妊娠中后期代谢适应的差异:卢旺达和德国之间的比较队列研究。

IF 4.3 3区 医学 Q1 PUBLIC, ENVIRONMENTAL & OCCUPATIONAL HEALTH
Alemayehu Amberbir, Madeleine Ordnung, Sage Marie Consolatrice Ishimwe, Ronald Biemann, Mandy Vogel, Wieland Kiess, Antje Körner, Balkachew Nigatu, Darius Bazimya, Theogene Uwizeyimana, Jean Baptiste Niyibizi, Daniel Seifu, Abebe Bekele, Jon Genuneit
{"title":"妊娠中后期代谢适应的差异:卢旺达和德国之间的比较队列研究。","authors":"Alemayehu Amberbir, Madeleine Ordnung, Sage Marie Consolatrice Ishimwe, Ronald Biemann, Mandy Vogel, Wieland Kiess, Antje Körner, Balkachew Nigatu, Darius Bazimya, Theogene Uwizeyimana, Jean Baptiste Niyibizi, Daniel Seifu, Abebe Bekele, Jon Genuneit","doi":"10.7189/jogh.15.04206","DOIUrl":null,"url":null,"abstract":"<p><strong>Background: </strong>While cross-ancestral differences in glucose and lipid metabolism are widely reported in adults, there is a paucity of data on pregnant women during various stages of pregnancy. There is no consensus on what defines normal lipid ranges during pregnancy. Establishing reference ranges is crucial to reduce the risk of missing associated maternal and fetal health issues. Therefore, we aimed to investigate the metabolic profiles of healthy pregnant women and to establish national Rwandan reference ranges for these metabolites.</p><p><strong>Methods: </strong>We derived the data from two ongoing longitudinal cohort studies conducted in predominantly rural Rwanda and urban Germany (Leipzig), providing repeat data from the second and third trimesters of pregnancy. We measured concentrations of glucose, total cholesterol (TC), high-density lipoprotein cholesterol (HDL), and triglycerides (TG), and estimated their associations with trimesters and cohorts using multivariable linear regression. We estimated the reference ranges using the 5th and 95th percentiles for each metabolic marker.</p><p><strong>Results: </strong>For Rwanda and Leipzig, lipids and lipoproteins increased across trimesters, except for HDL, which remained equally low for Rwanda and significantly decreased for Leipzig. Concentrations of TC, low-density lipoprotein, and non-HDL were significantly higher in Leipzig compared to Rwanda for both trimesters, while HDL was significantly lower in Rwanda. Rwanda exhibited significantly higher TG levels in the second trimester than Leipzig, although this difference did not persist into the third trimester. Glucose concentrations were significantly higher in Rwanda than in Leipzig for both trimesters.</p><p><strong>Conclusions: </strong>This is the first representative study investigating lipid and lipoprotein concentrations in pregnant women from Rwanda and comparing them to a European sample. This study shows that lipid, lipoprotein, and glucose concentrations differ by ancestry and stage of pregnancy. The higher TG and glucose concentrations in Rwanda may indicate an emerging burden of metabolic disorders in Africa.</p>","PeriodicalId":48734,"journal":{"name":"Journal of Global Health","volume":"15 ","pages":"04206"},"PeriodicalIF":4.3000,"publicationDate":"2025-07-11","publicationTypes":"Journal Article","fieldsOfStudy":null,"isOpenAccess":false,"openAccessPdf":"https://www.ncbi.nlm.nih.gov/pmc/articles/PMC12247662/pdf/","citationCount":"0","resultStr":"{\"title\":\"Differences in metabolic adaptations during mid and late pregnancy: a comparative cohort study between Rwanda and Germany.\",\"authors\":\"Alemayehu Amberbir, Madeleine Ordnung, Sage Marie Consolatrice Ishimwe, Ronald Biemann, Mandy Vogel, Wieland Kiess, Antje Körner, Balkachew Nigatu, Darius Bazimya, Theogene Uwizeyimana, Jean Baptiste Niyibizi, Daniel Seifu, Abebe Bekele, Jon Genuneit\",\"doi\":\"10.7189/jogh.15.04206\",\"DOIUrl\":null,\"url\":null,\"abstract\":\"<p><strong>Background: </strong>While cross-ancestral differences in glucose and lipid metabolism are widely reported in adults, there is a paucity of data on pregnant women during various stages of pregnancy. There is no consensus on what defines normal lipid ranges during pregnancy. Establishing reference ranges is crucial to reduce the risk of missing associated maternal and fetal health issues. Therefore, we aimed to investigate the metabolic profiles of healthy pregnant women and to establish national Rwandan reference ranges for these metabolites.</p><p><strong>Methods: </strong>We derived the data from two ongoing longitudinal cohort studies conducted in predominantly rural Rwanda and urban Germany (Leipzig), providing repeat data from the second and third trimesters of pregnancy. We measured concentrations of glucose, total cholesterol (TC), high-density lipoprotein cholesterol (HDL), and triglycerides (TG), and estimated their associations with trimesters and cohorts using multivariable linear regression. We estimated the reference ranges using the 5th and 95th percentiles for each metabolic marker.</p><p><strong>Results: </strong>For Rwanda and Leipzig, lipids and lipoproteins increased across trimesters, except for HDL, which remained equally low for Rwanda and significantly decreased for Leipzig. Concentrations of TC, low-density lipoprotein, and non-HDL were significantly higher in Leipzig compared to Rwanda for both trimesters, while HDL was significantly lower in Rwanda. Rwanda exhibited significantly higher TG levels in the second trimester than Leipzig, although this difference did not persist into the third trimester. Glucose concentrations were significantly higher in Rwanda than in Leipzig for both trimesters.</p><p><strong>Conclusions: </strong>This is the first representative study investigating lipid and lipoprotein concentrations in pregnant women from Rwanda and comparing them to a European sample. This study shows that lipid, lipoprotein, and glucose concentrations differ by ancestry and stage of pregnancy. The higher TG and glucose concentrations in Rwanda may indicate an emerging burden of metabolic disorders in Africa.</p>\",\"PeriodicalId\":48734,\"journal\":{\"name\":\"Journal of Global Health\",\"volume\":\"15 \",\"pages\":\"04206\"},\"PeriodicalIF\":4.3000,\"publicationDate\":\"2025-07-11\",\"publicationTypes\":\"Journal Article\",\"fieldsOfStudy\":null,\"isOpenAccess\":false,\"openAccessPdf\":\"https://www.ncbi.nlm.nih.gov/pmc/articles/PMC12247662/pdf/\",\"citationCount\":\"0\",\"resultStr\":null,\"platform\":\"Semanticscholar\",\"paperid\":null,\"PeriodicalName\":\"Journal of Global Health\",\"FirstCategoryId\":\"3\",\"ListUrlMain\":\"https://doi.org/10.7189/jogh.15.04206\",\"RegionNum\":3,\"RegionCategory\":\"医学\",\"ArticlePicture\":[],\"TitleCN\":null,\"AbstractTextCN\":null,\"PMCID\":null,\"EPubDate\":\"\",\"PubModel\":\"\",\"JCR\":\"Q1\",\"JCRName\":\"PUBLIC, ENVIRONMENTAL & OCCUPATIONAL HEALTH\",\"Score\":null,\"Total\":0}","platform":"Semanticscholar","paperid":null,"PeriodicalName":"Journal of Global Health","FirstCategoryId":"3","ListUrlMain":"https://doi.org/10.7189/jogh.15.04206","RegionNum":3,"RegionCategory":"医学","ArticlePicture":[],"TitleCN":null,"AbstractTextCN":null,"PMCID":null,"EPubDate":"","PubModel":"","JCR":"Q1","JCRName":"PUBLIC, ENVIRONMENTAL & OCCUPATIONAL HEALTH","Score":null,"Total":0}
引用次数: 0

