学龄儿童睡眠、久坐行为和身体活动与肥胖和心肺健康之间的横断面和纵向关联:一项成分数据分析。

Aaron Miatke, Tim Olds, Carol Maher, Francois Fraysse, Dorothea Dumuid
{"title":"学龄儿童睡眠、久坐行为和身体活动与肥胖和心肺健康之间的横断面和纵向关联:一项成分数据分析。","authors":"Aaron Miatke, Tim Olds, Carol Maher, Francois Fraysse, Dorothea Dumuid","doi":"10.1186/s44167-025-00082-y","DOIUrl":null,"url":null,"abstract":"<p><strong>Background: </strong>Time spent in sleep, sedentary behaviour (SB), light physical activity (LPA) and moderate-to-vigorous physical activity (MVPA) all impact child health. The aim of this study was to investigate cross-sectional and longitudinal associations between time use and adiposity and cardio-respiratory fitness (CRF) in school-aged children.</p><p><strong>Methods: </strong>Cross-sectional (n = 281) and longitudinal (n = 305) data were used from the Life on Holidays study with assessments over three time periods (two consecutive school years, and the interleaving summer holiday period). 24-h time use was measured using wrist-worn accelerometers. Adiposity was assessed as BMI z-score from measured weight and height, using World Health Organization reference data, and from body fat percentage (%BF) measured via bioelectrical impedance. CRF was operationalised as estimated VO<sub>2</sub>max from the 20-m shuttle run test. Compositional data analysis in conjunction with linear mixed-effects models was used to investigate the associations between time-use composition and outcomes after controlling for covariates. Cross-sectional models used baseline measures, and longitudinal models used rates of change in each outcome. Sensitivity analyses explored relationships for moderate physical activity (MPA) and vigorous physical activity (VPA) separately.</p><p><strong>Results: </strong>In cross-sectional analyses, time spent in MVPA was favourably associated with all adiposity and fitness outcomes (all p < 0.01) whereas time in LPA was unfavourably associated with all outcomes (all p < 0.01). Sleep was favourably associated with %BF, whereas SB was unfavourably associated (both p = 0.02). In longitudinal models, only MVPA was significantly associated with any of the three outcomes. 30 min/day more time spent in MVPA was associated with a decrease in %BF rate of change (-0.60 to -0.48) when time was reallocated from LPA or SB, and with an increase in VO<sub>2</sub>max (+ 0.89 to + 1.01) when time was reallocated from any other behaviour. Sensitivity analyses showed VPA was significantly associated with changes in %BF and VO<sub>2</sub>max.</p><p><strong>Conclusions: </strong>All behaviours displayed cross-sectional associations with adiposity and CRF. However, only MVPA (and in particular VPA) was significantly associated with changes in %BF or VO<sub>2</sub>max in longitudinal models. Future efforts should focus on increasing participation in MVPA with school-aged children to see the most benefit to health.</p>","PeriodicalId":73581,"journal":{"name":"Journal of activity, sedentary and sleep behaviors","volume":"4 1","pages":"11"},"PeriodicalIF":0.0000,"publicationDate":"2025-07-11","publicationTypes":"Journal Article","fieldsOfStudy":null,"isOpenAccess":false,"openAccessPdf":"https://www.ncbi.nlm.nih.gov/pmc/articles/PMC12247391/pdf/","citationCount":"0","resultStr":"{\"title\":\"Cross-sectional and longitudinal associations between sleep, sedentary behaviour and physical activity with adiposity and cardio-respiratory fitness in school-aged children: a compositional data analysis.\",\"authors\":\"Aaron Miatke, Tim Olds, Carol Maher, Francois Fraysse, Dorothea Dumuid\",\"doi\":\"10.1186/s44167-025-00082-y\",\"DOIUrl\":null,\"url\":null,\"abstract\":\"<p><strong>Background: </strong>Time spent in sleep, sedentary behaviour (SB), light physical activity (LPA) and moderate-to-vigorous physical activity (MVPA) all impact child health. The aim of this study was to investigate cross-sectional and longitudinal associations between time use and adiposity and cardio-respiratory fitness (CRF) in school-aged children.</p><p><strong>Methods: </strong>Cross-sectional (n = 281) and longitudinal (n = 305) data were used from the Life on Holidays study with assessments over three time periods (two consecutive school years, and the interleaving summer holiday period). 24-h time use was measured using wrist-worn accelerometers. Adiposity was assessed as BMI z-score from measured weight and height, using World Health Organization reference data, and from body fat percentage (%BF) measured via bioelectrical impedance. CRF was operationalised as estimated VO<sub>2</sub>max from the 20-m shuttle run test. Compositional data analysis in conjunction with linear mixed-effects models was used to investigate the associations between time-use composition and outcomes after controlling for covariates. Cross-sectional models used baseline measures, and longitudinal models used rates of change in each outcome. Sensitivity analyses explored relationships for moderate physical activity (MPA) and vigorous physical activity (VPA) separately.</p><p><strong>Results: </strong>In cross-sectional analyses, time spent in MVPA was favourably associated with all adiposity and fitness outcomes (all p < 0.01) whereas time in LPA was unfavourably associated with all outcomes (all p < 0.01). Sleep was favourably associated with %BF, whereas SB was unfavourably associated (both p = 0.02). In longitudinal models, only MVPA was significantly associated with any of the three outcomes. 30 min/day more time spent in MVPA was associated with a decrease in %BF rate of change (-0.60 to -0.48) when time was reallocated from LPA or SB, and with an increase in VO<sub>2</sub>max (+ 0.89 to + 1.01) when time was reallocated from any other behaviour. Sensitivity analyses showed VPA was significantly associated with changes in %BF and VO<sub>2</sub>max.</p><p><strong>Conclusions: </strong>All behaviours displayed cross-sectional associations with adiposity and CRF. However, only MVPA (and in particular VPA) was significantly associated with changes in %BF or VO<sub>2</sub>max in longitudinal models. Future efforts should focus on increasing participation in MVPA with school-aged children to see the most benefit to health.</p>\",\"PeriodicalId\":73581,\"journal\":{\"name\":\"Journal of activity, sedentary and sleep behaviors\",\"volume\":\"4 1\",\"pages\":\"11\"},\"PeriodicalIF\":0.0000,\"publicationDate\":\"2025-07-11\",\"publicationTypes\":\"Journal Article\",\"fieldsOfStudy\":null,\"isOpenAccess\":false,\"openAccessPdf\":\"https://www.ncbi.nlm.nih.gov/pmc/articles/PMC12247391/pdf/\",\"citationCount\":\"0\",\"resultStr\":null,\"platform\":\"Semanticscholar\",\"paperid\":null,\"PeriodicalName\":\"Journal of activity, sedentary and sleep behaviors\",\"FirstCategoryId\":\"1085\",\"ListUrlMain\":\"https://doi.org/10.1186/s44167-025-00082-y\",\"RegionNum\":0,\"RegionCategory\":null,\"ArticlePicture\":[],\"TitleCN\":null,\"AbstractTextCN\":null,\"PMCID\":null,\"EPubDate\":\"\",\"PubModel\":\"\",\"JCR\":\"\",\"JCRName\":\"\",\"Score\":null,\"Total\":0}","platform":"Semanticscholar","paperid":null,"PeriodicalName":"Journal of activity, sedentary and sleep behaviors","FirstCategoryId":"1085","ListUrlMain":"https://doi.org/10.1186/s44167-025-00082-y","RegionNum":0,"RegionCategory":null,"ArticlePicture":[],"TitleCN":null,"AbstractTextCN":null,"PMCID":null,"EPubDate":"","PubModel":"","JCR":"","JCRName":"","Score":null,"Total":0}
引用次数: 0

