脑出血恢复期患者并发肺部感染临床预测模型的建立与验证。

IF 2.9 4区 医学 Q3 ENGINEERING, BIOMEDICAL
Jixiang Xu, Xiaoxiao Han, Yinliang Qi, Xiaomei Zhou
{"title":"脑出血恢复期患者并发肺部感染临床预测模型的建立与验证。","authors":"Jixiang Xu, Xiaoxiao Han, Yinliang Qi, Xiaomei Zhou","doi":"10.1186/s12938-025-01425-1","DOIUrl":null,"url":null,"abstract":"<p><strong>Objectives: </strong>This study aimed to develop and validate a clinical prediction model for assessing the risk of concurrent pulmonary infection (PI) in patients recovering from intracerebral hemorrhage (ICH).</p><p><strong>Methods: </strong>In this retrospective study, we analyzed clinical data from 761 patients in the subacute recovery phase of ICH, of whom 504 developed PI and 257 did not. Univariate logistic regression was initially used to identify potential risk factors, followed by variable selection through the Least Absolute Shrinkage and Selection Operator (LASSO) regression. Predictors selected by LASSO were entered into a multivariate logistic regression to establish a final model. A nomogram was constructed based on the significant variables. The model's discrimination was evaluated using the area under the receiver operating characteristic curve (AUC), and its calibration was assessed using calibration plots and the Hosmer-Lemeshow goodness-of-fit test. Clinical utility was evaluated via decision curve analysis (DCA). Positive predictive value (PPV) and negative predictive value (NPV) were also calculated at the optimal threshold.</p><p><strong>Results: </strong>Eight independent predictors were identified: age, prophylactic antibiotic use, disturbance of consciousness, tracheotomy, dysphagia, duration of bed rest, nasal feeding, and procalcitonin level. The model demonstrated excellent discriminative ability with an AUC of 0.901(95%CI 0.878-0.924) and good calibration (Hosmer-Lemeshow test, P = 0.982). At the optimal cut-off point, the PPV was 92.6% and the NPV was 68.0%. DCA indicated favorable clinical benefit across a wide range of threshold probabilities.</p><p><strong>Conclusion: </strong>We developed a nomogram-based prediction model that accurately identifies the risk of pulmonary infection in patients recovering from ICH. This model offers valuable support for early clinical decision-making and targeted preventive strategies.</p>","PeriodicalId":8927,"journal":{"name":"BioMedical Engineering OnLine","volume":"24 1","pages":"88"},"PeriodicalIF":2.9000,"publicationDate":"2025-07-12","publicationTypes":"Journal Article","fieldsOfStudy":null,"isOpenAccess":false,"openAccessPdf":"https://www.ncbi.nlm.nih.gov/pmc/articles/PMC12255977/pdf/","citationCount":"0","resultStr":"{\"title\":\"Development and validation of a clinical prediction model for concurrent pulmonary infection in convalescent patients with intracerebral hemorrhage.\",\"authors\":\"Jixiang Xu, Xiaoxiao Han, Yinliang Qi, Xiaomei Zhou\",\"doi\":\"10.1186/s12938-025-01425-1\",\"DOIUrl\":null,\"url\":null,\"abstract\":\"<p><strong>Objectives: </strong>This study aimed to develop and validate a clinical prediction model for assessing the risk of concurrent pulmonary infection (PI) in patients recovering from intracerebral hemorrhage (ICH).</p><p><strong>Methods: </strong>In this retrospective study, we analyzed clinical data from 761 patients in the subacute recovery phase of ICH, of whom 504 developed PI and 257 did not. Univariate logistic regression was initially used to identify potential risk factors, followed by variable selection through the Least Absolute Shrinkage and Selection Operator (LASSO) regression. Predictors selected by LASSO were entered into a multivariate logistic regression to establish a final model. A nomogram was constructed based on the significant variables. The model's discrimination was evaluated using the area under the receiver operating characteristic curve (AUC), and its calibration was assessed using calibration plots and the Hosmer-Lemeshow goodness-of-fit test. Clinical utility was evaluated via decision curve analysis (DCA). Positive predictive value (PPV) and negative predictive value (NPV) were also calculated at the optimal threshold.</p><p><strong>Results: </strong>Eight independent predictors were identified: age, prophylactic antibiotic use, disturbance of consciousness, tracheotomy, dysphagia, duration of bed rest, nasal feeding, and procalcitonin level. The model demonstrated excellent discriminative ability with an AUC of 0.901(95%CI 0.878-0.924) and good calibration (Hosmer-Lemeshow test, P = 0.982). At the optimal cut-off point, the PPV was 92.6% and the NPV was 68.0%. DCA indicated favorable clinical benefit across a wide range of threshold probabilities.</p><p><strong>Conclusion: </strong>We developed a nomogram-based prediction model that accurately identifies the risk of pulmonary infection in patients recovering from ICH. This model offers valuable support for early clinical decision-making and targeted preventive strategies.</p>\",\"PeriodicalId\":8927,\"journal\":{\"name\":\"BioMedical Engineering OnLine\",\"volume\":\"24 1\",\"pages\":\"88\"},\"PeriodicalIF\":2.9000,\"publicationDate\":\"2025-07-12\",\"publicationTypes\":\"Journal Article\",\"fieldsOfStudy\":null,\"isOpenAccess\":false,\"openAccessPdf\":\"https://www.ncbi.nlm.nih.gov/pmc/articles/PMC12255977/pdf/\",\"citationCount\":\"0\",\"resultStr\":null,\"platform\":\"Semanticscholar\",\"paperid\":null,\"PeriodicalName\":\"BioMedical Engineering OnLine\",\"FirstCategoryId\":\"5\",\"ListUrlMain\":\"https://doi.org/10.1186/s12938-025-01425-1\",\"RegionNum\":4,\"RegionCategory\":\"医学\",\"ArticlePicture\":[],\"TitleCN\":null,\"AbstractTextCN\":null,\"PMCID\":null,\"EPubDate\":\"\",\"PubModel\":\"\",\"JCR\":\"Q3\",\"JCRName\":\"ENGINEERING, BIOMEDICAL\",\"Score\":null,\"Total\":0}","platform":"Semanticscholar","paperid":null,"PeriodicalName":"BioMedical Engineering OnLine","FirstCategoryId":"5","ListUrlMain":"https://doi.org/10.1186/s12938-025-01425-1","RegionNum":4,"RegionCategory":"医学","ArticlePicture":[],"TitleCN":null,"AbstractTextCN":null,"PMCID":null,"EPubDate":"","PubModel":"","JCR":"Q3","JCRName":"ENGINEERING, BIOMEDICAL","Score":null,"Total":0}
引用次数: 0

