变热上升/下降对MHD麦克斯韦三元纳米流体(铜-铝-二氧化钛/水)在移动针上流动的影响。

IF 3.9 2区 综合性期刊 Q1 MULTIDISCIPLINARY SCIENCES
Amir Abbas, Laraib Kiran, Kaouther Ghachem, Tarek Salem Abdennaji, Badr M Alshammari, Lioua Kolsi, Ilyas Khan, M S Khan
{"title":"变热上升/下降对MHD麦克斯韦三元纳米流体(铜-铝-二氧化钛/水)在移动针上流动的影响。","authors":"Amir Abbas, Laraib Kiran, Kaouther Ghachem, Tarek Salem Abdennaji, Badr M Alshammari, Lioua Kolsi, Ilyas Khan, M S Khan","doi":"10.1038/s41598-025-10057-3","DOIUrl":null,"url":null,"abstract":"<p><p>The current study explores the impact of variable heat rise/fall on the heat and mass transfer through Maxwell Ternary Nanofluid based on Copper-Alumina-Titanium Dioxide/Water. Electrically conducting non-Newtonian Maxwell fluid flowing on a moving thin needle embedded in porous media is considered. Effects of chemical reaction parameters along with the applied magnetic field in the normal direction of the flow of fluid are incorporated. The proposed mechanism in the form of differential equations is solved using the MATLAB bvp4c solver. This study can be utilized in energy systems like nuclear and chemical reactors, where managing high heat fluxes in porous environments is essential. The unique behavior of ternary nanofluids under magnetic fields improves cooling efficiency and system stability. The computed results show that the increase in the Maxwell fluid parameter causes a reduction in the velocity field and an augmentation of temperature and mass concentration. This is due to an increase in thermal relaxation time, which takes time for the adjustment of the fluid. It is concluded that an increase in the Lorentz force due to a rising magnetic field parameter results in a temperature increase and a decrease in the fluid's velocity. The variable heat rise and fall parameter leads to an increase in the fluid's temperature. An increase in the nanoparticle volume fraction results in elevated temperature and concentration distributions. Moreover, the Nusselt number increases with higher Prandtl numbers, while the Sherwood number decreases as the chemical reaction parameter grows. The main outcome of this current study for the case of the ternary nanofluid is that the overall thermal performance of the fluid is improved, which serves the purpose of the proposed study.</p>","PeriodicalId":21811,"journal":{"name":"Scientific Reports","volume":"15 1","pages":"25209"},"PeriodicalIF":3.9000,"publicationDate":"2025-07-12","publicationTypes":"Journal Article","fieldsOfStudy":null,"isOpenAccess":false,"openAccessPdf":"https://www.ncbi.nlm.nih.gov/pmc/articles/PMC12255786/pdf/","citationCount":"0","resultStr":"{\"title\":\"Effects of variable heat rise/fall on MHD Maxwell ternary nanofluid (Copper-Alumina-Titanium Dioxide/Water) flow over a moving needle.\",\"authors\":\"Amir Abbas, Laraib Kiran, Kaouther Ghachem, Tarek Salem Abdennaji, Badr M Alshammari, Lioua Kolsi, Ilyas Khan, M S Khan\",\"doi\":\"10.1038/s41598-025-10057-3\",\"DOIUrl\":null,\"url\":null,\"abstract\":\"<p><p>The current study explores the impact of variable heat rise/fall on the heat and mass transfer through Maxwell Ternary Nanofluid based on Copper-Alumina-Titanium Dioxide/Water. Electrically conducting non-Newtonian Maxwell fluid flowing on a moving thin needle embedded in porous media is considered. Effects of chemical reaction parameters along with the applied magnetic field in the normal direction of the flow of fluid are incorporated. The proposed mechanism in the form of differential equations is solved using the MATLAB bvp4c solver. This study can be utilized in energy systems like nuclear and chemical reactors, where managing high heat fluxes in porous environments is essential. The unique behavior of ternary nanofluids under magnetic fields improves cooling efficiency and system stability. The computed results show that the increase in the Maxwell fluid parameter causes a reduction in the velocity field and an augmentation of temperature and mass concentration. This is due to an increase in thermal relaxation time, which takes time for the adjustment of the fluid. It is concluded that an increase in the Lorentz force due to a rising magnetic field parameter results in a temperature increase and a decrease in the fluid's velocity. The variable heat rise and fall parameter leads to an increase in the fluid's temperature. An increase in the nanoparticle volume fraction results in elevated temperature and concentration distributions. Moreover, the Nusselt number increases with higher Prandtl numbers, while the Sherwood number decreases as the chemical reaction parameter grows. The main outcome of this current study for the case of the ternary nanofluid is that the overall thermal performance of the fluid is improved, which serves the purpose of the proposed study.</p>\",\"PeriodicalId\":21811,\"journal\":{\"name\":\"Scientific Reports\",\"volume\":\"15 1\",\"pages\":\"25209\"},\"PeriodicalIF\":3.9000,\"publicationDate\":\"2025-07-12\",\"publicationTypes\":\"Journal Article\",\"fieldsOfStudy\":null,\"isOpenAccess\":false,\"openAccessPdf\":\"https://www.ncbi.nlm.nih.gov/pmc/articles/PMC12255786/pdf/\",\"citationCount\":\"0\",\"resultStr\":null,\"platform\":\"Semanticscholar\",\"paperid\":null,\"PeriodicalName\":\"Scientific Reports\",\"FirstCategoryId\":\"103\",\"ListUrlMain\":\"https://doi.org/10.1038/s41598-025-10057-3\",\"RegionNum\":2,\"RegionCategory\":\"综合性期刊\",\"ArticlePicture\":[],\"TitleCN\":null,\"AbstractTextCN\":null,\"PMCID\":null,\"EPubDate\":\"\",\"PubModel\":\"\",\"JCR\":\"Q1\",\"JCRName\":\"MULTIDISCIPLINARY SCIENCES\",\"Score\":null,\"Total\":0}","platform":"Semanticscholar","paperid":null,"PeriodicalName":"Scientific Reports","FirstCategoryId":"103","ListUrlMain":"https://doi.org/10.1038/s41598-025-10057-3","RegionNum":2,"RegionCategory":"综合性期刊","ArticlePicture":[],"TitleCN":null,"AbstractTextCN":null,"PMCID":null,"EPubDate":"","PubModel":"","JCR":"Q1","JCRName":"MULTIDISCIPLINARY SCIENCES","Score":null,"Total":0}
引用次数: 0

