肉和肉制品中的原卟啉锌IX:形成、应用和未来展望。

IF 3.7 3区 农林科学 Q2 FOOD SCIENCE & TECHNOLOGY
Yeongmi Yoo, Su Min Bae, Jong Youn Jeong
{"title":"肉和肉制品中的原卟啉锌IX:形成、应用和未来展望。","authors":"Yeongmi Yoo, Su Min Bae, Jong Youn Jeong","doi":"10.5851/kosfa.2025.e12","DOIUrl":null,"url":null,"abstract":"<p><p>Zinc protoporphyrin IX (ZnPP) is a naturally occurring metalloporphyrin that imparts a bright red color to nitrite-free dry-cured meat products such as Parma ham. This review explores the chemical structures, spectral characteristics, and mechanisms of ZnPP formation in meat products. ZnPP exhibits distinct absorption peaks in the Soret and Q bands, as well as a characteristic fluorescence emission peak at 590 nm. Its formation involves complex biochemical processes, including endogenous enzymatic, non-enzymatic, and bacterial enzymatic pathways. Various factors influence ZnPP formation, such as pH, muscle fiber type and meat composition, processing temperature and time, oxygen levels, and the presence of nitrites. ZnPP offers significant advantages for nitrite-free meat products by providing a stable red color without the associated health risks of <i>N</i>-nitrosamines. Furthermore, it aligns with consumer demand for clean-label products and benefits from advanced technologies that improve its scalability and industrial application. However, challenges persist in standardizing ZnPP production across diverse muscle types and optimizing its formation mechanisms. Future research should focus on developing innovative technologies to enhance ZnPP formation, exploring emerging markets for natural meat colorants, and further elucidating their mechanisms of action and potential health benefits. ZnPP is a promising natural alternative to synthetic nitrites in the meat industry and has the potential to revolutionize meat product coloration.</p>","PeriodicalId":12459,"journal":{"name":"Food Science of Animal Resources","volume":"45 3","pages":"663-687"},"PeriodicalIF":3.7000,"publicationDate":"2025-05-01","publicationTypes":"Journal Article","fieldsOfStudy":null,"isOpenAccess":false,"openAccessPdf":"https://www.ncbi.nlm.nih.gov/pmc/articles/PMC12246909/pdf/","citationCount":"0","resultStr":"{\"title\":\"Zinc Protoporphyrin IX in Meat and Meat Products: Formation, Application, and Future Perspectives.\",\"authors\":\"Yeongmi Yoo, Su Min Bae, Jong Youn Jeong\",\"doi\":\"10.5851/kosfa.2025.e12\",\"DOIUrl\":null,\"url\":null,\"abstract\":\"<p><p>Zinc protoporphyrin IX (ZnPP) is a naturally occurring metalloporphyrin that imparts a bright red color to nitrite-free dry-cured meat products such as Parma ham. This review explores the chemical structures, spectral characteristics, and mechanisms of ZnPP formation in meat products. ZnPP exhibits distinct absorption peaks in the Soret and Q bands, as well as a characteristic fluorescence emission peak at 590 nm. Its formation involves complex biochemical processes, including endogenous enzymatic, non-enzymatic, and bacterial enzymatic pathways. Various factors influence ZnPP formation, such as pH, muscle fiber type and meat composition, processing temperature and time, oxygen levels, and the presence of nitrites. ZnPP offers significant advantages for nitrite-free meat products by providing a stable red color without the associated health risks of <i>N</i>-nitrosamines. Furthermore, it aligns with consumer demand for clean-label products and benefits from advanced technologies that improve its scalability and industrial application. However, challenges persist in standardizing ZnPP production across diverse muscle types and optimizing its formation mechanisms. Future research should focus on developing innovative technologies to enhance ZnPP formation, exploring emerging markets for natural meat colorants, and further elucidating their mechanisms of action and potential health benefits. ZnPP is a promising natural alternative to synthetic nitrites in the meat industry and has the potential to revolutionize meat product coloration.</p>\",\"PeriodicalId\":12459,\"journal\":{\"name\":\"Food Science of Animal Resources\",\"volume\":\"45 3\",\"pages\":\"663-687\"},\"PeriodicalIF\":3.7000,\"publicationDate\":\"2025-05-01\",\"publicationTypes\":\"Journal Article\",\"fieldsOfStudy\":null,\"isOpenAccess\":false,\"openAccessPdf\":\"https://www.ncbi.nlm.nih.gov/pmc/articles/PMC12246909/pdf/\",\"citationCount\":\"0\",\"resultStr\":null,\"platform\":\"Semanticscholar\",\"paperid\":null,\"PeriodicalName\":\"Food Science of Animal Resources\",\"FirstCategoryId\":\"97\",\"ListUrlMain\":\"https://doi.org/10.5851/kosfa.2025.e12\",\"RegionNum\":3,\"RegionCategory\":\"农林科学\",\"ArticlePicture\":[],\"TitleCN\":null,\"AbstractTextCN\":null,\"PMCID\":null,\"EPubDate\":\"\",\"PubModel\":\"\",\"JCR\":\"Q2\",\"JCRName\":\"FOOD SCIENCE & TECHNOLOGY\",\"Score\":null,\"Total\":0}","platform":"Semanticscholar","paperid":null,"PeriodicalName":"Food Science of Animal Resources","FirstCategoryId":"97","ListUrlMain":"https://doi.org/10.5851/kosfa.2025.e12","RegionNum":3,"RegionCategory":"农林科学","ArticlePicture":[],"TitleCN":null,"AbstractTextCN":null,"PMCID":null,"EPubDate":"","PubModel":"","JCR":"Q2","JCRName":"FOOD SCIENCE & TECHNOLOGY","Score":null,"Total":0}
引用次数: 0