摘要

背景:虽然在成人中葡萄糖和脂质代谢的跨祖先差异被广泛报道,但在妊娠不同阶段的孕妇中缺乏数据。关于怀孕期间正常血脂水平的定义尚无共识。建立参考范围对于减少缺失相关的母胎健康问题的风险至关重要。因此,我们的目的是调查健康孕妇的代谢谱,并建立这些代谢物的卢旺达国家参考范围。方法:我们从两个正在进行的纵向队列研究中获得数据,这些研究主要在卢旺达农村和德国城市(莱比锡)进行,提供了妊娠中期和晚期的重复数据。我们测量了葡萄糖、总胆固醇(TC)、高密度脂蛋白胆固醇(HDL)和甘油三酯(TG)的浓度,并使用多变量线性回归估计了它们与妊娠期和队列的相关性。我们使用每个代谢标志物的第5和第95百分位来估计参考范围。结果:对于卢旺达和莱比锡,脂质和脂蛋白在妊娠期间都有所增加,除了HDL,卢旺达的水平同样低,莱比锡的水平明显下降。莱比锡的TC、低密度脂蛋白和非高密度脂蛋白的浓度在两个妊娠期都明显高于卢旺达,而高密度脂蛋白的浓度在卢旺达明显低于卢旺达。卢旺达在妊娠中期表现出明显高于莱比锡的TG水平,尽管这种差异并没有持续到妊娠晚期。在两个妊娠期,卢旺达的葡萄糖浓度明显高于莱比锡。结论:这是调查卢旺达孕妇脂质和脂蛋白浓度的第一个代表性研究,并将其与欧洲样本进行比较。这项研究表明,脂质、脂蛋白和葡萄糖浓度因血统和妊娠阶段而异。卢旺达较高的甘油三酯和葡萄糖浓度可能表明非洲出现了代谢性疾病负担。
本文章由计算机程序翻译,如有差异,请以英文原文为准。

