原生地气候对普通园林橡树非结构性碳水化合物储存的影响。

IF 2.3 2区 环境科学与生态学 Q2 ECOLOGY
Kyra A Prats, Josephine Brigham, Levi Berry, Dylan K Wainwright, Morgan E Furze
{"title":"原生地气候对普通园林橡树非结构性碳水化合物储存的影响。","authors":"Kyra A Prats, Josephine Brigham, Levi Berry, Dylan K Wainwright, Morgan E Furze","doi":"10.1007/s00442-025-05773-6","DOIUrl":null,"url":null,"abstract":"<p><p>Global climate change and related environmental stress threaten the survival of long-lived tree species. To ensure survival in increasingly unfavorable environments, trees need to either acclimate through phenotypic plasticity, adapt via genetic differentiation, or migrate to more favorable climates altogether. Nonstructural carbohydrate (NSC) storage is a critical trait that supports proper metabolic function in plants and has been shown to prolong their survival in the face of stress. However, relatively few studies have explored local adaptation of NSC storage, with none to our knowledge focusing on oaks, an abundant and ecologically important genus primarily across the Northern Hemisphere. Here, we used a common garden of oak species to assess whether NSC storage is locally adapted by exploring whether species' native range climate influences NSC storage in the stem. We found that the proportion of soluble sugars, the proportion of starch, and starch concentration were influenced by native range temperature, such that species from hotter regions had a larger proportion of soluble sugars, smaller proportion of starch, and lower starch concentration than species from colder regions. These correlations suggest that some NSC traits (i.e., proportion of sugars/starch) are genetically controlled in the genus Quercus. Our study has implications for how different oak species may respond to and survive under environmental stress and changing climates.</p>","PeriodicalId":19473,"journal":{"name":"Oecologia","volume":"207 8","pages":"132"},"PeriodicalIF":2.3000,"publicationDate":"2025-07-11","publicationTypes":"Journal Article","fieldsOfStudy":null,"isOpenAccess":false,"openAccessPdf":"https://www.ncbi.nlm.nih.gov/pmc/articles/PMC12254077/pdf/","citationCount":"0","resultStr":"{\"title\":\"Native range climate influences nonstructural carbohydrate storage in oak species growing in a common garden.\",\"authors\":\"Kyra A Prats, Josephine Brigham, Levi Berry, Dylan K Wainwright, Morgan E Furze\",\"doi\":\"10.1007/s00442-025-05773-6\",\"DOIUrl\":null,\"url\":null,\"abstract\":\"<p><p>Global climate change and related environmental stress threaten the survival of long-lived tree species. To ensure survival in increasingly unfavorable environments, trees need to either acclimate through phenotypic plasticity, adapt via genetic differentiation, or migrate to more favorable climates altogether. Nonstructural carbohydrate (NSC) storage is a critical trait that supports proper metabolic function in plants and has been shown to prolong their survival in the face of stress. However, relatively few studies have explored local adaptation of NSC storage, with none to our knowledge focusing on oaks, an abundant and ecologically important genus primarily across the Northern Hemisphere. Here, we used a common garden of oak species to assess whether NSC storage is locally adapted by exploring whether species' native range climate influences NSC storage in the stem. We found that the proportion of soluble sugars, the proportion of starch, and starch concentration were influenced by native range temperature, such that species from hotter regions had a larger proportion of soluble sugars, smaller proportion of starch, and lower starch concentration than species from colder regions. These correlations suggest that some NSC traits (i.e., proportion of sugars/starch) are genetically controlled in the genus Quercus. Our study has implications for how different oak species may respond to and survive under environmental stress and changing climates.</p>\",\"PeriodicalId\":19473,\"journal\":{\"name\":\"Oecologia\",\"volume\":\"207 8\",\"pages\":\"132\"},\"PeriodicalIF\":2.3000,\"publicationDate\":\"2025-07-11\",\"publicationTypes\":\"Journal Article\",\"fieldsOfStudy\":null,\"isOpenAccess\":false,\"openAccessPdf\":\"https://www.ncbi.nlm.nih.gov/pmc/articles/PMC12254077/pdf/\",\"citationCount\":\"0\",\"resultStr\":null,\"platform\":\"Semanticscholar\",\"paperid\":null,\"PeriodicalName\":\"Oecologia\",\"FirstCategoryId\":\"93\",\"ListUrlMain\":\"https://doi.org/10.1007/s00442-025-05773-6\",\"RegionNum\":2,\"RegionCategory\":\"环境科学与生态学\",\"ArticlePicture\":[],\"TitleCN\":null,\"AbstractTextCN\":null,\"PMCID\":null,\"EPubDate\":\"\",\"PubModel\":\"\",\"JCR\":\"Q2\",\"JCRName\":\"ECOLOGY\",\"Score\":null,\"Total\":0}","platform":"Semanticscholar","paperid":null,"PeriodicalName":"Oecologia","FirstCategoryId":"93","ListUrlMain":"https://doi.org/10.1007/s00442-025-05773-6","RegionNum":2,"RegionCategory":"环境科学与生态学","ArticlePicture":[],"TitleCN":null,"AbstractTextCN":null,"PMCID":null,"EPubDate":"","PubModel":"","JCR":"Q2","JCRName":"ECOLOGY","Score":null,"Total":0}
引用次数: 0

