2019冠状病毒病大流行期间欧盟呼吸系统、循环系统、肿瘤和其他疾病死亡率过高及其影响。

IF 2.2 4区 医学 Q3 INFECTIOUS DISEASES
Gabrielle Elizabeth Kelly, Stefano Petti, Norman Noah
{"title":"2019冠状病毒病大流行期间欧盟呼吸系统、循环系统、肿瘤和其他疾病死亡率过高及其影响。","authors":"Gabrielle Elizabeth Kelly, Stefano Petti, Norman Noah","doi":"10.1017/S0950268825100265","DOIUrl":null,"url":null,"abstract":"<p><p>This study analyzed standardized excess mortality due to specific causes during the Covid-19 pandemic across 33 European countries, using Eurostat data (2016-2021) and Our World in Data databases. Causes included circulatory and respiratory diseases, neoplasms, transport accidents, and \"other\" causes (e.g., diabetes, dementia, ill-defined conditions). Additional variables such as vaccination rates, economic and health indicators, demographics, and government stringency measures were also examined. Key findings include: (1) Most European countries (excluding Central and Eastern Europe), recorded lower than expected excess mortality from circulatory and respiratory diseases, neoplasms, and transport accidents. Ireland had the lowest excess respiratory mortality in both 2020 and 2021; (2) Croatia, Cyprus, Malta, and Turkey showed significant positive excess mortality from \"other\" causes, potentially linked to public health restrictions, with Turkey as an exception; (3) Regression analysis found that higher human development index and vaccination rates were associated with lower excess mortality. Policy Implications are: (1) Statistically significant positive or negative cause-specific excess mortality may indicate future health trends; (2) The pandemic and government stringency measures negatively affected mortality from \"other\" causes; (3) Strengthening health system resilience, investing in digital medicine, directing aid to countries with weaker systems, and supporting disadvantaged groups are key recommendations.</p>","PeriodicalId":11721,"journal":{"name":"Epidemiology and Infection","volume":" ","pages":"e86"},"PeriodicalIF":2.2000,"publicationDate":"2025-07-14","publicationTypes":"Journal Article","fieldsOfStudy":null,"isOpenAccess":false,"openAccessPdf":"https://www.ncbi.nlm.nih.gov/pmc/articles/PMC12322785/pdf/","citationCount":"0","resultStr":"{\"title\":\"Excess respiratory, circulatory, neoplasm, and other mortality rates during the Covid-19 pandemic in the EU and their implications.\",\"authors\":\"Gabrielle Elizabeth Kelly, Stefano Petti, Norman Noah\",\"doi\":\"10.1017/S0950268825100265\",\"DOIUrl\":null,\"url\":null,\"abstract\":\"<p><p>This study analyzed standardized excess mortality due to specific causes during the Covid-19 pandemic across 33 European countries, using Eurostat data (2016-2021) and Our World in Data databases. Causes included circulatory and respiratory diseases, neoplasms, transport accidents, and \\\"other\\\" causes (e.g., diabetes, dementia, ill-defined conditions). Additional variables such as vaccination rates, economic and health indicators, demographics, and government stringency measures were also examined. Key findings include: (1) Most European countries (excluding Central and Eastern Europe), recorded lower than expected excess mortality from circulatory and respiratory diseases, neoplasms, and transport accidents. Ireland had the lowest excess respiratory mortality in both 2020 and 2021; (2) Croatia, Cyprus, Malta, and Turkey showed significant positive excess mortality from \\\"other\\\" causes, potentially linked to public health restrictions, with Turkey as an exception; (3) Regression analysis found that higher human development index and vaccination rates were associated with lower excess mortality. Policy Implications are: (1) Statistically significant positive or negative cause-specific excess mortality may indicate future health trends; (2) The pandemic and government stringency measures negatively affected mortality from \\\"other\\\" causes; (3) Strengthening health system resilience, investing in digital medicine, directing aid to countries with weaker systems, and supporting disadvantaged groups are key recommendations.</p>\",\"PeriodicalId\":11721,\"journal\":{\"name\":\"Epidemiology and Infection\",\"volume\":\" \",\"pages\":\"e86\"},\"PeriodicalIF\":2.2000,\"publicationDate\":\"2025-07-14\",\"publicationTypes\":\"Journal Article\",\"fieldsOfStudy\":null,\"isOpenAccess\":false,\"openAccessPdf\":\"https://www.ncbi.nlm.nih.gov/pmc/articles/PMC12322785/pdf/\",\"citationCount\":\"0\",\"resultStr\":null,\"platform\":\"Semanticscholar\",\"paperid\":null,\"PeriodicalName\":\"Epidemiology and Infection\",\"FirstCategoryId\":\"3\",\"ListUrlMain\":\"https://doi.org/10.1017/S0950268825100265\",\"RegionNum\":4,\"RegionCategory\":\"医学\",\"ArticlePicture\":[],\"TitleCN\":null,\"AbstractTextCN\":null,\"PMCID\":null,\"EPubDate\":\"\",\"PubModel\":\"\",\"JCR\":\"Q3\",\"JCRName\":\"INFECTIOUS DISEASES\",\"Score\":null,\"Total\":0}","platform":"Semanticscholar","paperid":null,"PeriodicalName":"Epidemiology and Infection","FirstCategoryId":"3","ListUrlMain":"https://doi.org/10.1017/S0950268825100265","RegionNum":4,"RegionCategory":"医学","ArticlePicture":[],"TitleCN":null,"AbstractTextCN":null,"PMCID":null,"EPubDate":"","PubModel":"","JCR":"Q3","JCRName":"INFECTIOUS DISEASES","Score":null,"Total":0}
引用次数: 0