Differences in metabolic adaptations during mid and late pregnancy: a comparative cohort study between Rwanda and Germany.

Differences in metabolic adaptations during mid and late pregnancy: a comparative cohort study between Rwanda and Germany.

Differences in metabolic adaptations during mid and late pregnancy: a comparative cohort study between Rwanda and Germany.

Differences in metabolic adaptations during mid and late pregnancy: a comparative cohort study between Rwanda and Germany.

Background: While cross-ancestral differences in glucose and lipid metabolism are widely reported in adults, there is a paucity of data on pregnant women during various stages of pregnancy. There is no consensus on what defines normal lipid ranges during pregnancy. Establishing reference ranges is crucial to reduce the risk of missing associated maternal and fetal health issues. Therefore, we aimed to investigate the metabolic profiles of healthy pregnant women and to establish national Rwandan reference ranges for these metabolites.

Methods: We derived the data from two ongoing longitudinal cohort studies conducted in predominantly rural Rwanda and urban Germany (Leipzig), providing repeat data from the second and third trimesters of pregnancy. We measured concentrations of glucose, total cholesterol (TC), high-density lipoprotein cholesterol (HDL), and triglycerides (TG), and estimated their associations with trimesters and cohorts using multivariable linear regression. We estimated the reference ranges using the 5th and 95th percentiles for each metabolic marker.

