喀斯特草本湿地的基本要素和非基本要素:来自城市尘埃的输入。

IF 2.2 4区 环境科学与生态学 Q2 ENVIRONMENTAL SCIENCES
Wendy Yesenia Ortiz-Aguilar, Daniela Ortega-Camacho, Daniel Rosas, Maria Elizabeth Hernández-Alarcón, Gilberto Acosta-González, Elizabeth Hernandez-Álvarez, Valentina Abril Perez-Alfaro, Beatriz Escobar-Morales, Eduardo Cejudo
{"title":"喀斯特草本湿地的基本要素和非基本要素:来自城市尘埃的输入。","authors":"Wendy Yesenia Ortiz-Aguilar,&nbsp;Daniela Ortega-Camacho,&nbsp;Daniel Rosas,&nbsp;Maria Elizabeth Hernández-Alarcón,&nbsp;Gilberto Acosta-González,&nbsp;Elizabeth Hernandez-Álvarez,&nbsp;Valentina Abril Perez-Alfaro,&nbsp;Beatriz Escobar-Morales,&nbsp;Eduardo Cejudo","doi":"10.1007/s00244-025-01138-5","DOIUrl":null,"url":null,"abstract":"<div><p>Wetlands play an important role in biogeochemical cycles, as their hydrological and edaphic properties drive chemical reactions that facilitate the storage or transfer of various elements. Some herbaceous wetlands are ecosystems dominated by grass-like communities, sedges and rushes, and the information available at international level reveals they are poorly studied ecosystems in terms of elemental analysis. This research seeks to contribute to the understanding of herbaceous wetlands producing an inventory of essential and non-essential elements, the latter expected to be increased from the direct interaction of the wetland with a road. Several elements, divided into four major groups (macro-elements, micro-elements, trace elements and non-essential elements), were quantitatively analyzed in five environmental matrices (interstitial water, sediments, vegetal aerial parts and roots, and snail shells) as well as urban dust, for the purpose of finding out whether urban dust from the road was a fixed source of non-essential elements for the wetland. Based on our findings, we report the presence of 24 elements (calcium, potassium, magnesium, phosphorus, iron, nickel, chromium, manganese, copper, zinc, silicon, barium, cobalt, molybdenum, selenium, vanadium, sodium, aluminum, cadmium, lead, antimony, arsenic, thallium and mercury), not all of them reported in all samples. We found several elements in highest concentrations in the portion of the wetland closest to the road, in water (Cu and Tl), sediments (Fe, Cr, Cu, V and Tl), aerial tissue of the plants (Mn, Co, V, Cd, Pb and As) and plants roots (Ni, Cr, Cu, Zn, Co, Mo, V, Al, Cd, Se, Pb and As). These elements overlap with those found in urban dust (Fe, Ni, Cr, Mn, Cu, Zn, Ba, Co, V, Cd, Pb, As, Tl), supporting the hypothesis that the road might be a source of both essential and non-essential elements to the wetland.</p></div>","PeriodicalId":8377,"journal":{"name":"Archives of Environmental Contamination and Toxicology","volume":"89 1","pages":"78 - 94"},"PeriodicalIF":2.2000,"publicationDate":"2025-07-14","publicationTypes":"Journal Article","fieldsOfStudy":null,"isOpenAccess":false,"openAccessPdf":"","citationCount":"0","resultStr":"{\"title\":\"Essential and Non-essential Elements in an Herbaceous Karst Wetland: Inputs from Urban Dust\",\"authors\":\"Wendy Yesenia Ortiz-Aguilar,&nbsp;Daniela Ortega-Camacho,&nbsp;Daniel Rosas,&nbsp;Maria Elizabeth Hernández-Alarcón,&nbsp;Gilberto Acosta-González,&nbsp;Elizabeth Hernandez-Álvarez,&nbsp;Valentina Abril Perez-Alfaro,&nbsp;Beatriz Escobar-Morales,&nbsp;Eduardo Cejudo\",\"doi\":\"10.1007/s00244-025-01138-5\",\"DOIUrl\":null,\"url\":null,\"abstract\":\"<div><p>Wetlands play an important role in biogeochemical cycles, as their hydrological and edaphic properties drive chemical reactions that facilitate the storage or transfer of various elements. Some herbaceous wetlands are ecosystems dominated by grass-like communities, sedges and rushes, and the information available at international level reveals they are poorly studied ecosystems in terms of elemental analysis. This research seeks to contribute to the understanding of herbaceous wetlands producing an inventory of essential and non-essential elements, the latter expected to be increased from the direct interaction of the wetland with a road. Several elements, divided into four major groups (macro-elements, micro-elements, trace elements and non-essential elements), were quantitatively analyzed in five environmental matrices (interstitial water, sediments, vegetal aerial parts and roots, and snail shells) as well as urban dust, for the purpose of finding out whether urban dust from the road was a fixed source of non-essential elements for the wetland. Based on our findings, we report the presence of 24 elements (calcium, potassium, magnesium, phosphorus, iron, nickel, chromium, manganese, copper, zinc, silicon, barium, cobalt, molybdenum, selenium, vanadium, sodium, aluminum, cadmium, lead, antimony, arsenic, thallium and mercury), not all of them reported in all samples. We found several elements in highest concentrations in the portion of the wetland closest to the road, in water (Cu and Tl), sediments (Fe, Cr, Cu, V and Tl), aerial tissue of the plants (Mn, Co, V, Cd, Pb and As) and plants roots (Ni, Cr, Cu, Zn, Co, Mo, V, Al, Cd, Se, Pb and As). These elements overlap with those found in urban dust (Fe, Ni, Cr, Mn, Cu, Zn, Ba, Co, V, Cd, Pb, As, Tl), supporting the hypothesis that the road might be a source of both essential and non-essential elements to the wetland.</p></div>\",\"PeriodicalId\":8377,\"journal\":{\"name\":\"Archives of Environmental Contamination and Toxicology\",\"volume\":\"89 1\",\"pages\":\"78 - 94\"},\"PeriodicalIF\":2.2000,\"publicationDate\":\"2025-07-14\",\"publicationTypes\":\"Journal Article\",\"fieldsOfStudy\":null,\"isOpenAccess\":false,\"openAccessPdf\":\"\",\"citationCount\":\"0\",\"resultStr\":null,\"platform\":\"Semanticscholar\",\"paperid\":null,\"PeriodicalName\":\"Archives of Environmental Contamination and Toxicology\",\"FirstCategoryId\":\"93\",\"ListUrlMain\":\"https://link.springer.com/article/10.1007/s00244-025-01138-5\",\"RegionNum\":4,\"RegionCategory\":\"环境科学与生态学\",\"ArticlePicture\":[],\"TitleCN\":null,\"AbstractTextCN\":null,\"PMCID\":null,\"EPubDate\":\"\",\"PubModel\":\"\",\"JCR\":\"Q2\",\"JCRName\":\"ENVIRONMENTAL SCIENCES\",\"Score\":null,\"Total\":0}","platform":"Semanticscholar","paperid":null,"PeriodicalName":"Archives of Environmental Contamination and Toxicology","FirstCategoryId":"93","ListUrlMain":"https://link.springer.com/article/10.1007/s00244-025-01138-5","RegionNum":4,"RegionCategory":"环境科学与生态学","ArticlePicture":[],"TitleCN":null,"AbstractTextCN":null,"PMCID":null,"EPubDate":"","PubModel":"","JCR":"Q2","JCRName":"ENVIRONMENTAL SCIENCES","Score":null,"Total":0}
引用次数: 0