摘要

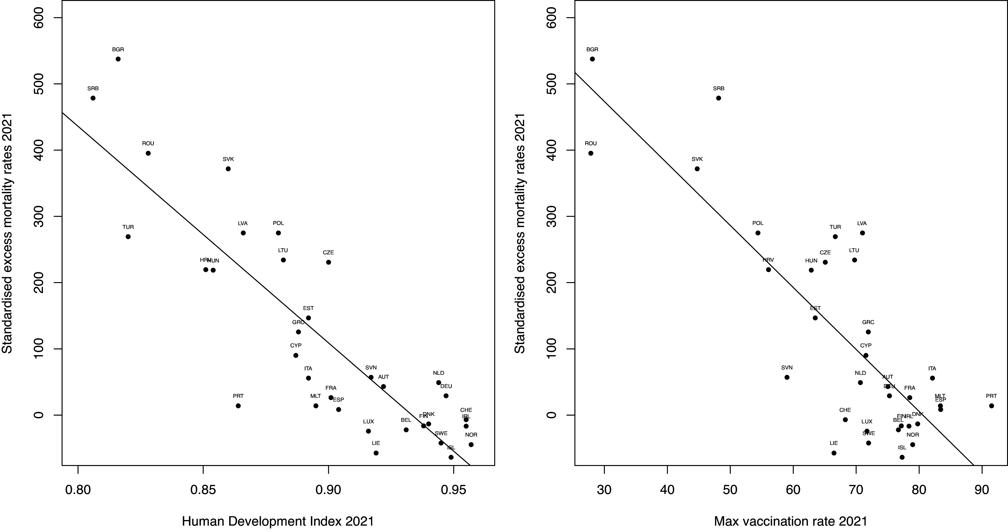
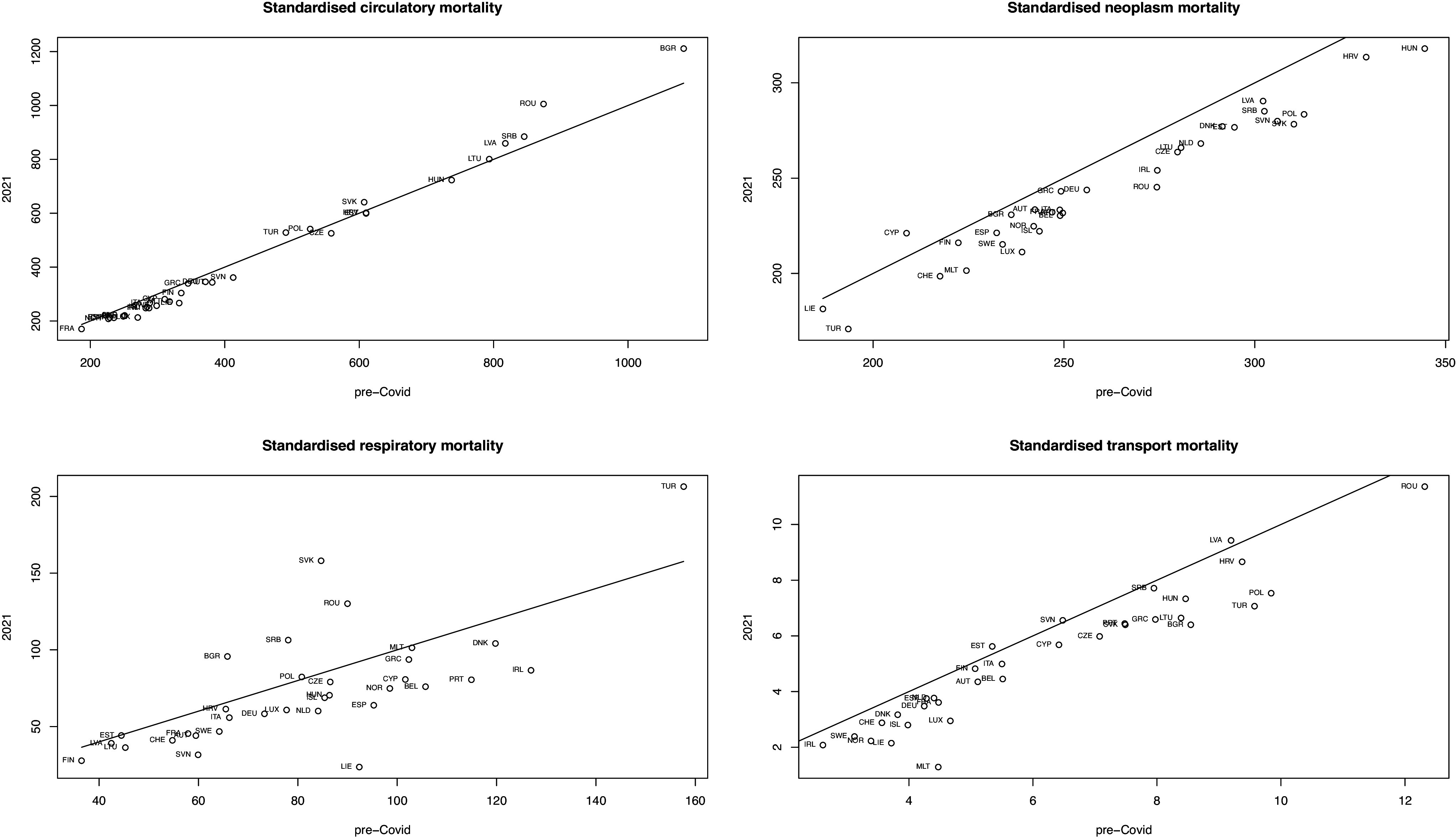
本研究使用欧盟统计局数据(2016-2021年)和Our World in data数据库,分析了33个欧洲国家在2019冠状病毒病大流行期间因特定原因导致的标准化超额死亡率。原因包括循环系统和呼吸系统疾病、肿瘤、交通事故和“其他”原因(如糖尿病、痴呆、疾病不明确)。还审查了其他变量,如疫苗接种率、经济和健康指标、人口统计和政府严格措施。主要发现包括:(1)大多数欧洲国家(不包括中欧和东欧)记录的循环系统和呼吸系统疾病、肿瘤和交通事故造成的超额死亡率低于预期。爱尔兰在2020年和2021年的呼吸系统超额死亡率最低;(2)克罗地亚、塞浦路斯、马耳他和土耳其显示出可能与公共卫生限制有关的“其他”原因导致的显著超额死亡率,但土耳其是个例外;(3)回归分析发现,人类发展指数和疫苗接种率越高,超额死亡率越低。政策影响包括:(1)统计上显著的正因或负因超额死亡率可能表明未来的健康趋势;(2)大流行和政府的严格措施对“其他”原因造成的死亡率产生了负面影响;(3)加强卫生系统复原力、投资数字医学、向卫生系统较弱的国家提供援助以及支持弱势群体是主要建议。
本文章由计算机程序翻译,如有差异,请以英文原文为准。

