基于NLR、dNLR和SII指标构建肌肉浸润性膀胱癌新辅助方案不良预后的柱线图形模型。

IF 2.5 3区 医学 Q3 ONCOLOGY
Bo Hu, Longsheng Wang, Shanna Qu, Tao Zhang
{"title":"基于NLR、dNLR和SII指标构建肌肉浸润性膀胱癌新辅助方案不良预后的柱线图形模型。","authors":"Bo Hu, Longsheng Wang, Shanna Qu, Tao Zhang","doi":"10.1186/s12957-025-03903-1","DOIUrl":null,"url":null,"abstract":"<p><strong>Background: </strong>To study the effect and predict the value of neoadjuvant treatment regimen for muscle invasive bladder cancer (MIBC) by construction of a columnar graphical model of patients by neutrophil-to-lymphocyte ratio (NLR), derived neutrophil-to-lymphocyte ratio (dNLR), and systemic immune-inflammatory index (SII) indexes.</p><p><strong>Methods: </strong>265 patients with MIBC included from May 2022 to May 2024 were retrospectively selected to receive neoadjuvant treatment regimen respectively with treatment effect assessed, among which those achieving complete response (CR), partial response (PR), or stable disease (SD) were included in responders group and those with progressive disease (PD) in non-responders group. Clinical data of both groups were compared, related factors affecting the poor outcome after neoadjuvant therapy for MIBC were analyzed by Logistic regression, ensued with analysis of predictive value of poor prognosis by construction of a columnar graph model based on the NLR, dNLR and SII indexes.</p><p><strong>Results: </strong>A total of 265 patients with MIBC were included in this paper with a disease control rate (DCR) of 84.53% (224/265) after treatment with neoadjuvant regimen, among which 224 cases with controlled disease were involved in responders group and the remaining 41 cases with PD in non-responders group. Significant differences were observed between the two groups in terms of the degree of differentiation, tumor stage, NLR, dNLR and SII index levels (P < 0.05). After the diagnosis of covariance, the VIF values of the degree of differentiation and tumor stage were 5.535 and 5.582 respectively with a tolerance of 0.181 and 0.179, indicating that there existed a covariance problem (VIF value > 5) and could be moved out of the model followed by secondary analysis. Variables with P < 0.05 in the univariate factors were involved in the multivariate Logistic regression model with results showing that NLR, dNLR, and SII were all influential factors for the poor outcome of neoadjuvant regimens after treatment of MIBC (P < 0.05). Next, the column line graph, calibration curve and ROC curve graph were constructed. It was found that the AUC of the column line graph model in predicting poor outcome after neoadjuvant regimen for MIBC registered 0.995 (95% CI: 0.99-1.00), which was valuable in predicting poor outcome after neoadjuvant regimen for MIBC. CYFRA21-1, NMP22, and BTA were significantly higher in the poor response group than in the response group (P < 0.05), and CYFRA21-1, NMP22, and BTA showed a positive correlation with NLR, dNLR, and SII in both groups, respectively (P < 0.05).</p><p><strong>Conclusion: </strong>The neoadjuvant treatment program in patients with MIBC performed better, but some patients might still have a poor outcome with higher levels of NLR, dNLR and SII compared to those with a good outcome. In addition, the value of the combination of the three indicators in the prediction of the neoadjuvant treatment program displayed better performance, which was able to provide reference value for clinical decision-making.</p>","PeriodicalId":23856,"journal":{"name":"World Journal of Surgical Oncology","volume":"23 1","pages":"274"},"PeriodicalIF":2.5000,"publicationDate":"2025-07-10","publicationTypes":"Journal Article","fieldsOfStudy":null,"isOpenAccess":false,"openAccessPdf":"https://www.ncbi.nlm.nih.gov/pmc/articles/PMC12247270/pdf/","citationCount":"0","resultStr":"{\"title\":\"Construction of a column-line graphical model of poor outcome of neoadjuvant regimens for muscle-invasive bladder cancer based on NLR, dNLR and SII indicators.\",\"authors\":\"Bo Hu, Longsheng Wang, Shanna Qu, Tao Zhang\",\"doi\":\"10.1186/s12957-025-03903-1\",\"DOIUrl\":null,\"url\":null,\"abstract\":\"<p><strong>Background: </strong>To study the effect and predict the value of neoadjuvant treatment regimen for muscle invasive bladder cancer (MIBC) by construction of a columnar graphical model of patients by neutrophil-to-lymphocyte ratio (NLR), derived neutrophil-to-lymphocyte ratio (dNLR), and systemic immune-inflammatory index (SII) indexes.