摘要

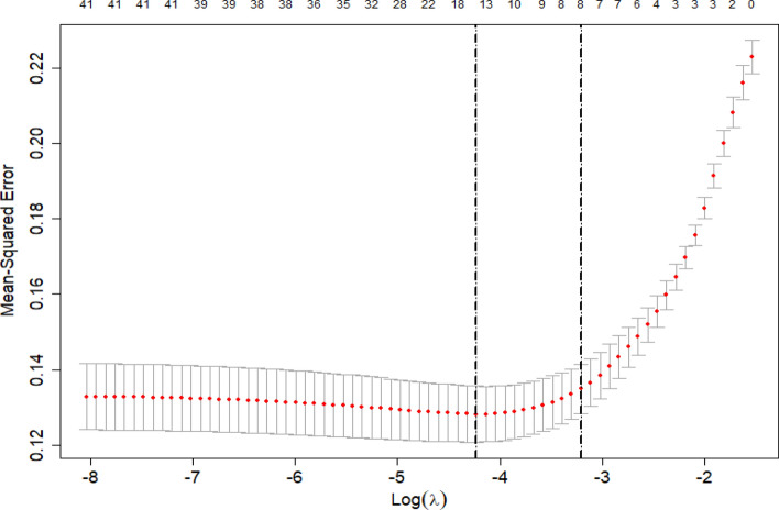
目的:本研究旨在建立并验证一种临床预测模型,用于评估脑出血(ICH)恢复期患者并发肺部感染(PI)的风险。方法:回顾性分析761例脑出血亚急性恢复期患者的临床资料,其中504例发生PI, 257例未发生PI。最初使用单变量逻辑回归来识别潜在的风险因素,然后通过最小绝对收缩和选择算子(LASSO)回归进行变量选择。将LASSO选择的预测因子输入多元逻辑回归,建立最终模型。基于显著性变量构造了一个nomogram。采用受试者工作特征曲线下面积(AUC)评价模型的判别性,采用标定图和Hosmer-Lemeshow拟合优度检验评价模型的标定性。通过决策曲线分析(DCA)评估临床效用。在最优阈值下计算阳性预测值(PPV)和阴性预测值(NPV)。结果:确定了8个独立的预测因素:年龄、预防性抗生素使用、意识障碍、气管切开术、吞咽困难、卧床休息时间、鼻腔喂养和降钙素原水平。该模型具有良好的判别能力,AUC为0.901(95%CI 0.878 ~ 0.924),校正效果良好(Hosmer-Lemeshow检验,P = 0.982)。在最佳分界点,PPV为92.6%,NPV为68.0%。DCA在广泛的阈值概率范围内显示了良好的临床益处。结论:我们建立了一个基于图的预测模型,可以准确地识别脑出血患者康复后肺部感染的风险。该模型为早期临床决策和有针对性的预防策略提供了宝贵的支持。
本文章由计算机程序翻译,如有差异,请以英文原文为准。

Development and validation of a clinical prediction model for concurrent pulmonary infection in convalescent patients with intracerebral hemorrhage.