Excess respiratory, circulatory, neoplasm, and other mortality rates during the Covid-19 pandemic in the EU and their implications.

Excess respiratory, circulatory, neoplasm, and other mortality rates during the Covid-19 pandemic in the EU and their implications.

Excess respiratory, circulatory, neoplasm, and other mortality rates during the Covid-19 pandemic in the EU and their implications.

Excess respiratory, circulatory, neoplasm, and other mortality rates during the Covid-19 pandemic in the EU and their implications.

This study analyzed standardized excess mortality due to specific causes during the Covid-19 pandemic across 33 European countries, using Eurostat data (2016-2021) and Our World in Data databases. Causes included circulatory and respiratory diseases, neoplasms, transport accidents, and "other" causes (e.g., diabetes, dementia, ill-defined conditions). Additional variables such as vaccination rates, economic and health indicators, demographics, and government stringency measures were also examined. Key findings include: (1) Most European countries (excluding Central and Eastern Europe), recorded lower than expected excess mortality from circulatory and respiratory diseases, neoplasms, and transport accidents. Ireland had the lowest excess respiratory mortality in both 2020 and 2021; (2) Croatia, Cyprus, Malta, and Turkey showed significant positive excess mortality from "other" causes, potentially linked to public health restrictions, with Turkey as an exception; (3) Regression analysis found that higher human development index and vaccination rates were associated with lower excess mortality. Policy Implications are: (1) Statistically significant positive or negative cause-specific excess mortality may indicate future health trends; (2) The pandemic and government stringency measures negatively affected mortality from "other" causes; (3) Strengthening health system resilience, investing in digital medicine, directing aid to countries with weaker systems, and supporting disadvantaged groups are key recommendations.

求助全文
通过发布文献求助,成功后即可免费获取论文全文。 去求助
来源期刊
Epidemiology and Infection
Epidemiology and Infection 医学-传染病学
CiteScore
4.10
自引率
2.40%
发文量
366
审稿时长
3-6 weeks
期刊介绍: Epidemiology & Infection publishes original reports and reviews on all aspects of infection in humans and animals. Particular emphasis is given to the epidemiology, prevention and control of infectious diseases. The scope covers the zoonoses, outbreaks, food hygiene, vaccine studies, statistics and the clinical, social and public-health aspects of infectious disease, as well as some tropical infections. It has become the key international periodical in which to find the latest reports on recently discovered infections and new technology. For those concerned with policy and planning for the control of infections, the papers on mathematical modelling of epidemics caused by historical, current and emergent infections are of particular value.
×
引用
GB/T 7714-2015
复制
MLA
复制
APA
复制
导出至
BibTeX EndNote RefMan NoteFirst NoteExpress
×
提示
您的信息不完整,为了账户安全,请先补充。
现在去补充
×
提示
您因"违规操作"
具体请查看互助需知
我知道了
×
提示
确定
请完成安全验证×
copy
已复制链接
快去分享给好友吧!
我知道了
右上角分享
点击右上角分享
0
联系我们:info@booksci.cn Book学术提供免费学术资源搜索服务,方便国内外学者检索中英文文献。致力于提供最便捷和优质的服务体验。 Copyright © 2023 布克学术 All rights reserved.
京ICP备2023020795号-1
ghs 京公网安备 11010802042870号
Book学术文献互助
Book学术文献互助群
群 号:604180095
Book学术官方微信