</p><p><strong>Methods: </strong>265 patients with MIBC included from May 2022 to May 2024 were retrospectively selected to receive neoadjuvant treatment regimen respectively with treatment effect assessed, among which those achieving complete response (CR), partial response (PR), or stable disease (SD) were included in responders group and those with progressive disease (PD) in non-responders group. Clinical data of both groups were compared, related factors affecting the poor outcome after neoadjuvant therapy for MIBC were analyzed by Logistic regression, ensued with analysis of predictive value of poor prognosis by construction of a columnar graph model based on the NLR, dNLR and SII indexes.</p><p><strong>Results: </strong>A total of 265 patients with MIBC were included in this paper with a disease control rate (DCR) of 84.53% (224/265) after treatment with neoadjuvant regimen, among which 224 cases with controlled disease were involved in responders group and the remaining 41 cases with PD in non-responders group. Significant differences were observed between the two groups in terms of the degree of differentiation, tumor stage, NLR, dNLR and SII index levels (P < 0.05). After the diagnosis of covariance, the VIF values of the degree of differentiation and tumor stage were 5.535 and 5.582 respectively with a tolerance of 0.181 and 0.179, indicating that there existed a covariance problem (VIF value > 5) and could be moved out of the model followed by secondary analysis. Variables with P < 0.05 in the univariate factors were involved in the multivariate Logistic regression model with results showing that NLR, dNLR, and SII were all influential factors for the poor outcome of neoadjuvant regimens after treatment of MIBC (P < 0.05). Next, the column line graph, calibration curve and ROC curve graph were constructed. It was found that the AUC of the column line graph model in predicting poor outcome after neoadjuvant regimen for MIBC registered 0.995 (95% CI: 0.99-1.00), which was valuable in predicting poor outcome after neoadjuvant regimen for MIBC. CYFRA21-1, NMP22, and BTA were significantly higher in the poor response group than in the response group (P < 0.05), and CYFRA21-1, NMP22, and BTA showed a positive correlation with NLR, dNLR, and SII in both groups, respectively (P < 0.05).</p><p><strong>Conclusion: </strong>The neoadjuvant treatment program in patients with MIBC performed better, but some patients might still have a poor outcome with higher levels of NLR, dNLR and SII compared to those with a good outcome. In addition, the value of the combination of the three indicators in the prediction of the neoadjuvant treatment program displayed better performance, which was able to provide reference value for clinical decision-making.</p>\",\"PeriodicalId\":23856,\"journal\":{\"name\":\"World Journal of Surgical Oncology\",\"volume\":\"23 1\",\"pages\":\"274\"},\"PeriodicalIF\":2.5000,\"publicationDate\":\"2025-07-10\",\"publicationTypes\":\"Journal Article\",\"fieldsOfStudy\":null,\"isOpenAccess\":false,\"openAccessPdf\":\"https://www.ncbi.nlm.nih.gov/pmc/articles/PMC12247270/pdf/\",\"citationCount\":\"0\",\"resultStr\":null,\"platform\":\"Semanticscholar\",\"paperid\":null,\"PeriodicalName\":\"World Journal of Surgical Oncology\",\"FirstCategoryId\":\"3\",\"ListUrlMain\":\"https://doi.org/10.1186/s12957-025-03903-1\",\"RegionNum\":3,\"RegionCategory\":\"医学\",\"ArticlePicture\":[],\"TitleCN\":null,\"AbstractTextCN\":null,\"PMCID\":null,\"EPubDate\":\"\",\"PubModel\":\"\",\"JCR\":\"Q3\",\"JCRName\":\"ONCOLOGY\",\"Score\":null,\"Total\":0}","platform":"Semanticscholar","paperid":null,"PeriodicalName":"World Journal of Surgical Oncology","FirstCategoryId":"3","ListUrlMain":"https://doi.org/10.1186/s12957-025-03903-1","RegionNum":3,"RegionCategory":"医学","ArticlePicture":[],"TitleCN":null,"AbstractTextCN":null,"PMCID":null,"EPubDate":"","PubModel":"","JCR":"Q3","JCRName":"ONCOLOGY","Score":null,"Total":0}
引用次数: 0