摘要

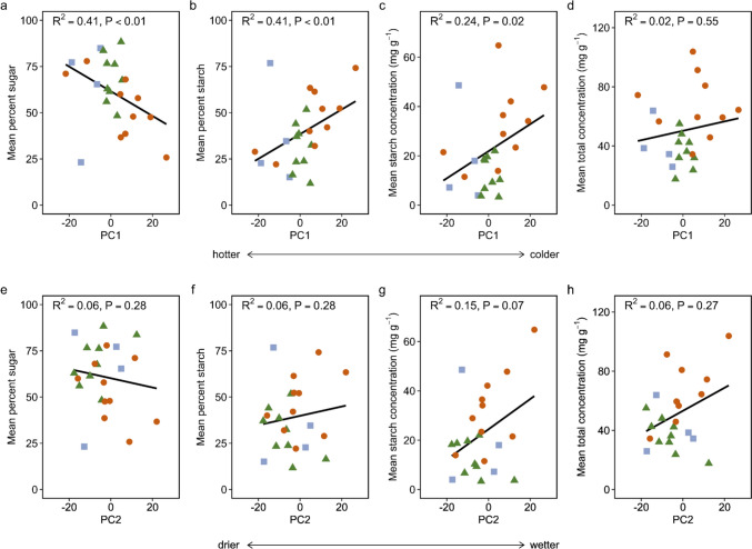
全球气候变化和相关的环境压力威胁着长寿树种的生存。为了确保在日益不利的环境中生存,树木需要通过表型可塑性来适应,通过遗传分化来适应,或者迁移到更有利的气候。非结构性碳水化合物(NSC)储存是支持植物正常代谢功能的关键特性,并已被证明可以延长植物在逆境中的生存时间。然而,相对较少的研究探索了NSC储存的局部适应性,据我们所知,没有一个研究集中在橡树这一主要分布在北半球的丰富且生态重要的属。在这里,我们使用一个常见的橡树物种花园,通过探索物种的本地气候是否影响NSC在茎中的储存,来评估NSC储存是否适合当地。我们发现,可溶性糖的比例、淀粉的比例和淀粉浓度受原生地温度的影响,来自较热地区的物种比来自较冷地区的物种具有更高的可溶性糖比例、更小的淀粉比例和更低的淀粉浓度。这些相关性表明,某些NSC性状(即糖/淀粉比例)在栎属中受遗传控制。我们的研究对不同的橡树物种如何在环境压力和气候变化下做出反应和生存具有重要意义。
本文章由计算机程序翻译,如有差异,请以英文原文为准。

Native range climate influences nonstructural carbohydrate storage in oak species growing in a common garden.

Native range climate influences nonstructural carbohydrate storage in oak species growing in a common garden.

Native range climate influences nonstructural carbohydrate storage in oak species growing in a common garden.

Global climate change and related environmental stress threaten the survival of long-lived tree species. To ensure survival in increasingly unfavorable environments, trees need to either acclimate through phenotypic plasticity, adapt via genetic differentiation, or migrate to more favorable climates altogether. Nonstructural carbohydrate (NSC) storage is a critical trait that supports proper metabolic function in plants and has been shown to prolong their survival in the face of stress. However, relatively few studies have explored local adaptation of NSC storage, with none to our knowledge focusing on oaks, an abundant and ecologically important genus primarily across the Northern Hemisphere. Here, we used a common garden of oak species to assess whether NSC storage is locally adapted by exploring whether species' native range climate influences NSC storage in the stem. We found that the proportion of soluble sugars, the proportion of starch, and starch concentration were influenced by native range temperature, such that species from hotter regions had a larger proportion of soluble sugars, smaller proportion of starch, and lower starch concentration than species from colder regions. These correlations suggest that some NSC traits (i.e., proportion of sugars/starch) are genetically controlled in the genus Quercus. Our study has implications for how different oak species may respond to and survive under environmental stress and changing climates.

求助全文
通过发布文献求助,成功后即可免费获取论文全文。 去求助
来源期刊
Oecologia
Oecologia 环境科学-生态学
CiteScore
5.10
自引率
0.00%
发文量
192
审稿时长
5.3 months
期刊介绍: Oecologia publishes innovative ecological research of international interest. We seek reviews, advances in methodology, and original contributions, emphasizing the following areas: Population ecology, Plant-microbe-animal interactions, Ecosystem ecology, Community ecology, Global change ecology, Conservation ecology, Behavioral ecology and Physiological Ecology. In general, studies that are purely descriptive, mathematical, documentary, and/or natural history will not be considered.
×
引用
GB/T 7714-2015
复制
MLA
复制
APA
复制
导出至
BibTeX EndNote RefMan NoteFirst NoteExpress
×
提示
您的信息不完整,为了账户安全,请先补充。
现在去补充
×
提示
您因"违规操作"
具体请查看互助需知
我知道了
×
提示
确定
请完成安全验证×
copy
已复制链接
快去分享给好友吧!
我知道了
右上角分享
点击右上角分享
0
联系我们:info@booksci.cn Book学术提供免费学术资源搜索服务,方便国内外学者检索中英文文献。致力于提供最便捷和优质的服务体验。 Copyright © 2023 布克学术 All rights reserved.
京ICP备2023020795号-1
ghs 京公网安备 11010802042870号
Book学术文献互助
Book学术文献互助群
群 号:604180095
Book学术官方微信