血清γ-谷氨酰转移酶作为肺癌的新危险指标:来自400万韩国人的见解

IF 5.8 2区 医学 Q1 Medicine
Chiwook Chung, Kyu Na Lee, Dong Wook Shin, Sei Won Lee, Kyungdo Han
{"title":"血清γ-谷氨酰转移酶作为肺癌的新危险指标:来自400万韩国人的见解","authors":"Chiwook Chung, Kyu Na Lee, Dong Wook Shin, Sei Won Lee, Kyungdo Han","doi":"10.1186/s12931-025-03317-3","DOIUrl":null,"url":null,"abstract":"<p><strong>Background: </strong>γ-glutamyl transferase (GGT) is associated with carcinogenesis, cancer progression, and metastasis. We investigated associations between serum GGT levels and lung cancer in the Korean general population.</p><p><strong>Methods: </strong>Individuals participating in the national health examination in 2012 were screened in the Korean National Health Information Database. Overall, 2,414,755 males and 2,032,241 females aged ≥ 20 years were followed up until December 2022. Of these individuals, 25,728 males and 11,706 females were diagnosed with lung cancer based on health-insurance claims. Serum GGT levels were categorized into quartiles Q1 (low)-Q4 (high) or deciles D1 (low)-D10 (high). Multivariate Cox proportional hazard models were used to estimate the adjusted hazard ratio (aHR) of risk factors for lung cancer.</p><p><strong>Results: </strong>In quartile categories, the highest quartile of serum GGT levels (Q4, males: ≥54 IU/L; females: ≥24 IU/L) had the highest incidence (males: 1.24/1,000 person-years; females: 0.79/1,000 person-years) and risk (males: aHR 1.37, 95% confidence interval [CI] 1.32-1.42; females: aHR 1.13, 95% CI 1.06-1.19) of lung cancer. In the decile categories, the incidence and risk of lung cancer increased with increasing serum GGT levels, resulting in the highest risk of lung cancer in the D10 category (males: ≥93 IU/L, aHR 1.57, 95% CI 1.48-1.67; females: ≥37 IU/L, aHR 1.20, 95% CI 1.10-1.31). Stratified analyses identified age (middle-aged/older adults), smoking status (never/former smokers), or alcohol consumption (non/mild alcohol drinkers [< 10 g/day]) to be prominently associated with higher lung cancer risks.</p><p><strong>Conclusions: </strong>Increased serum levels of GGT correlated with higher risk of lung cancer, even after adjusting for smoking status, alcohol consumption, and chronic liver disease. These effects were more prominent in never/former smokers and in non/mild alcohol drinkers.</p><p><strong>Clinical trial number: </strong>not applicable.</p>","PeriodicalId":49131,"journal":{"name":"Respiratory Research","volume":"26 1","pages":"242"},"PeriodicalIF":5.8000,"publicationDate":"2025-07-10","publicationTypes":"Journal Article","fieldsOfStudy":null,"isOpenAccess":false,"openAccessPdf":"https://www.ncbi.nlm.nih.gov/pmc/articles/PMC12243364/pdf/","citationCount":"0","resultStr":"{\"title\":\"Serum γ-glutamyl transferase as a novel risk indicator for lung cancer: insights from four million Koreans.\",\"authors\":\"Chiwook Chung, Kyu Na Lee, Dong Wook Shin, Sei Won Lee, Kyungdo Han\",\"doi\":\"10.1186/s12931-025-03317-3\",\"DOIUrl\":null,\"url\":null,\"abstract\":\"<p><strong>Background: </strong>γ-glutamyl transferase (GGT) is associated with carcinogenesis, cancer progression, and metastasis. We investigated associations between serum GGT levels and lung cancer in the Korean general population.</p><p><strong>Methods: </strong>Individuals participating in the national health examination in 2012 were screened in the Korean National Health Information Database. Overall, 2,414,755 males and 2,032,241 females aged ≥ 20 years were followed up until December 2022. Of these individuals, 25,728 males and 11,706 females were diagnosed with lung cancer based on health-insurance claims. Serum GGT levels were categorized into quartiles Q1 (low)-Q4 (high) or deciles D1 (low)-D10 (high). Multivariate Cox proportional hazard models were used to estimate the adjusted hazard ratio (aHR) of risk factors for lung cancer.</p><p><strong>Results: </strong>In quartile categories, the highest quartile of serum GGT levels (Q4, males: ≥54 IU/L; females: ≥24 IU/L) had the highest incidence (males: 1.24/1,000 person-years; females: 0.79/1,000 person-years) and risk (males: aHR 1.37, 95% confidence interval [CI] 1.32-1.42; females: aHR 1.13, 95% CI 1.06-1.19) of lung cancer. In the decile categories, the incidence and risk of lung cancer increased with increasing serum GGT levels, resulting in the highest risk of lung cancer in the D10 category (males: ≥93 IU/L, aHR 1.57, 95% CI 1.48-1.67; females: ≥37 IU/L, aHR 1.20, 95% CI 1.10-1.31). Stratified analyses identified age (middle-aged/older adults), smoking status (never/former smokers), or alcohol consumption (non/mild alcohol drinkers [< 10 g/day]) to be prominently associated with higher lung cancer risks.</p><p><strong>Conclusions: </strong>Increased serum levels of GGT correlated with higher risk of lung cancer, even after adjusting for smoking status, alcohol consumption, and chronic liver disease. These effects were more prominent in never/former smokers and in non/mild alcohol drinkers.</p><p><strong>Clinical trial number: </strong>not applicable.</p>\",\"PeriodicalId\":49131,\"journal\":{\"name\":\"Respiratory Research\",\"volume\":\"26 1\",\"pages\":\"242\"},\"PeriodicalIF\":5.8000,\"publicationDate\":\"2025-07-10\",\"publicationTypes\":\"Journal Article\",\"fieldsOfStudy\":null,\"isOpenAccess\":false,\"openAccessPdf\":\"https://www.ncbi.nlm.nih.gov/pmc/articles/PMC12243364/pdf/\",\"citationCount\":\"0\",\"resultStr\":null,\"platform\":\"Semanticscholar\",\"paperid\":null,\"PeriodicalName\":\"Respiratory Research\",\"FirstCategoryId\":\"3\",\"ListUrlMain\":\"https://doi.org/10.1186/s12931-025-03317-3\",\"RegionNum\":2,\"RegionCategory\":\"医学\",\"ArticlePicture\":[],\"TitleCN\":null,\"AbstractTextCN\":null,\"PMCID\":null,\"EPubDate\":\"\",\"PubModel\":\"\",\"JCR\":\"Q1\",\"JCRName\":\"Medicine\",\"Score\":null,\"Total\":0}","platform":"Semanticscholar","paperid":null,"PeriodicalName":"Respiratory Research","FirstCategoryId":"3","ListUrlMain":"https://doi.org/10.1186/s12931-025-03317-3","RegionNum":2,"RegionCategory":"医学","ArticlePicture":[],"TitleCN":null,"AbstractTextCN":null,"PMCID":null,"EPubDate":"","PubModel":"","JCR":"Q1","JCRName":"Medicine","Score":null,"Total":0}
引用次数: 0