摘要

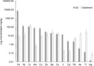
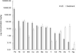
湿地在生物地球化学循环中发挥着重要作用,因为其水文和土壤特性驱动化学反应,促进各种元素的储存或转移。一些草本湿地是由类草群落、莎草和灯芯草为主的生态系统,国际上现有的信息表明,从元素分析的角度来看,这些生态系统的研究很少。本研究旨在促进对草本湿地的理解,产生必要和非必要元素的清单,后者预计将从湿地与道路的直接相互作用中增加。通过对5种环境基质(间隙水、沉积物、植物空气部分和根系、蜗牛壳)和城市粉尘中常量元素、微量元素、非必需元素4大类元素的定量分析,探讨道路城市粉尘是否是湿地非必需元素的固定来源。根据我们的发现,我们报告了24种元素(钙、钾、镁、磷、铁、镍、铬、锰、铜、锌、硅、钡、钴、钼、硒、钒、钠、铝、镉、铅、锑、砷、铊和汞)的存在,并不是所有样品中都有报告。在湿地靠近道路的部分、水中(Cu和Tl)、沉积物(Fe、Cr、Cu、V和Tl)、植物的空中组织(Mn、Co、V、Cd、Pb和As)和植物的根系(Ni、Cr、Cu、Zn、Co、Mo、V、Al、Cd、Se、Pb和As)中,几种元素的浓度最高。这些元素与城市尘埃中发现的元素(Fe、Ni、Cr、Mn、Cu、Zn、Ba、Co、V、Cd、Pb、As、Tl)重叠,支持了道路可能是湿地必需和非必需元素来源的假设。
本文章由计算机程序翻译,如有差异,请以英文原文为准。

