基于免疫检查点抑制剂治疗未知原发癌症的临床结果和基因组生物标志物:一项多中心、真实世界的研究

IF 2.8 3区 医学 Q3 ONCOLOGY
Yunjie Huang, Riqing Huang, Meiting Chen, Zhousan Zheng, Haifeng Li, Rishang Chen, Tinghua Gao, Ditian Shu, Anqi Hu, Qiufan Zheng, Xin An, Yanxia Shi, Cong Xue
{"title":"基于免疫检查点抑制剂治疗未知原发癌症的临床结果和基因组生物标志物:一项多中心、真实世界的研究","authors":"Yunjie Huang, Riqing Huang, Meiting Chen, Zhousan Zheng, Haifeng Li, Rishang Chen, Tinghua Gao, Ditian Shu, Anqi Hu, Qiufan Zheng, Xin An, Yanxia Shi, Cong Xue","doi":"10.1007/s00432-025-06261-3","DOIUrl":null,"url":null,"abstract":"<p><strong>Background: </strong>Given the limited treatment options recommended for cancer of unknown primary (CUP), especially the role of immune checkpoint inhibitors (ICIs), our study aimed to evaluate the efficacy of ICIs and identify associated genomic biomarkers in these patients.</p><p><strong>Methods: </strong>This retrospective, multicenter, real-world analysis included individuals with oncologist-confirmed CUP cases treated with ICIs across four hospitals in China. Clinical outcomes, safety and biomarkers were analyzed.</p><p><strong>Results: </strong>Between January 2016 and November 2023, 124 patients were enrolled. Of these, 117 patients underwent combination therapy, predominantly ICIs with taxane-platinum based chemotherapy (54.84%), while 7 received monotherapy. After a median follow-up of 18.6 months, the median progression free survival (PFS) and overall survival (OS) were 23.20 and 38.86 months, respectively. According to ESMO guideline, patients were stratified into favorable (n = 41) and unfavorable subset (n = 83). The favorable subset demonstrated significantly longer PFS and OS than the unfavorable subset (median PFS NR vs. 9.7 months, P < 0.001; median OS NR vs. 23.73 months, P < 0.001). There are 31 patients in our cohort whose PD-L1 detection results are available, while 25 patients was eligible for TMB assessment. Better clinical efficacy of ICIs was apparent for tumors with a higher PD-L1 expression (CPS ≥ 20) and a greater tumor mutation burden (> 12 mutations/Mb). Multivariate analyses revealed that higher ECOG performance status, the presence of visceral metastasis, and KRAS mutation were independently associated with inferior PFS and OS. Immune-related adverse events occurred in 49 (39.52%) patients, with one developing grade 3 pneumonia.</p><p><strong>Conclusions: </strong>The application of ICIs showed encouraging efficacy with an acceptable safety profile, suggesting its potential as an additional therapeutic option for CUP patients. Identifying predictive markers for ICIs response remains essential to enhance therapeutic strategies in CUP management.</p>","PeriodicalId":15118,"journal":{"name":"Journal of Cancer Research and Clinical Oncology","volume":"151 7","pages":"213"},"PeriodicalIF":2.8000,"publicationDate":"2025-07-12","publicationTypes":"Journal Article","fieldsOfStudy":null,"isOpenAccess":false,"openAccessPdf":"https://www.ncbi.nlm.nih.gov/pmc/articles/PMC12255553/pdf/","citationCount":"0","resultStr":"{\"title\":\"Clinical outcome and genomic biomarkers of immune checkpoint inhibitor-based therapies for cancer of unknown primary: a multicenter, real-world study.\",\"authors\":\"Yunjie Huang, Riqing Huang, Meiting Chen, Zhousan Zheng, Haifeng Li, Rishang Chen, Tinghua Gao, Ditian Shu, Anqi Hu, Qiufan Zheng, Xin An, Yanxia Shi, Cong Xue\",\"doi\":\"10.1007/s00432-025-06261-3\",\"DOIUrl\":null,\"url\":null,\"abstract\":\"<p><strong>Background: </strong>Given the limited treatment options recommended for cancer of unknown primary (CUP), especially the role of immune checkpoint inhibitors (ICIs), our study aimed to evaluate the efficacy of ICIs and identify associated genomic biomarkers in these patients.</p><p><strong>Methods: </strong>This retrospective, multicenter, real-world analysis included individuals with oncologist-confirmed CUP cases treated with ICIs across four hospitals in China. Clinical outcomes, safety and biomarkers were analyzed.</p><p><strong>Results: </strong>Between January 2016 and November 2023, 124 patients were enrolled. Of these, 117 patients underwent combination therapy, predominantly ICIs with taxane-platinum based chemotherapy (54.84%), while 7 received monotherapy. After a median follow-up of 18.6 months, the median progression free survival (PFS) and overall survival (OS) were 23.20 and 38.86 months, respectively. According to ESMO guideline, patients were stratified into favorable (n = 41) and unfavorable subset (n = 83). The favorable subset demonstrated significantly longer PFS and OS than the unfavorable subset (median PFS NR vs. 9.7 months, P < 0.001; median OS NR vs. 23.73 months, P < 0.001). There are 31 patients in our cohort whose PD-L1 detection results are available, while 25 patients was eligible for TMB assessment. Better clinical efficacy of ICIs was apparent for tumors with a higher PD-L1 expression (CPS ≥ 20) and a greater tumor mutation burden (> 12 mutations/Mb). Multivariate analyses revealed that higher ECOG performance status, the presence of visceral metastasis, and KRAS mutation were independently associated with inferior PFS and OS. Immune-related adverse events occurred in 49 (39.52%) patients, with one developing grade 3 pneumonia.</p><p><strong>Conclusions: </strong>The application of ICIs showed encouraging efficacy with an acceptable safety profile, suggesting its potential as an additional therapeutic option for CUP patients. Identifying predictive markers for ICIs response remains essential to enhance therapeutic strategies in CUP management.</p>\",\"PeriodicalId\":15118,\"journal\":{\"name\":\"Journal of Cancer Research and Clinical Oncology\",\"volume\":\"151 7\",\"pages\":\"213\"},\"PeriodicalIF\":2.8000,\"publicationDate\":\"2025-07-12\",\"publicationTypes\":\"Journal Article\",\"fieldsOfStudy\":null,\"isOpenAccess\":false,\"openAccessPdf\":\"https://www.ncbi.nlm.nih.gov/pmc/articles/PMC12255553/pdf/\",\"citationCount\":\"0\",\"resultStr\":null,\"platform\":\"Semanticscholar\",\"paperid\":null,\"PeriodicalName\":\"Journal of Cancer Research and Clinical Oncology\",\"FirstCategoryId\":\"3\",\"ListUrlMain\":\"https://doi.org/10.1007/s00432-025-06261-3\",\"RegionNum\":3,\"RegionCategory\":\"医学\",\"ArticlePicture\":[],\"TitleCN\":null,\"AbstractTextCN\":null,\"PMCID\":null,\"EPubDate\":\"\",\"PubModel\":\"\",\"JCR\":\"Q3\",\"JCRName\":\"ONCOLOGY\",\"Score\":null,\"Total\":0}","platform":"Semanticscholar","paperid":null,"PeriodicalName":"Journal of Cancer Research and Clinical Oncology","FirstCategoryId":"3","ListUrlMain":"https://doi.org/10.1007/s00432-025-06261-3","RegionNum":3,"RegionCategory":"医学","ArticlePicture":[],"TitleCN":null,"AbstractTextCN":null,"PMCID":null,"EPubDate":"","PubModel":"","JCR":"Q3","JCRName":"ONCOLOGY","Score":null,"Total":0}
引用次数: 0