摘要

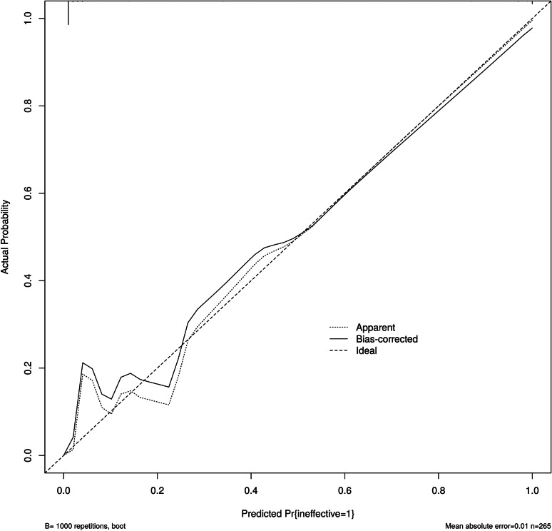
背景:以中性粒细胞与淋巴细胞比值(NLR)、衍生性中性粒细胞与淋巴细胞比值(dNLR)和全身免疫炎症指数(SII)为指标,构建患者柱状图模型,研究新辅助治疗方案对肌肉浸润性膀胱癌(MIBC)的治疗效果并预测其价值。方法:回顾性选择2022年5月至2024年5月纳入的265例MIBC患者,分别接受新辅助治疗方案并评估治疗效果,其中完全缓解(CR)、部分缓解(PR)、病情稳定(SD)者为反应组,进展性疾病(PD)者为无反应组。比较两组患者的临床资料,采用Logistic回归分析影响MIBC新辅助治疗后不良预后的相关因素,并基于NLR、dNLR和SII指标构建柱状图模型,分析不良预后的预测值。结果:本文共纳入265例MIBC患者,经新辅助方案治疗后疾病控制率(DCR)为84.53%(224/265),其中反应组疾病控制224例,无反应组PD 41例。两组在分化程度、肿瘤分期、NLR、dNLR、SII指数水平上差异均有统计学意义(P < 0.05),可移出模型进行二次分析。结论:新辅助治疗方案对MIBC患者疗效较好,但部分患者预后较差,NLR、dNLR和SII水平高于预后较好的患者。此外,三个指标的组合对新辅助治疗方案的预测价值表现较好,能够为临床决策提供参考价值。
本文章由计算机程序翻译,如有差异,请以英文原文为准。

Construction of a column-line graphical model of poor outcome of neoadjuvant regimens for muscle-invasive bladder cancer based on NLR, dNLR and SII indicators.

Construction of a column-line graphical model of poor outcome of neoadjuvant regimens for muscle-invasive bladder cancer based on NLR, dNLR and SII indicators.

Construction of a column-line graphical model of poor outcome of neoadjuvant regimens for muscle-invasive bladder cancer based on NLR, dNLR and SII indicators.

Construction of a column-line graphical model of poor outcome of neoadjuvant regimens for muscle-invasive bladder cancer based on NLR, dNLR and SII indicators.

Background: To study the effect and predict the value of neoadjuvant treatment regimen for muscle invasive bladder cancer (MIBC) by construction of a columnar graphical model of patients by neutrophil-to-lymphocyte ratio (NLR), derived neutrophil-to-lymphocyte ratio (dNLR), and systemic immune-inflammatory index (SII) indexes.

