饲喂柑桔和家禽副产品对黑兵蝇幼虫生长性能和理化特性的影响

IF 3.7 3区 农林科学 Q2 FOOD SCIENCE & TECHNOLOGY
Jung-Hyun Nam, Ji-Yong Hyun, Byoung Kon Lee, Ji-Yeon Chun
{"title":"饲喂柑桔和家禽副产品对黑兵蝇幼虫生长性能和理化特性的影响","authors":"Jung-Hyun Nam, Ji-Yong Hyun, Byoung Kon Lee, Ji-Yeon Chun","doi":"10.5851/kosfa.2025.e27","DOIUrl":null,"url":null,"abstract":"<p><p>Black soldier fly larvae (BSFL) are polyphagous insects, and their growth, nutritional composition, and life cycle are influenced by rearing substrates. This study examined the effects of different rearing substrates on the growth performance, antioxidant activity, and physicochemical properties of BSFL. Mandarin (M) and poultry (P) by-products were mixed at varying ratios (M10P0-M5P5) and used as rearing substrates. Larval length, width, and weight increased with a higher proportion of poultry by-products in the substrate. Notably, the weight of larvae reared on M5P5 was approximately twice that of those reared on M10P0. The highest protein content was observed in M5P5. Antioxidant activities, including 2,2-diphenyl-1-picrylhydrazyl radical scavenging ability, ferric reducing antioxidant power, hydroxyl radical scavenging activity, and total phenolic content, were also highest in M5P5. The highest acid value was recorded in M5P5 for unrefined samples and in M6P4 for refined samples. Amino acid content increased with a higher proportion of poultry by-products, whereas unsaturated fatty acid content was highest in M9P1. These findings demonstrate that incorporating animal-based by-products into rearing substrates enhances BSFL growth performance. Moreover, the use of BSFL for waste valorization offers a sustainable approach to resource utilization and waste management.</p>","PeriodicalId":12459,"journal":{"name":"Food Science of Animal Resources","volume":"45 3","pages":"928-946"},"PeriodicalIF":3.7000,"publicationDate":"2025-05-01","publicationTypes":"Journal Article","fieldsOfStudy":null,"isOpenAccess":false,"openAccessPdf":"https://www.ncbi.nlm.nih.gov/pmc/articles/PMC12246910/pdf/","citationCount":"0","resultStr":"{\"title\":\"Effects of Feeding Mandarin and Poultry By-Products on Growth Performance and Physicochemical Properties of Black Soldier Fly (<i>Hermetia illucens</i>) Larvae.\",\"authors\":\"Jung-Hyun Nam, Ji-Yong Hyun, Byoung Kon Lee, Ji-Yeon Chun\",\"doi\":\"10.5851/kosfa.2025.e27\",\"DOIUrl\":null,\"url\":null,\"abstract\":\"<p><p>Black soldier fly larvae (BSFL) are polyphagous insects, and their growth, nutritional composition, and life cycle are influenced by rearing substrates. This study examined the effects of different rearing substrates on the growth performance, antioxidant activity, and physicochemical properties of BSFL. Mandarin (M) and poultry (P) by-products were mixed at varying ratios (M10P0-M5P5) and used as rearing substrates. Larval length, width, and weight increased with a higher proportion of poultry by-products in the substrate. Notably, the weight of larvae reared on M5P5 was approximately twice that of those reared on M10P0. The highest protein content was observed in M5P5. Antioxidant activities, including 2,2-diphenyl-1-picrylhydrazyl radical scavenging ability, ferric reducing antioxidant power, hydroxyl radical scavenging activity, and total phenolic content, were also highest in M5P5. The highest acid value was recorded in M5P5 for unrefined samples and in M6P4 for refined samples. Amino acid content increased with a higher proportion of poultry by-products, whereas unsaturated fatty acid content was highest in M9P1. These findings demonstrate that incorporating animal-based by-products into rearing substrates enhances BSFL growth performance. Moreover, the use of BSFL for waste valorization offers a sustainable approach to resource utilization and waste management.</p>\",\"PeriodicalId\":12459,\"journal\":{\"name\":\"Food Science of Animal Resources\",\"volume\":\"45 3\",\"pages\":\"928-946\"},\"PeriodicalIF\":3.7000,\"publicationDate\":\"2025-05-01\",\"publicationTypes\":\"Journal Article\",\"fieldsOfStudy\":null,\"isOpenAccess\":false,\"openAccessPdf\":\"https://www.ncbi.nlm.nih.gov/pmc/articles/PMC12246910/pdf/\",\"citationCount\":\"0\",\"resultStr\":null,\"platform\":\"Semanticscholar\",\"paperid\":null,\"PeriodicalName\":\"Food Science of Animal Resources\",\"FirstCategoryId\":\"97\",\"ListUrlMain\":\"https://doi.org/10.5851/kosfa.2025.e27\",\"RegionNum\":3,\"RegionCategory\":\"农林科学\",\"ArticlePicture\":[],\"TitleCN\":null,\"AbstractTextCN\":null,\"PMCID\":null,\"EPubDate\":\"\",\"PubModel\":\"\",\"JCR\":\"Q2\",\"JCRName\":\"FOOD SCIENCE & TECHNOLOGY\",\"Score\":null,\"Total\":0}","platform":"Semanticscholar","paperid":null,"PeriodicalName":"Food Science of Animal Resources","FirstCategoryId":"97","ListUrlMain":"https://doi.org/10.5851/kosfa.2025.e27","RegionNum":3,"RegionCategory":"农林科学","ArticlePicture":[],"TitleCN":null,"AbstractTextCN":null,"PMCID":null,"EPubDate":"","PubModel":"","JCR":"Q2","JCRName":"FOOD SCIENCE & TECHNOLOGY","Score":null,"Total":0}
引用次数: 0