摘要

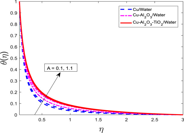
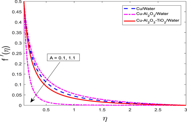
本研究探讨了变热/变热对铜-铝-二氧化钛/水麦克斯韦三元纳米流体传热传质的影响。考虑非牛顿麦克斯韦流体在嵌入多孔介质中的移动细针上的导电流动。考虑了化学反应参数和外加磁场对流体法向流动的影响。利用MATLAB的bvp4c求解器,以微分方程的形式对所提出的机构进行求解。该研究可用于核能和化学反应堆等能源系统,在这些系统中,在多孔环境中管理高热流是必不可少的。三元纳米流体在磁场作用下的独特行为提高了冷却效率和系统稳定性。计算结果表明,麦克斯韦流体参数的增大导致速度场减小,温度和质量浓度增大。这是由于热松弛时间的增加,这需要时间来调整流体。结果表明,随着磁场参数的增大,洛伦兹力的增大会引起温度的升高和流体速度的降低。热升降参数的变化导致了流体温度的升高。纳米颗粒体积分数的增加导致温度和浓度分布的升高。而且,随着Prandtl数的增加,Nusselt数增加,而Sherwood数随着化学反应参数的增加而减少。本研究的主要结果是三元纳米流体的整体热性能得到改善,这符合本研究的目的。
本文章由计算机程序翻译,如有差异,请以英文原文为准。

Effects of variable heat rise/fall on MHD Maxwell ternary nanofluid (Copper-Alumina-Titanium Dioxide/Water) flow over a moving needle.

Effects of variable heat rise/fall on MHD Maxwell ternary nanofluid (Copper-Alumina-Titanium Dioxide/Water) flow over a moving needle.