Methods: 265 patients with MIBC included from May 2022 to May 2024 were retrospectively selected to receive neoadjuvant treatment regimen respectively with treatment effect assessed, among which those achieving complete response (CR), partial response (PR), or stable disease (SD) were included in responders group and those with progressive disease (PD) in non-responders group. Clinical data of both groups were compared, related factors affecting the poor outcome after neoadjuvant therapy for MIBC were analyzed by Logistic regression, ensued with analysis of predictive value of poor prognosis by construction of a columnar graph model based on the NLR, dNLR and SII indexes.

Results: A total of 265 patients with MIBC were included in this paper with a disease control rate (DCR) of 84.53% (224/265) after treatment with neoadjuvant regimen, among which 224 cases with controlled disease were involved in responders group and the remaining 41 cases with PD in non-responders group. Significant differences were observed between the two groups in terms of the degree of differentiation, tumor stage, NLR, dNLR and SII index levels (P < 0.05). After the diagnosis of covariance, the VIF values of the degree of differentiation and tumor stage were 5.535 and 5.582 respectively with a tolerance of 0.181 and 0.179, indicating that there existed a covariance problem (VIF value > 5) and could be moved out of the model followed by secondary analysis. Variables with P < 0.05 in the univariate factors were involved in the multivariate Logistic regression model with results showing that NLR, dNLR, and SII were all influential factors for the poor outcome of neoadjuvant regimens after treatment of MIBC (P < 0.05). Next, the column line graph, calibration curve and ROC curve graph were constructed. It was found that the AUC of the column line graph model in predicting poor outcome after neoadjuvant regimen for MIBC registered 0.995 (95% CI: 0.99-1.00), which was valuable in predicting poor outcome after neoadjuvant regimen for MIBC. CYFRA21-1, NMP22, and BTA were significantly higher in the poor response group than in the response group (P < 0.05), and CYFRA21-1, NMP22, and BTA showed a positive correlation with NLR, dNLR, and SII in both groups, respectively (P < 0.05).

Conclusion: The neoadjuvant treatment program in patients with MIBC performed better, but some patients might still have a poor outcome with higher levels of NLR, dNLR and SII compared to those with a good outcome. In addition, the value of the combination of the three indicators in the prediction of the neoadjuvant treatment program displayed better performance, which was able to provide reference value for clinical decision-making.

求助全文
通过发布文献求助,成功后即可免费获取论文全文。 去求助
来源期刊
CiteScore
4.70
自引率
15.60%
发文量
362
审稿时长
3 months
期刊介绍: World Journal of Surgical Oncology publishes articles related to surgical oncology and its allied subjects, such as epidemiology, cancer research, biomarkers, prevention, pathology, radiology, cancer treatment, clinical trials, multimodality treatment and molecular biology. Emphasis is placed on original research articles. The journal also publishes significant clinical case reports, as well as balanced and timely reviews on selected topics. Oncology is a multidisciplinary super-speciality of which surgical oncology forms an integral component, especially with solid tumors. Surgical oncologists around the world are involved in research extending from detecting the mechanisms underlying the causation of cancer, to its treatment and prevention. The role of a surgical oncologist extends across the whole continuum of care. With continued developments in diagnosis and treatment, the role of a surgical oncologist is ever-changing. Hence, World Journal of Surgical Oncology aims to keep readers abreast with latest developments that will ultimately influence the work of surgical oncologists.
×
引用
GB/T 7714-2015
复制
MLA
复制
APA
复制
导出至
BibTeX EndNote RefMan NoteFirst NoteExpress
×
提示
您的信息不完整,为了账户安全,请先补充。
现在去补充
×
提示
您因"违规操作"
具体请查看互助需知
我知道了
×
提示
确定
请完成安全验证×
copy
已复制链接
快去分享给好友吧!
我知道了
右上角分享
点击右上角分享
0
联系我们:info@booksci.cn Book学术提供免费学术资源搜索服务,方便国内外学者检索中英文文献。致力于提供最便捷和优质的服务体验。 Copyright © 2023 布克学术 All rights reserved.
京ICP备2023020795号-1
ghs 京公网安备 11010802042870号
Book学术文献互助
Book学术文献互助群
群 号:604180095
Book学术官方微信