摘要

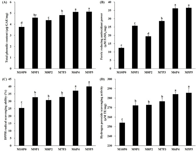
黑兵蝇幼虫是一种多食性昆虫,其生长、营养成分和生命周期受饲养基质的影响。本试验研究了不同饲养基质对牛蒡生长性能、抗氧化活性和理化性质的影响。将普通话(M)和家禽(P)副产品按不同比例(M10P0-M5P5)混合,作为饲养基质。随着基质中家禽副产品比例的增加,幼虫的长、宽、重均增加。值得注意的是,M5P5饲养的幼虫体重约为M10P0饲养的两倍。蛋白质含量以M5P5最高。M5P5的抗氧化能力最高,包括2,2-二苯基-1-苦味酰肼自由基清除能力、铁还原抗氧化能力、羟基自由基清除能力和总酚含量。未精炼样品的最高酸值记录为M5P5,精炼样品的最高酸值记录为M6P4。氨基酸含量随副产物比例的增加而增加,其中不饱和脂肪酸含量在M9P1中最高。这些结果表明,在饲养基质中加入动物性副产品可以提高BSFL的生长性能。此外,利用生物流化床进行废物增值为资源利用和废物管理提供了一种可持续的方法。
本文章由计算机程序翻译,如有差异,请以英文原文为准。

Effects of Feeding Mandarin and Poultry By-Products on Growth Performance and Physicochemical Properties of Black Soldier Fly (<i>Hermetia illucens</i>) Larvae.

Effects of Feeding Mandarin and Poultry By-Products on Growth Performance and Physicochemical Properties of Black Soldier Fly (<i>Hermetia illucens</i>) Larvae.

Effects of Feeding Mandarin and Poultry By-Products on Growth Performance and Physicochemical Properties of Black Soldier Fly (<i>Hermetia illucens</i>) Larvae.

Effects of Feeding Mandarin and Poultry By-Products on Growth Performance and Physicochemical Properties of Black Soldier Fly (Hermetia illucens) Larvae.

Black soldier fly larvae (BSFL) are polyphagous insects, and their growth, nutritional composition, and life cycle are influenced by rearing substrates. This study examined the effects of different rearing substrates on the growth performance, antioxidant activity, and physicochemical properties of BSFL. Mandarin (M) and poultry (P) by-products were mixed at varying ratios (M10P0-M5P5) and used as rearing substrates. Larval length, width, and weight increased with a higher proportion of poultry by-products in the substrate. Notably, the weight of larvae reared on M5P5 was approximately twice that of those reared on M10P0. The highest protein content was observed in M5P5. Antioxidant activities, including 2,2-diphenyl-1-picrylhydrazyl radical scavenging ability, ferric reducing antioxidant power, hydroxyl radical scavenging activity, and total phenolic content, were also highest in M5P5. The highest acid value was recorded in M5P5 for unrefined samples and in M6P4 for refined samples. Amino acid content increased with a higher proportion of poultry by-products, whereas unsaturated fatty acid content was highest in M9P1. These findings demonstrate that incorporating animal-based by-products into rearing substrates enhances BSFL growth performance. Moreover, the use of BSFL for waste valorization offers a sustainable approach to resource utilization and waste management.

求助全文
通过发布文献求助,成功后即可免费获取论文全文。 去求助
来源期刊
Food Science of Animal Resources
Food Science of Animal Resources Agricultural and Biological Sciences-Animal Science and Zoology
CiteScore
6.70
自引率
6.70%
发文量
75
期刊介绍: Food Science of Animal Resources (Food Sci. Anim. Resour.) is an international, peer-reviewed journal publishing original research and review articles on scientific and technological aspects of chemistry, biotechnology, processing, engineering, and microbiology of meat, egg, dairy, and edible insect/worm products.
×
引用
GB/T 7714-2015
复制
MLA
复制
APA
复制
导出至
BibTeX EndNote RefMan NoteFirst NoteExpress
×
提示
您的信息不完整,为了账户安全,请先补充。
现在去补充
×
提示
您因"违规操作"
具体请查看互助需知
我知道了
×
提示
确定
请完成安全验证×
copy
已复制链接
快去分享给好友吧!
我知道了
右上角分享
点击右上角分享
0
联系我们:info@booksci.cn Book学术提供免费学术资源搜索服务,方便国内外学者检索中英文文献。致力于提供最便捷和优质的服务体验。 Copyright © 2023 布克学术 All rights reserved.
京ICP备2023020795号-1
ghs 京公网安备 11010802042870号
Book学术文献互助
Book学术文献互助群
群 号:604180095
Book学术官方微信