Essential and Non-essential Elements in an Herbaceous Karst Wetland: Inputs from Urban Dust

Essential and Non-essential Elements in an Herbaceous Karst Wetland: Inputs from Urban Dust

Essential and Non-essential Elements in an Herbaceous Karst Wetland: Inputs from Urban Dust

Wetlands play an important role in biogeochemical cycles, as their hydrological and edaphic properties drive chemical reactions that facilitate the storage or transfer of various elements. Some herbaceous wetlands are ecosystems dominated by grass-like communities, sedges and rushes, and the information available at international level reveals they are poorly studied ecosystems in terms of elemental analysis. This research seeks to contribute to the understanding of herbaceous wetlands producing an inventory of essential and non-essential elements, the latter expected to be increased from the direct interaction of the wetland with a road. Several elements, divided into four major groups (macro-elements, micro-elements, trace elements and non-essential elements), were quantitatively analyzed in five environmental matrices (interstitial water, sediments, vegetal aerial parts and roots, and snail shells) as well as urban dust, for the purpose of finding out whether urban dust from the road was a fixed source of non-essential elements for the wetland. Based on our findings, we report the presence of 24 elements (calcium, potassium, magnesium, phosphorus, iron, nickel, chromium, manganese, copper, zinc, silicon, barium, cobalt, molybdenum, selenium, vanadium, sodium, aluminum, cadmium, lead, antimony, arsenic, thallium and mercury), not all of them reported in all samples. We found several elements in highest concentrations in the portion of the wetland closest to the road, in water (Cu and Tl), sediments (Fe, Cr, Cu, V and Tl), aerial tissue of the plants (Mn, Co, V, Cd, Pb and As) and plants roots (Ni, Cr, Cu, Zn, Co, Mo, V, Al, Cd, Se, Pb and As). These elements overlap with those found in urban dust (Fe, Ni, Cr, Mn, Cu, Zn, Ba, Co, V, Cd, Pb, As, Tl), supporting the hypothesis that the road might be a source of both essential and non-essential elements to the wetland.

求助全文
通过发布文献求助,成功后即可免费获取论文全文。 去求助
来源期刊
CiteScore
7.00
自引率
2.50%
发文量
63
审稿时长
8-16 weeks
期刊介绍: Archives of Environmental Contamination and Toxicology provides a place for the publication of timely, detailed, and definitive scientific studies pertaining to the source, transport, fate and / or effects of contaminants in the environment. The journal will consider submissions dealing with new analytical and toxicological techniques that advance our understanding of the source, transport, fate and / or effects of contaminants in the environment. AECT will now consider mini-reviews (where length including references is less than 5,000 words), which highlight case studies, a geographic topic of interest, or a timely subject of debate. AECT will also consider Special Issues on subjects of broad interest. The journal strongly encourages authors to ensure that their submission places a strong emphasis on ecosystem processes; submissions limited to technical aspects of such areas as toxicity testing for single chemicals, wastewater effluent characterization, human occupation exposure, or agricultural phytotoxicity are unlikely to be considered.
×
引用
GB/T 7714-2015
复制
MLA
复制
APA
复制
导出至
BibTeX EndNote RefMan NoteFirst NoteExpress
×
提示
您的信息不完整,为了账户安全,请先补充。
现在去补充
×
提示
您因"违规操作"
具体请查看互助需知
我知道了
×
提示
确定
请完成安全验证×
copy
已复制链接
快去分享给好友吧!
我知道了
右上角分享
点击右上角分享
0
联系我们:info@booksci.cn Book学术提供免费学术资源搜索服务,方便国内外学者检索中英文文献。致力于提供最便捷和优质的服务体验。 Copyright © 2023 布克学术 All rights reserved.
京ICP备2023020795号-1
ghs 京公网安备 11010802042870号
Book学术文献互助
Book学术文献互助群
群 号:604180095
Book学术官方微信