摘要

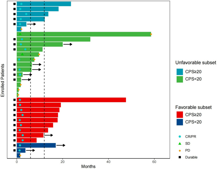
背景:考虑到未知原发癌症(CUP)推荐的治疗方案有限,特别是免疫检查点抑制剂(ICIs)的作用,我们的研究旨在评估ICIs的疗效,并确定这些患者的相关基因组生物标志物。方法:这项回顾性的、多中心的、真实世界的分析包括了中国四家医院经肿瘤学家证实接受ICIs治疗的CUP患者。分析了临床结果、安全性和生物标志物。结果:2016年1月至2023年11月,124例患者入组。其中,117例患者接受了联合治疗,主要是ICIs与紫杉烷-铂基化疗(54.84%),而7例患者接受了单药治疗。中位随访18.6个月后,中位无进展生存期(PFS)和总生存期(OS)分别为23.20个月和38.86个月。根据ESMO指南,将患者分为有利亚组(n = 41)和不利亚组(n = 83)。有利亚组的PFS和OS明显长于不利亚组(中位PFS NR vs 9.7个月,p12突变/Mb)。多因素分析显示,较高的ECOG表现状态、内脏转移的存在和KRAS突变与较差的PFS和OS独立相关。49例(39.52%)患者发生免疫相关不良事件,1例发生3级肺炎。结论:ICIs的应用显示出令人鼓舞的疗效和可接受的安全性,表明其作为CUP患者的额外治疗选择的潜力。确定ICIs反应的预测标记对于加强CUP管理的治疗策略仍然至关重要。
本文章由计算机程序翻译,如有差异,请以英文原文为准。

Clinical outcome and genomic biomarkers of immune checkpoint inhibitor-based therapies for cancer of unknown primary: a multicenter, real-world study.