摘要

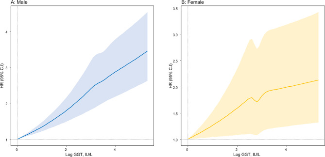
背景:γ-谷氨酰转移酶(GGT)与肿瘤发生、进展和转移有关。我们调查了韩国普通人群中血清GGT水平与肺癌之间的关系。方法:在韩国国民健康信息数据库中筛选2012年参加国民健康体检的个体。总体而言,年龄≥20岁的2,414,755名男性和2,032,241名女性随访至2022年12月。在这些人中,25,728名男性和11,706名女性根据健康保险索赔被诊断患有肺癌。血清GGT水平分为四分位数Q1(低)-Q4(高)或十分位数D1(低)-D10(高)。采用多因素Cox比例风险模型估计肺癌危险因素的校正风险比(aHR)。结果:在四分位数分类中,血清GGT水平最高的四分位数(Q4,男性:≥54 IU/L;女性:≥24 IU/L)的发病率最高(男性:1.24/ 1000人年;女性:0.79/ 1000人年)和风险(男性:aHR 1.37, 95%可信区间[CI] 1.32-1.42;女性:aHR 1.13, 95% CI 1.06-1.19)。在十分位数类别中,肺癌的发病率和风险随着血清GGT水平的升高而增加,导致D10类别的肺癌风险最高(男性:≥93 IU/L, aHR 1.57, 95% CI 1.48-1.67;女性:≥37 IU/L, aHR 1.20, 95% CI 1.10-1.31)。分层分析确定了年龄(中年/老年人)、吸烟状况(从未/曾经吸烟)或饮酒(非/轻度饮酒)[结论:血清GGT水平升高与肺癌高风险相关,即使在调整吸烟状况、饮酒和慢性肝病后也是如此。这些影响在从未/曾经吸烟和非/轻度饮酒者中更为突出。临床试验号:不适用。
本文章由计算机程序翻译,如有差异,请以英文原文为准。

Serum γ-glutamyl transferase as a novel risk indicator for lung cancer: insights from four million Koreans.

