综合协调能力量表评价脑卒中患者高级协调能力的心理计量学验证。

IF 3.4 3区 医学 Q1 REHABILITATION
Peiming Chen, Shamay S Ng, Cynthia Y Lai, Samantha M Chan, C Lau, H Wong, Jacqueline H Liang, Christy S Tam, J Li, Tai-Wa Liu, Thomson W Wong, Billy C So, Richard H Xu, Mimi M Tse
{"title":"综合协调能力量表评价脑卒中患者高级协调能力的心理计量学验证。","authors":"Peiming Chen, Shamay S Ng, Cynthia Y Lai, Samantha M Chan, C Lau, H Wong, Jacqueline H Liang, Christy S Tam, J Li, Tai-Wa Liu, Thomson W Wong, Billy C So, Richard H Xu, Mimi M Tse","doi":"10.23736/S1973-9087.25.08784-2","DOIUrl":null,"url":null,"abstract":"<p><strong>Background and aim: </strong>The aims of this study were to investigate the psychometric property of the Comprehensive Coordination Scale (CCS) in people with stroke.</p><p><strong>Design: </strong>Cross-sectional design.</p><p><strong>Setting: </strong>University based neurorehabilitation laboratory.</p><p><strong>Population: </strong>Sixty-two people with stroke (33 men; mean ages=67.1±6.4 years; 8.8±4.9 years) and 31 healthy older adults (10 men, mean ages=65.9±4.2 years).</p><p><strong>Methods: </strong>CCS was conducted on the subjects, followed with ARAT, BBS, LOS, MoCA, and SF-12muscle strength test, Fugl-Meyer Assessment of Lower Extremity (FMA-LE) and Upper Extremity (FMA-UE), muscle strength, Montreal Cognitive Assessment (MoCA), Action Research Arm Test (ARAT), Berg Balance Scale (BBS), Limit of Stability (LOS) test and 12-Item Short Form Survey (SF12).</p><p><strong>Results: </strong>There was a significant difference (P<0.001) of CCS score between people with stroke (mean difference=48.0±13.5) and healthy older adults (mean difference=62.9±12.1). CCS showed excellent test-retest reliability (intraclass correlation coefficient (ICC)=0.953). The CCS-Total Score showed a significant positive correlation with the average muscle strength of affected side (dorsiflexors, plantarflexors, elbow flexor, and elbow extensor), FMA-UE score, FMA-LE Score, BBS Score, ARAT Score, and LOS (EE and ME) (r=0.387-0.857, P<0.007) in this study. The CCS-total score of 62.5 (sensitivity 83.9%; specificity of 83.9%; AUC=0.892, P<0.001) was shown to distinguish the walking performance between people with stroke and healthy older adults.</p><p><strong>Conclusions: </strong>The CCS is a reliable, valid and objective assessment tool for evaluating the motor coordination in people with stroke. The CCS exhibited good diagnostic power for distinguishing the coordination ability of individuals with stroke from that of healthy older adults.</p><p><strong>Clinical rehabilitation impact: </strong>Therefore, the CCS is recommended for use in clinical settings to provide a detailed and comprehensive assessment of motor coordination impairment in stroke survivors.</p>","PeriodicalId":12044,"journal":{"name":"European journal of physical and rehabilitation medicine","volume":" ","pages":"411-424"},"PeriodicalIF":3.4000,"publicationDate":"2025-06-01","publicationTypes":"Journal Article","fieldsOfStudy":null,"isOpenAccess":false,"openAccessPdf":"https://www.ncbi.nlm.nih.gov/pmc/articles/PMC12405944/pdf/","citationCount":"0","resultStr":"{\"title\":\"Psychometric validation of comprehensive coordination scale to assess the advanced coordination ability in people with stroke.\",\"authors\":\"Peiming Chen, Shamay S Ng, Cynthia Y Lai, Samantha M Chan, C Lau, H Wong, Jacqueline H Liang, Christy S Tam, J Li, Tai-Wa Liu, Thomson W Wong, Billy C So, Richard H Xu, Mimi M Tse\",\"doi\":\"10.23736/S1973-9087.25.08784-2\",\"DOIUrl\":null,\"url\":null,\"abstract\":\"<p><strong>Background and aim: </strong>The aims of this study were to investigate the psychometric property of the Comprehensive Coordination Scale (CCS) in people with stroke.