Development and validation of a clinical prediction model for concurrent pulmonary infection in convalescent patients with intracerebral hemorrhage.

Development and validation of a clinical prediction model for concurrent pulmonary infection in convalescent patients with intracerebral hemorrhage.

Development and validation of a clinical prediction model for concurrent pulmonary infection in convalescent patients with intracerebral hemorrhage.

Objectives: This study aimed to develop and validate a clinical prediction model for assessing the risk of concurrent pulmonary infection (PI) in patients recovering from intracerebral hemorrhage (ICH).

Methods: In this retrospective study, we analyzed clinical data from 761 patients in the subacute recovery phase of ICH, of whom 504 developed PI and 257 did not. Univariate logistic regression was initially used to identify potential risk factors, followed by variable selection through the Least Absolute Shrinkage and Selection Operator (LASSO) regression. Predictors selected by LASSO were entered into a multivariate logistic regression to establish a final model. A nomogram was constructed based on the significant variables. The model's discrimination was evaluated using the area under the receiver operating characteristic curve (AUC), and its calibration was assessed using calibration plots and the Hosmer-Lemeshow goodness-of-fit test. Clinical utility was evaluated via decision curve analysis (DCA). Positive predictive value (PPV) and negative predictive value (NPV) were also calculated at the optimal threshold.

Results: Eight independent predictors were identified: age, prophylactic antibiotic use, disturbance of consciousness, tracheotomy, dysphagia, duration of bed rest, nasal feeding, and procalcitonin level. The model demonstrated excellent discriminative ability with an AUC of 0.901(95%CI 0.878-0.924) and good calibration (Hosmer-Lemeshow test, P = 0.982). At the optimal cut-off point, the PPV was 92.6% and the NPV was 68.0%. DCA indicated favorable clinical benefit across a wide range of threshold probabilities.

Conclusion: We developed a nomogram-based prediction model that accurately identifies the risk of pulmonary infection in patients recovering from ICH. This model offers valuable support for early clinical decision-making and targeted preventive strategies.

求助全文
通过发布文献求助,成功后即可免费获取论文全文。 去求助
来源期刊
BioMedical Engineering OnLine
BioMedical Engineering OnLine 工程技术-工程:生物医学
CiteScore
6.70
自引率
2.60%
发文量
79
审稿时长
1 months
期刊介绍: BioMedical Engineering OnLine is an open access, peer-reviewed journal that is dedicated to publishing research in all areas of biomedical engineering. BioMedical Engineering OnLine is aimed at readers and authors throughout the world, with an interest in using tools of the physical and data sciences and techniques in engineering to understand and solve problems in the biological and medical sciences. Topical areas include, but are not limited to: Bioinformatics- Bioinstrumentation- Biomechanics- Biomedical Devices & Instrumentation- Biomedical Signal Processing- Healthcare Information Systems- Human Dynamics- Neural Engineering- Rehabilitation Engineering- Biomaterials- Biomedical Imaging & Image Processing- BioMEMS and On-Chip Devices- Bio-Micro/Nano Technologies- Biomolecular Engineering- Biosensors- Cardiovascular Systems Engineering- Cellular Engineering- Clinical Engineering- Computational Biology- Drug Delivery Technologies- Modeling Methodologies- Nanomaterials and Nanotechnology in Biomedicine- Respiratory Systems Engineering- Robotics in Medicine- Systems and Synthetic Biology- Systems Biology- Telemedicine/Smartphone Applications in Medicine- Therapeutic Systems, Devices and Technologies- Tissue Engineering
×
引用
GB/T 7714-2015
复制
MLA
复制
APA
复制
导出至
BibTeX EndNote RefMan NoteFirst NoteExpress
×
提示
您的信息不完整,为了账户安全,请先补充。
现在去补充
×
提示
您因"违规操作"
具体请查看互助需知
我知道了
×
提示
确定
请完成安全验证×
copy
已复制链接
快去分享给好友吧!
我知道了
右上角分享
点击右上角分享
0
联系我们:info@booksci.cn Book学术提供免费学术资源搜索服务,方便国内外学者检索中英文文献。致力于提供最便捷和优质的服务体验。 Copyright © 2023 布克学术 All rights reserved.
京ICP备2023020795号-1
ghs 京公网安备 11010802042870号
Book学术文献互助
Book学术文献互助群
群 号:604180095
Book学术官方微信