摘要

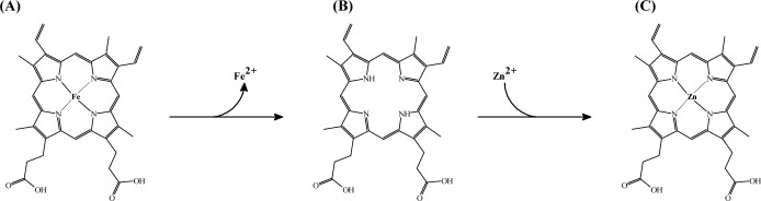
锌原卟啉IX (ZnPP)是一种天然存在的金属卟啉,使无亚硝酸盐的干腌肉制品(如帕尔马火腿)呈现鲜红色。本文综述了肉类产品中ZnPP的化学结构、光谱特征和形成机理。ZnPP在Soret和Q波段有明显的吸收峰,在590nm处有一个特征荧光发射峰。它的形成涉及复杂的生化过程,包括内源性酶促、非酶促和细菌酶促途径。多种因素影响ZnPP的形成,如pH值、肌纤维类型和肉成分、加工温度和时间、氧气水平以及亚硝酸盐的存在。ZnPP通过提供稳定的红色而没有n -亚硝胺相关的健康风险,为无亚硝酸盐肉制品提供了显著的优势。此外,它符合消费者对清洁标签产品的需求,并受益于提高其可扩展性和工业应用的先进技术。然而,在标准化不同肌肉类型的ZnPP生产和优化其形成机制方面仍然存在挑战。未来的研究应侧重于开发促进ZnPP形成的创新技术,探索天然肉类着色剂的新兴市场,并进一步阐明其作用机制和潜在的健康益处。ZnPP是肉类工业中合成亚硝酸盐的一种很有前途的天然替代品,并有可能彻底改变肉制品的颜色。
本文章由计算机程序翻译,如有差异,请以英文原文为准。

Zinc Protoporphyrin IX in Meat and Meat Products: Formation, Application, and Future Perspectives.

Zinc Protoporphyrin IX in Meat and Meat Products: Formation, Application, and Future Perspectives.

Zinc protoporphyrin IX (ZnPP) is a naturally occurring metalloporphyrin that imparts a bright red color to nitrite-free dry-cured meat products such as Parma ham. This review explores the chemical structures, spectral characteristics, and mechanisms of ZnPP formation in meat products. ZnPP exhibits distinct absorption peaks in the Soret and Q bands, as well as a characteristic fluorescence emission peak at 590 nm. Its formation involves complex biochemical processes, including endogenous enzymatic, non-enzymatic, and bacterial enzymatic pathways. Various factors influence ZnPP formation, such as pH, muscle fiber type and meat composition, processing temperature and time, oxygen levels, and the presence of nitrites. ZnPP offers significant advantages for nitrite-free meat products by providing a stable red color without the associated health risks of N-nitrosamines. Furthermore, it aligns with consumer demand for clean-label products and benefits from advanced technologies that improve its scalability and industrial application. However, challenges persist in standardizing ZnPP production across diverse muscle types and optimizing its formation mechanisms. Future research should focus on developing innovative technologies to enhance ZnPP formation, exploring emerging markets for natural meat colorants, and further elucidating their mechanisms of action and potential health benefits. ZnPP is a promising natural alternative to synthetic nitrites in the meat industry and has the potential to revolutionize meat product coloration.

求助全文
通过发布文献求助,成功后即可免费获取论文全文。 去求助
来源期刊
Food Science of Animal Resources
Food Science of Animal Resources Agricultural and Biological Sciences-Animal Science and Zoology
CiteScore
6.70
自引率
6.70%
发文量
75
期刊介绍: Food Science of Animal Resources (Food Sci. Anim. Resour.) is an international, peer-reviewed journal publishing original research and review articles on scientific and technological aspects of chemistry, biotechnology, processing, engineering, and microbiology of meat, egg, dairy, and edible insect/worm products.
×
引用
GB/T 7714-2015
复制
MLA
复制
APA
复制
导出至
BibTeX EndNote RefMan NoteFirst NoteExpress
×
提示
您的信息不完整,为了账户安全,请先补充。
现在去补充
×
提示
您因"违规操作"
具体请查看互助需知
我知道了
×
提示
确定
请完成安全验证×
copy
已复制链接
快去分享给好友吧!
我知道了
右上角分享
点击右上角分享
0
联系我们:info@booksci.cn Book学术提供免费学术资源搜索服务,方便国内外学者检索中英文文献。致力于提供最便捷和优质的服务体验。 Copyright © 2023 布克学术 All rights reserved.
京ICP备2023020795号-1
ghs 京公网安备 11010802042870号
Book学术文献互助
Book学术文献互助群
群 号:604180095
Book学术官方微信