</p><p><strong>Design: </strong>Cross-sectional design.</p><p><strong>Setting: </strong>University based neurorehabilitation laboratory.</p><p><strong>Population: </strong>Sixty-two people with stroke (33 men; mean ages=67.1±6.4 years; 8.8±4.9 years) and 31 healthy older adults (10 men, mean ages=65.9±4.2 years).</p><p><strong>Methods: </strong>CCS was conducted on the subjects, followed with ARAT, BBS, LOS, MoCA, and SF-12muscle strength test, Fugl-Meyer Assessment of Lower Extremity (FMA-LE) and Upper Extremity (FMA-UE), muscle strength, Montreal Cognitive Assessment (MoCA), Action Research Arm Test (ARAT), Berg Balance Scale (BBS), Limit of Stability (LOS) test and 12-Item Short Form Survey (SF12).</p><p><strong>Results: </strong>There was a significant difference (P<0.001) of CCS score between people with stroke (mean difference=48.0±13.5) and healthy older adults (mean difference=62.9±12.1). CCS showed excellent test-retest reliability (intraclass correlation coefficient (ICC)=0.953). The CCS-Total Score showed a significant positive correlation with the average muscle strength of affected side (dorsiflexors, plantarflexors, elbow flexor, and elbow extensor), FMA-UE score, FMA-LE Score, BBS Score, ARAT Score, and LOS (EE and ME) (r=0.387-0.857, P<0.007) in this study. The CCS-total score of 62.5 (sensitivity 83.9%; specificity of 83.9%; AUC=0.892, P<0.001) was shown to distinguish the walking performance between people with stroke and healthy older adults.</p><p><strong>Conclusions: </strong>The CCS is a reliable, valid and objective assessment tool for evaluating the motor coordination in people with stroke. The CCS exhibited good diagnostic power for distinguishing the coordination ability of individuals with stroke from that of healthy older adults.</p><p><strong>Clinical rehabilitation impact: </strong>Therefore, the CCS is recommended for use in clinical settings to provide a detailed and comprehensive assessment of motor coordination impairment in stroke survivors.</p>\",\"PeriodicalId\":12044,\"journal\":{\"name\":\"European journal of physical and rehabilitation medicine\",\"volume\":\" \",\"pages\":\"411-424\"},\"PeriodicalIF\":3.4000,\"publicationDate\":\"2025-06-01\",\"publicationTypes\":\"Journal Article\",\"fieldsOfStudy\":null,\"isOpenAccess\":false,\"openAccessPdf\":\"https://www.ncbi.nlm.nih.gov/pmc/articles/PMC12405944/pdf/\",\"citationCount\":\"0\",\"resultStr\":null,\"platform\":\"Semanticscholar\",\"paperid\":null,\"PeriodicalName\":\"European journal of physical and rehabilitation medicine\",\"FirstCategoryId\":\"3\",\"ListUrlMain\":\"https://doi.org/10.23736/S1973-9087.25.08784-2\",\"RegionNum\":3,\"RegionCategory\":\"医学\",\"ArticlePicture\":[],\"TitleCN\":null,\"AbstractTextCN\":null,\"PMCID\":null,\"EPubDate\":\"2025/7/14 0:00:00\",\"PubModel\":\"Epub\",\"JCR\":\"Q1\",\"JCRName\":\"REHABILITATION\",\"Score\":null,\"Total\":0}","platform":"Semanticscholar","paperid":null,"PeriodicalName":"European journal of physical and rehabilitation medicine","FirstCategoryId":"3","ListUrlMain":"https://doi.org/10.23736/S1973-9087.25.08784-2","RegionNum":3,"RegionCategory":"医学","ArticlePicture":[],"TitleCN":null,"AbstractTextCN":null,"PMCID":null,"EPubDate":"2025/7/14 0:00:00","PubModel":"Epub","JCR":"Q1","JCRName":"REHABILITATION","Score":null,"Total":0}
引用次数: 0