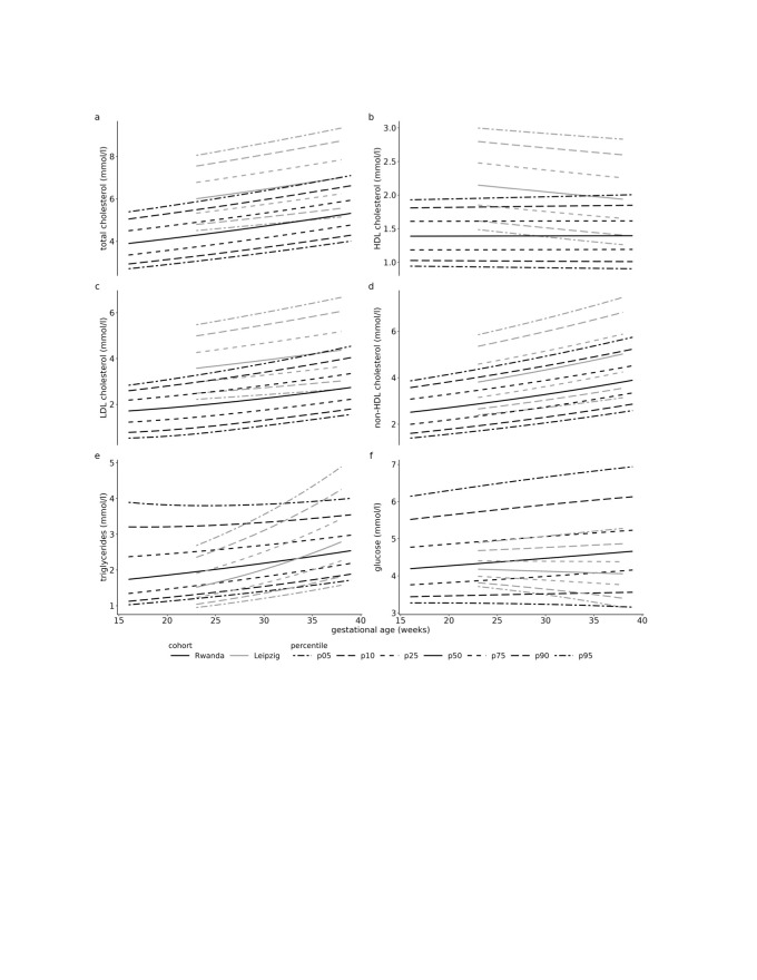
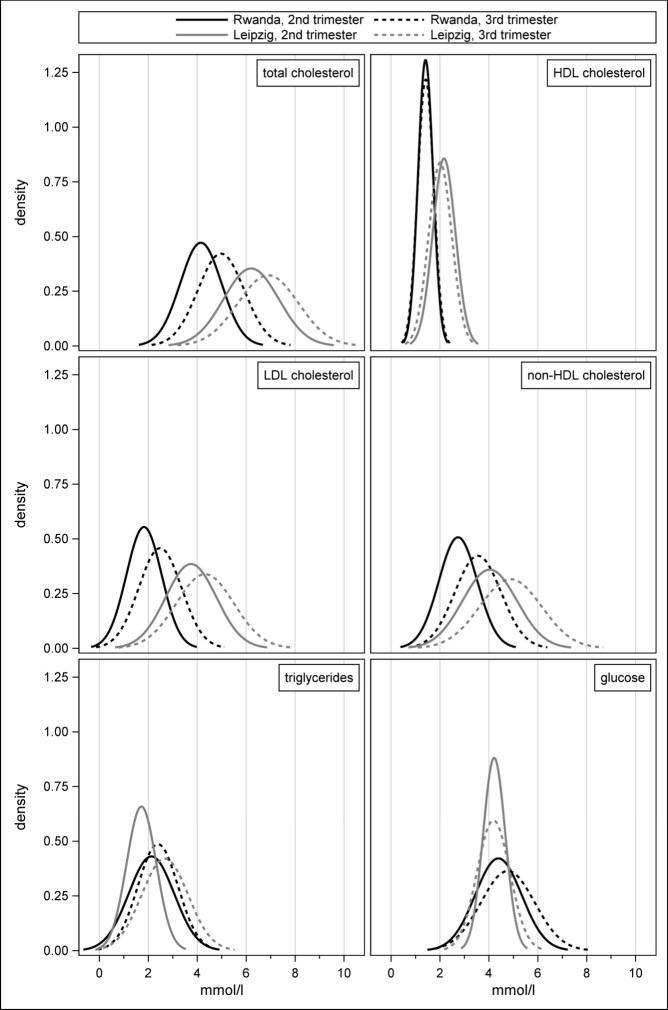
Results: For Rwanda and Leipzig, lipids and lipoproteins increased across trimesters, except for HDL, which remained equally low for Rwanda and significantly decreased for Leipzig. Concentrations of TC, low-density lipoprotein, and non-HDL were significantly higher in Leipzig compared to Rwanda for both trimesters, while HDL was significantly lower in Rwanda. Rwanda exhibited significantly higher TG levels in the second trimester than Leipzig, although this difference did not persist into the third trimester. Glucose concentrations were significantly higher in Rwanda than in Leipzig for both trimesters.

Conclusions: This is the first representative study investigating lipid and lipoprotein concentrations in pregnant women from Rwanda and comparing them to a European sample. This study shows that lipid, lipoprotein, and glucose concentrations differ by ancestry and stage of pregnancy. The higher TG and glucose concentrations in Rwanda may indicate an emerging burden of metabolic disorders in Africa.

求助全文
通过发布文献求助,成功后即可免费获取论文全文。 去求助
来源期刊
Journal of Global Health
Journal of Global Health PUBLIC, ENVIRONMENTAL & OCCUPATIONAL HEALTH -
CiteScore
6.10
自引率
2.80%
发文量
240
审稿时长
6 weeks
期刊介绍: Journal of Global Health is a peer-reviewed journal published by the Edinburgh University Global Health Society, a not-for-profit organization registered in the UK. We publish editorials, news, viewpoints, original research and review articles in two issues per year.
×
引用
GB/T 7714-2015
复制
MLA
复制
APA
复制
导出至
BibTeX EndNote RefMan NoteFirst NoteExpress
×
提示
您的信息不完整,为了账户安全,请先补充。
现在去补充
×
提示
您因"违规操作"
具体请查看互助需知
我知道了
×
提示
确定
请完成安全验证×
copy
已复制链接
快去分享给好友吧!
我知道了
右上角分享
点击右上角分享
0
联系我们:info@booksci.cn Book学术提供免费学术资源搜索服务,方便国内外学者检索中英文文献。致力于提供最便捷和优质的服务体验。 Copyright © 2023 布克学术 All rights reserved.
京ICP备2023020795号-1
ghs 京公网安备 11010802042870号
Book学术文献互助
Book学术文献互助群
群 号:604180095
Book学术官方微信