Clinical outcome and genomic biomarkers of immune checkpoint inhibitor-based therapies for cancer of unknown primary: a multicenter, real-world study.

Clinical outcome and genomic biomarkers of immune checkpoint inhibitor-based therapies for cancer of unknown primary: a multicenter, real-world study.

Clinical outcome and genomic biomarkers of immune checkpoint inhibitor-based therapies for cancer of unknown primary: a multicenter, real-world study.

Background: Given the limited treatment options recommended for cancer of unknown primary (CUP), especially the role of immune checkpoint inhibitors (ICIs), our study aimed to evaluate the efficacy of ICIs and identify associated genomic biomarkers in these patients.

Methods: This retrospective, multicenter, real-world analysis included individuals with oncologist-confirmed CUP cases treated with ICIs across four hospitals in China. Clinical outcomes, safety and biomarkers were analyzed.

Results: Between January 2016 and November 2023, 124 patients were enrolled. Of these, 117 patients underwent combination therapy, predominantly ICIs with taxane-platinum based chemotherapy (54.84%), while 7 received monotherapy. After a median follow-up of 18.6 months, the median progression free survival (PFS) and overall survival (OS) were 23.20 and 38.86 months, respectively. According to ESMO guideline, patients were stratified into favorable (n = 41) and unfavorable subset (n = 83). The favorable subset demonstrated significantly longer PFS and OS than the unfavorable subset (median PFS NR vs. 9.7 months, P < 0.001; median OS NR vs. 23.73 months, P < 0.001). There are 31 patients in our cohort whose PD-L1 detection results are available, while 25 patients was eligible for TMB assessment. Better clinical efficacy of ICIs was apparent for tumors with a higher PD-L1 expression (CPS ≥ 20) and a greater tumor mutation burden (> 12 mutations/Mb). Multivariate analyses revealed that higher ECOG performance status, the presence of visceral metastasis, and KRAS mutation were independently associated with inferior PFS and OS. Immune-related adverse events occurred in 49 (39.52%) patients, with one developing grade 3 pneumonia.

Conclusions: The application of ICIs showed encouraging efficacy with an acceptable safety profile, suggesting its potential as an additional therapeutic option for CUP patients. Identifying predictive markers for ICIs response remains essential to enhance therapeutic strategies in CUP management.

求助全文
通过发布文献求助,成功后即可免费获取论文全文。 去求助
来源期刊
CiteScore
4.00
自引率
2.80%
发文量
577
审稿时长
2 months
期刊介绍: The "Journal of Cancer Research and Clinical Oncology" publishes significant and up-to-date articles within the fields of experimental and clinical oncology. The journal, which is chiefly devoted to Original papers, also includes Reviews as well as Editorials and Guest editorials on current, controversial topics. The section Letters to the editors provides a forum for a rapid exchange of comments and information concerning previously published papers and topics of current interest. Meeting reports provide current information on the latest results presented at important congresses. The following fields are covered: carcinogenesis - etiology, mechanisms; molecular biology; recent developments in tumor therapy; general diagnosis; laboratory diagnosis; diagnostic and experimental pathology; oncologic surgery; and epidemiology.
×
引用
GB/T 7714-2015
复制
MLA
复制
APA
复制
导出至
BibTeX EndNote RefMan NoteFirst NoteExpress
×
提示
您的信息不完整,为了账户安全,请先补充。
现在去补充
×
提示
您因"违规操作"
具体请查看互助需知
我知道了
×
提示
确定
请完成安全验证×
copy
已复制链接
快去分享给好友吧!
我知道了
右上角分享
点击右上角分享
0
联系我们:info@booksci.cn Book学术提供免费学术资源搜索服务,方便国内外学者检索中英文文献。致力于提供最便捷和优质的服务体验。 Copyright © 2023 布克学术 All rights reserved.
京ICP备2023020795号-1
ghs 京公网安备 11010802042870号
Book学术文献互助
Book学术文献互助群
群 号:604180095
Book学术官方微信