摘要

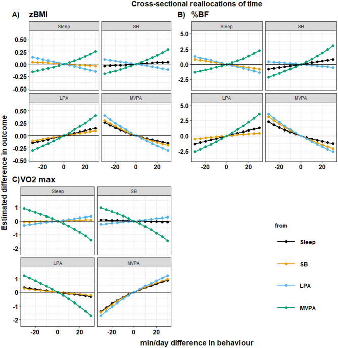
背景:睡眠时间、久坐行为(SB)、轻度身体活动(LPA)和中度至剧烈身体活动(MVPA)都会影响儿童健康。本研究的目的是调查学龄儿童时间使用与肥胖和心肺健康(CRF)之间的横断面和纵向关联。方法:使用来自“假期生活”研究的横断面(n = 281)和纵向(n = 305)数据,在三个时间段(连续两个学年和交叉的暑假期间)进行评估。使用腕带加速度计测量24小时时间使用情况。使用世界卫生组织参考数据,通过测量体重和身高,以及通过生物电阻抗测量体脂百分比(%BF),以BMI z评分来评估肥胖。根据20米穿梭运行测试估计的最大摄氧量,CRF被操作。在控制协变量后,使用组合数据分析结合线性混合效应模型来调查时间使用组合与结果之间的关系。横断面模型使用基线测量,纵向模型使用每个结果的变化率。敏感性分析分别探讨了中度体力活动(MPA)和剧烈体力活动(VPA)之间的关系。结果:在横断面分析中,当从任何其他行为中重新分配时间时,在MVPA中花费的时间与所有肥胖和健康结果(所有p 2max(+ 0.89至+ 1.01)有利相关。敏感性分析显示VPA与%BF和VO2max的变化显著相关。结论:所有行为均与肥胖和CRF呈横断面关联。然而,在纵向模型中,只有MVPA(特别是VPA)与%BF或VO2max的变化显著相关。今后的努力应侧重于增加学龄儿童参加MVPA,以最大限度地促进健康。
本文章由计算机程序翻译,如有差异,请以英文原文为准。