Serum γ-glutamyl transferase as a novel risk indicator for lung cancer: insights from four million Koreans.

Serum γ-glutamyl transferase as a novel risk indicator for lung cancer: insights from four million Koreans.

Serum γ-glutamyl transferase as a novel risk indicator for lung cancer: insights from four million Koreans.

Background: γ-glutamyl transferase (GGT) is associated with carcinogenesis, cancer progression, and metastasis. We investigated associations between serum GGT levels and lung cancer in the Korean general population.

Methods: Individuals participating in the national health examination in 2012 were screened in the Korean National Health Information Database. Overall, 2,414,755 males and 2,032,241 females aged ≥ 20 years were followed up until December 2022. Of these individuals, 25,728 males and 11,706 females were diagnosed with lung cancer based on health-insurance claims. Serum GGT levels were categorized into quartiles Q1 (low)-Q4 (high) or deciles D1 (low)-D10 (high). Multivariate Cox proportional hazard models were used to estimate the adjusted hazard ratio (aHR) of risk factors for lung cancer.

Results: In quartile categories, the highest quartile of serum GGT levels (Q4, males: ≥54 IU/L; females: ≥24 IU/L) had the highest incidence (males: 1.24/1,000 person-years; females: 0.79/1,000 person-years) and risk (males: aHR 1.37, 95% confidence interval [CI] 1.32-1.42; females: aHR 1.13, 95% CI 1.06-1.19) of lung cancer. In the decile categories, the incidence and risk of lung cancer increased with increasing serum GGT levels, resulting in the highest risk of lung cancer in the D10 category (males: ≥93 IU/L, aHR 1.57, 95% CI 1.48-1.67; females: ≥37 IU/L, aHR 1.20, 95% CI 1.10-1.31). Stratified analyses identified age (middle-aged/older adults), smoking status (never/former smokers), or alcohol consumption (non/mild alcohol drinkers [< 10 g/day]) to be prominently associated with higher lung cancer risks.

Conclusions: Increased serum levels of GGT correlated with higher risk of lung cancer, even after adjusting for smoking status, alcohol consumption, and chronic liver disease. These effects were more prominent in never/former smokers and in non/mild alcohol drinkers.

Clinical trial number: not applicable.

求助全文
通过发布文献求助,成功后即可免费获取论文全文。 去求助
来源期刊
Respiratory Research
Respiratory Research RESPIRATORY SYSTEM-
CiteScore
9.70
自引率
1.70%
发文量
314
审稿时长
4-8 weeks
期刊介绍: Respiratory Research publishes high-quality clinical and basic research, review and commentary articles on all aspects of respiratory medicine and related diseases. As the leading fully open access journal in the field, Respiratory Research provides an essential resource for pulmonologists, allergists, immunologists and other physicians, researchers, healthcare workers and medical students with worldwide dissemination of articles resulting in high visibility and generating international discussion. Topics of specific interest include asthma, chronic obstructive pulmonary disease, cystic fibrosis, genetics, infectious diseases, interstitial lung diseases, lung development, lung tumors, occupational and environmental factors, pulmonary circulation, pulmonary pharmacology and therapeutics, respiratory immunology, respiratory physiology, and sleep-related respiratory problems.
×
引用
GB/T 7714-2015
复制
MLA
复制
APA
复制
导出至
BibTeX EndNote RefMan NoteFirst NoteExpress
×
提示
您的信息不完整,为了账户安全,请先补充。
现在去补充
×
提示
您因"违规操作"
具体请查看互助需知
我知道了
×
提示
确定
请完成安全验证×
copy
已复制链接
快去分享给好友吧!
我知道了
右上角分享
点击右上角分享
0
联系我们:info@booksci.cn Book学术提供免费学术资源搜索服务,方便国内外学者检索中英文文献。致力于提供最便捷和优质的服务体验。 Copyright © 2023 布克学术 All rights reserved.
京ICP备2023020795号-1
ghs 京公网安备 11010802042870号
Book学术文献互助
Book学术文献互助群
群 号:604180095
Book学术官方微信