摘要

背景与目的:本研究旨在探讨脑卒中患者综合协调量表(CCS)的心理测量特性。设计:横断面设计。单位:大学神经康复实验室。人群:62例中风患者(男性33例;平均年龄=67.1±6.4岁;(8.8±4.9岁)和31名健康老年人(男性10名,平均年龄65.9±4.2岁)。方法:对被试进行CCS,随后进行ARAT、BBS、LOS、MoCA、sf -12肌力测试、Fugl-Meyer下肢评估(FMA-LE)和上肢评估(FMA-UE)、肌力、蒙特利尔认知评估(MoCA)、动作研究臂测试(ARAT)、Berg平衡量表(BBS)、稳定性极限测试(LOS)和12项简短问卷调查(SF12)。结论:CCS是评价脑卒中患者运动协调能力的一种可靠、有效、客观的评估工具。CCS在区分脑卒中患者与健康老年人的协调能力方面表现出良好的诊断能力。临床康复影响:因此,CCS被推荐用于临床环境,为中风幸存者的运动协调障碍提供详细和全面的评估。
本文章由计算机程序翻译,如有差异,请以英文原文为准。

Psychometric validation of comprehensive coordination scale to assess the advanced coordination ability in people with stroke.

Psychometric validation of comprehensive coordination scale to assess the advanced coordination ability in people with stroke.

Psychometric validation of comprehensive coordination scale to assess the advanced coordination ability in people with stroke.

Psychometric validation of comprehensive coordination scale to assess the advanced coordination ability in people with stroke.

Background and aim: The aims of this study were to investigate the psychometric property of the Comprehensive Coordination Scale (CCS) in people with stroke.

Design: Cross-sectional design.

Setting: University based neurorehabilitation laboratory.

Population: Sixty-two people with stroke (33 men; mean ages=67.1±6.4 years; 8.8±4.9 years) and 31 healthy older adults (10 men, mean ages=65.9±4.2 years).

Methods: CCS was conducted on the subjects, followed with ARAT, BBS, LOS, MoCA, and SF-12muscle strength test, Fugl-Meyer Assessment of Lower Extremity (FMA-LE) and Upper Extremity (FMA-UE), muscle strength, Montreal Cognitive Assessment (MoCA), Action Research Arm Test (ARAT), Berg Balance Scale (BBS), Limit of Stability (LOS) test and 12-Item Short Form Survey (SF12).

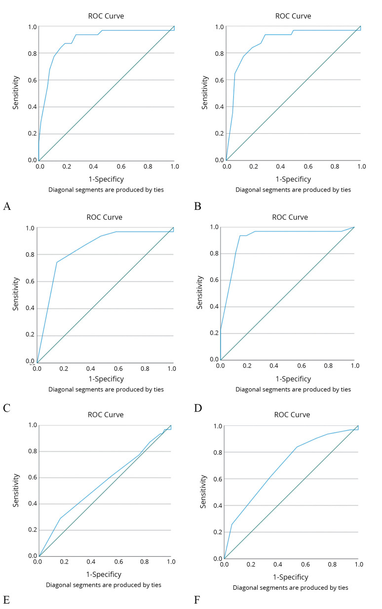
Results: There was a significant difference (P<0.001) of CCS score between people with stroke (mean difference=48.0±13.5) and healthy older adults (mean difference=62.9±12.1). CCS showed excellent test-retest reliability (intraclass correlation coefficient (ICC)=0.953). The CCS-Total Score showed a significant positive correlation with the average muscle strength of affected side (dorsiflexors, plantarflexors, elbow flexor, and elbow extensor), FMA-UE score, FMA-LE Score, BBS Score, ARAT Score, and LOS (EE and ME) (r=0.387-0.857, P<0.007) in this study. The CCS-total score of 62.5 (sensitivity 83.9%; specificity of 83.9%; AUC=0.892, P<0.001) was shown to distinguish the walking performance between people with stroke and healthy older adults.

Conclusions: The CCS is a reliable, valid and objective assessment tool for evaluating the motor coordination in people with stroke. The CCS exhibited good diagnostic power for distinguishing the coordination ability of individuals with stroke from that of healthy older adults.

Clinical rehabilitation impact: Therefore, the CCS is recommended for use in clinical settings to provide a detailed and comprehensive assessment of motor coordination impairment in stroke survivors.

求助全文
通过发布文献求助,成功后即可免费获取论文全文。 去求助
来源期刊
CiteScore
8.50
自引率
4.40%
发文量
162
审稿时长
6-12 weeks
期刊介绍: The European Journal of Physical and Rehabilitation Medicine publishes papers of clinical interest in physical and rehabilitation medicine.
×
引用
GB/T 7714-2015
复制
MLA
复制
APA
复制
导出至
BibTeX EndNote RefMan NoteFirst NoteExpress
×
提示
您的信息不完整,为了账户安全,请先补充。
现在去补充
×
提示
您因"违规操作"
具体请查看互助需知
我知道了
×
提示
确定
请完成安全验证×
copy
已复制链接
快去分享给好友吧!
我知道了
右上角分享
点击右上角分享
0
联系我们:info@booksci.cn Book学术提供免费学术资源搜索服务,方便国内外学者检索中英文文献。致力于提供最便捷和优质的服务体验。 Copyright © 2023 布克学术 All rights reserved.
京ICP备2023020795号-1
ghs 京公网安备 11010802042870号
Book学术文献互助
Book学术文献互助群
群 号:604180095
Book学术官方微信