q2\",\"JCRName\":\"HEALTH CARE SCIENCES & SERVICES\",\"Score\":null,\"Total\":0}","platform":"Semanticscholar","paperid":null,"PeriodicalName":"International Journal of Integrated Care","FirstCategoryId":"3","ListUrlMain":"https://doi.org/10.5334/ijic.8997","RegionNum":3,"RegionCategory":"医学","ArticlePicture":[],"TitleCN":null,"AbstractTextCN":null,"PMCID":null,"EPubDate":"2025/7/1 0:00:00","PubModel":"eCollection","JCR":"Q2","JCRName":"HEALTH CARE SCIENCES & SERVICES","Score":null,"Total":0}
引用次数: 0

摘要

简介:日益增加的医疗保健复杂性需要整合来自不同专业知识的专业人员、患者和家庭的观点,以实现最佳护理。然而,对“护理复杂性”没有达成共识,对综合护理计划的期望各不相同。本研究探讨了不同的健康领域如何影响专业人员的看法和偏好。方法:98名医生和护理专业人员基于国际功能分类(ICF)的5个领域,使用13个纸质案例评估护理复杂性、综合护理计划需求和跨专业协作。联合分析探讨了职业和工作经验对认知、偏好和变化的影响。结果:较高的护理复杂性和对综合护理计划的需求与身体功能损害、慢性健康状况和医疗需求方面的复杂个人因素以及外部因素有关。基于特定领域的复杂性,联合健康、社会和外部专业人员更频繁地参加多学科团队会议。医生比护理专业人员更倾向于让家庭参与综合护理计划。讨论:该研究确定了护理复杂性和综合护理计划的关键驱动因素,揭示了基于职业和经验的差异。解决这些差异对于改善跨专业协作至关重要。结论:本研究提供了护理复杂性的多维视角,突出了影响专业人员对综合护理计划偏好的因素。
本文章由计算机程序翻译,如有差异,请以英文原文为准。

Impact of Health and Health-Related Domains on Professionals' Perceptions of Care Complexity, Their Preferences for Integrated Care Planning and Interprofessional Collaboration.

Impact of Health and Health-Related Domains on Professionals' Perceptions of Care Complexity, Their Preferences for Integrated Care Planning and Interprofessional Collaboration.

Impact of Health and Health-Related Domains on Professionals' Perceptions of Care Complexity, Their Preferences for Integrated Care Planning and Interprofessional Collaboration.

Impact of Health and Health-Related Domains on Professionals' Perceptions of Care Complexity, Their Preferences for Integrated Care Planning and Interprofessional Collaboration.

Introduction: Increasing healthcare complexity necessitates the integration of perspectives from professionals with diverse expertise, patients, and families for optimal care. However, there is no consensus on 'care complexity', and expectations for integrated care planning vary. This study examines how different health domains influence professionals' perceptions and preferences.

Methods: Ninety-eight medical doctors and nursing professionals assessed care complexity, integrated care planning needs, and interprofessional collaboration using thirteen paper cases based on five domains from the International Classification for Functioning (ICF). Conjoint analysis explored perceptions, preferences, and variations by occupation and work experience.

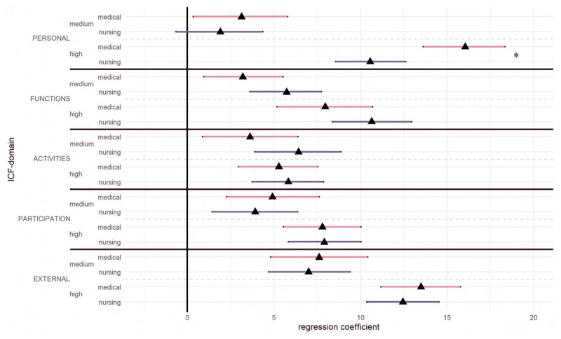
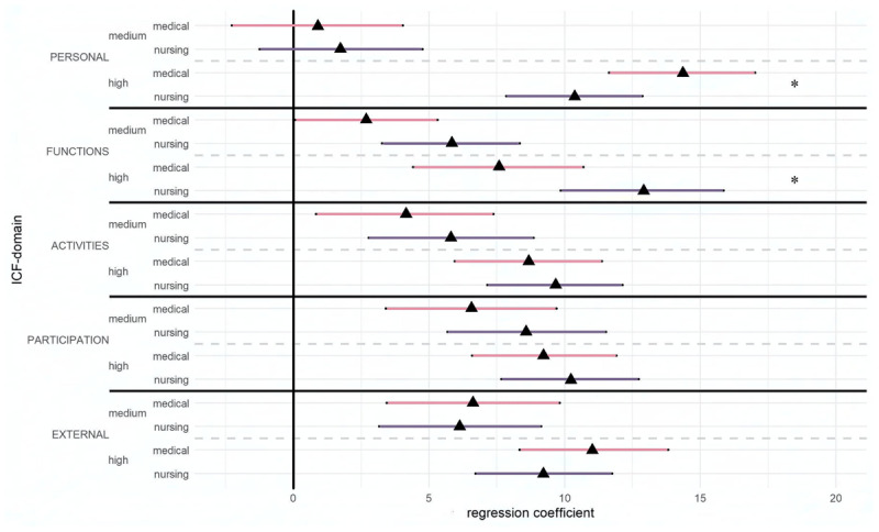
Results: Higher care complexity and need for integrated care planning were linked to impairments of body functions, complex personal factors in terms of chronic health condition and medical needs, and external factors. Allied health, social, and external professionals were more frequently included in multidisciplinary team meetings based on domain-specific complexities. Medical doctors showed a greater tendency than nursing professionals to involve family in integrated care planning.

Discussion: The study identifies key drivers of care complexity and integrated care planning, revealing occupation- and experience-based differences. Addressing these differences is crucial for improving interprofessional collaboration.

Conclusion: This research provides a multidimensional view of care complexity, highlighting the factors that shape professionals' preferences for integrated care planning.

求助全文
通过发布文献求助,成功后即可免费获取论文全文。 去求助
来源期刊
International Journal of Integrated Care
International Journal of Integrated Care HEALTH CARE SCIENCES & SERVICES-
CiteScore
3.80
自引率
8.30%
发文量
887
审稿时长
>12 weeks
期刊介绍: Established in 2000, IJIC’s mission is to promote integrated care as a scientific discipline. IJIC’s primary purpose is to examine critically the policy and practice of integrated care and whether and how this has impacted on quality-of-care, user experiences, and cost-effectiveness. The journal regularly publishes conference supplements and special themed editions. To find out more contact Managing Editor, Susan Royer. The Journal is supported by the International Foundation for Integrated Care (IFIC).
×
引用
GB/T 7714-2015
复制
MLA
复制
APA
复制
导出至
BibTeX EndNote RefMan NoteFirst NoteExpress
×
提示
您的信息不完整,为了账户安全,请先补充。
现在去补充
×
提示
您因"违规操作"
具体请查看互助需知
我知道了
×
提示
确定
请完成安全验证×
copy
已复制链接
快去分享给好友吧!
我知道了
右上角分享
点击右上角分享
0
联系我们:info@booksci.cn Book学术提供免费学术资源搜索服务,方便国内外学者检索中英文文献。致力于提供最便捷和优质的服务体验。 Copyright © 2023 布克学术 All rights reserved.
京ICP备2023020795号-1
ghs 京公网安备 11010802042870号
Book学术文献互助
Book学术文献互助群
群 号:604180095
Book学术官方微信