Effects of variable heat rise/fall on MHD Maxwell ternary nanofluid (Copper-Alumina-Titanium Dioxide/Water) flow over a moving needle.

Effects of variable heat rise/fall on MHD Maxwell ternary nanofluid (Copper-Alumina-Titanium Dioxide/Water) flow over a moving needle.

The current study explores the impact of variable heat rise/fall on the heat and mass transfer through Maxwell Ternary Nanofluid based on Copper-Alumina-Titanium Dioxide/Water. Electrically conducting non-Newtonian Maxwell fluid flowing on a moving thin needle embedded in porous media is considered. Effects of chemical reaction parameters along with the applied magnetic field in the normal direction of the flow of fluid are incorporated. The proposed mechanism in the form of differential equations is solved using the MATLAB bvp4c solver. This study can be utilized in energy systems like nuclear and chemical reactors, where managing high heat fluxes in porous environments is essential. The unique behavior of ternary nanofluids under magnetic fields improves cooling efficiency and system stability. The computed results show that the increase in the Maxwell fluid parameter causes a reduction in the velocity field and an augmentation of temperature and mass concentration. This is due to an increase in thermal relaxation time, which takes time for the adjustment of the fluid. It is concluded that an increase in the Lorentz force due to a rising magnetic field parameter results in a temperature increase and a decrease in the fluid's velocity. The variable heat rise and fall parameter leads to an increase in the fluid's temperature. An increase in the nanoparticle volume fraction results in elevated temperature and concentration distributions. Moreover, the Nusselt number increases with higher Prandtl numbers, while the Sherwood number decreases as the chemical reaction parameter grows. The main outcome of this current study for the case of the ternary nanofluid is that the overall thermal performance of the fluid is improved, which serves the purpose of the proposed study.

求助全文
通过发布文献求助,成功后即可免费获取论文全文。 去求助
来源期刊
Scientific Reports
Scientific Reports Natural Science Disciplines-
CiteScore
7.50
自引率
4.30%
发文量
19567
审稿时长
3.9 months
期刊介绍: We publish original research from all areas of the natural sciences, psychology, medicine and engineering. You can learn more about what we publish by browsing our specific scientific subject areas below or explore Scientific Reports by browsing all articles and collections. Scientific Reports has a 2-year impact factor: 4.380 (2021), and is the 6th most-cited journal in the world, with more than 540,000 citations in 2020 (Clarivate Analytics, 2021). •Engineering Engineering covers all aspects of engineering, technology, and applied science. It plays a crucial role in the development of technologies to address some of the world''s biggest challenges, helping to save lives and improve the way we live. •Physical sciences Physical sciences are those academic disciplines that aim to uncover the underlying laws of nature — often written in the language of mathematics. It is a collective term for areas of study including astronomy, chemistry, materials science and physics. •Earth and environmental sciences Earth and environmental sciences cover all aspects of Earth and planetary science and broadly encompass solid Earth processes, surface and atmospheric dynamics, Earth system history, climate and climate change, marine and freshwater systems, and ecology. It also considers the interactions between humans and these systems. •Biological sciences Biological sciences encompass all the divisions of natural sciences examining various aspects of vital processes. The concept includes anatomy, physiology, cell biology, biochemistry and biophysics, and covers all organisms from microorganisms, animals to plants. •Health sciences The health sciences study health, disease and healthcare. This field of study aims to develop knowledge, interventions and technology for use in healthcare to improve the treatment of patients.
×
引用
GB/T 7714-2015
复制
MLA
复制
APA
复制
导出至
BibTeX EndNote RefMan NoteFirst NoteExpress
×
提示
您的信息不完整,为了账户安全,请先补充。
现在去补充
×
提示
您因"违规操作"
具体请查看互助需知
我知道了
×
提示
确定
请完成安全验证×
copy
已复制链接
快去分享给好友吧!
我知道了
右上角分享
点击右上角分享
0
联系我们:info@booksci.cn Book学术提供免费学术资源搜索服务,方便国内外学者检索中英文文献。致力于提供最便捷和优质的服务体验。 Copyright © 2023 布克学术 All rights reserved.
京ICP备2023020795号-1
ghs 京公网安备 11010802042870号
Book学术文献互助
Book学术文献互助群
群 号:604180095
Book学术官方微信