Cross-sectional and longitudinal associations between sleep, sedentary behaviour and physical activity with adiposity and cardio-respiratory fitness in school-aged children: a compositional data analysis.

Cross-sectional and longitudinal associations between sleep, sedentary behaviour and physical activity with adiposity and cardio-respiratory fitness in school-aged children: a compositional data analysis.

Cross-sectional and longitudinal associations between sleep, sedentary behaviour and physical activity with adiposity and cardio-respiratory fitness in school-aged children: a compositional data analysis.

Background: Time spent in sleep, sedentary behaviour (SB), light physical activity (LPA) and moderate-to-vigorous physical activity (MVPA) all impact child health. The aim of this study was to investigate cross-sectional and longitudinal associations between time use and adiposity and cardio-respiratory fitness (CRF) in school-aged children.

Methods: Cross-sectional (n = 281) and longitudinal (n = 305) data were used from the Life on Holidays study with assessments over three time periods (two consecutive school years, and the interleaving summer holiday period). 24-h time use was measured using wrist-worn accelerometers. Adiposity was assessed as BMI z-score from measured weight and height, using World Health Organization reference data, and from body fat percentage (%BF) measured via bioelectrical impedance. CRF was operationalised as estimated VO2max from the 20-m shuttle run test. Compositional data analysis in conjunction with linear mixed-effects models was used to investigate the associations between time-use composition and outcomes after controlling for covariates. Cross-sectional models used baseline measures, and longitudinal models used rates of change in each outcome. Sensitivity analyses explored relationships for moderate physical activity (MPA) and vigorous physical activity (VPA) separately.

Results: In cross-sectional analyses, time spent in MVPA was favourably associated with all adiposity and fitness outcomes (all p < 0.01) whereas time in LPA was unfavourably associated with all outcomes (all p < 0.01). Sleep was favourably associated with %BF, whereas SB was unfavourably associated (both p = 0.02). In longitudinal models, only MVPA was significantly associated with any of the three outcomes. 30 min/day more time spent in MVPA was associated with a decrease in %BF rate of change (-0.60 to -0.48) when time was reallocated from LPA or SB, and with an increase in VO2max (+ 0.89 to + 1.01) when time was reallocated from any other behaviour. Sensitivity analyses showed VPA was significantly associated with changes in %BF and VO2max.

Conclusions: All behaviours displayed cross-sectional associations with adiposity and CRF. However, only MVPA (and in particular VPA) was significantly associated with changes in %BF or VO2max in longitudinal models. Future efforts should focus on increasing participation in MVPA with school-aged children to see the most benefit to health.

求助全文
通过发布文献求助,成功后即可免费获取论文全文。 去求助
来源期刊
自引率
0.00%
发文量
0
×
引用
GB/T 7714-2015
复制
MLA
复制
APA
复制
导出至
BibTeX EndNote RefMan NoteFirst NoteExpress
×
提示
您的信息不完整,为了账户安全,请先补充。
现在去补充
×
提示
您因"违规操作"
具体请查看互助需知
我知道了
×
提示
确定
请完成安全验证×
copy
已复制链接
快去分享给好友吧!
我知道了
右上角分享
点击右上角分享
0
联系我们:info@booksci.cn Book学术提供免费学术资源搜索服务,方便国内外学者检索中英文文献。致力于提供最便捷和优质的服务体验。 Copyright © 2023 布克学术 All rights reserved.
京ICP备2023020795号-1
ghs 京公网安备 11010802042870号
Book学术文献互助
Book学术文献互助群
群 号:604180095
Book学术官方微信