伊拉克巴士拉市产妇和脐带血中的铅和铁水平。

Q3 Medicine
Balqees Kadhim Hasan, Jafar Sadek Abdulazeez, Meaad Kadhum Hassan, Hamid Jaddoah Abbas, Lamia Mustafa Al-Naama
{"title":"伊拉克巴士拉市产妇和脐带血中的铅和铁水平。","authors":"Balqees Kadhim Hasan, Jafar Sadek Abdulazeez, Meaad Kadhum Hassan, Hamid Jaddoah Abbas, Lamia Mustafa Al-Naama","doi":"10.18295/2075-0528.2840","DOIUrl":null,"url":null,"abstract":"<p><strong>Objectives: </strong>Lead can pass from a mother to her developing foetus and is associated with well-established risks for the foetus. This study aimed to evaluate maternal and cord iron and lead levels and study the association of maternal and cord blood lead levels (BLLs) with newborn anthropometric measurements.</p><p><strong>Methods: </strong>This cross-sectional study was conducted at Basra Maternity and Children Hospital, Basrah, Iraq, and included women and their newborns over the period from January through June 2023. Blood samples from mothers and umbilical cords were collected and sent to determine the complete blood count and lead and iron levels. Linear regression and Pearson correlation were used to assess the association of maternal and cord BLLs with different maternal and neonatal variables.</p><p><strong>Results: </strong>A total of 140 women and their newborns were included in this study. There was a significantly lower maternal haemoglobin (10.6 ± 1.4 g/dL) and serum iron (93.5 ± 44.8 μg/dL) levels compared to newborn levels (13.3 ± 1.8 g/dL and 135.0 ± 76.5 μg/dL, respectively; <i>P</i> <0.001). A significant negative correlation between maternal haemoglobin and cord BLLs (R2 = 0.12; <i>P</i> < 0.001) and a significant positive correlation between maternal and cord iron (B = 0.41; <i>P</i> < 0.05) levels and maternal BLLs with both cord iron (B = 4.78; <i>P</i> <0.05) and cord BLLs (R2 = 0.29; <i>P</i> <0.001) were reported. Furthermore, the Pearson correlation revealed a significant negative correlation between cord BLLs and infant birth weight (R2 = 0.06; <i>P</i> = 0.01).</p><p><strong>Conclusions: </strong>This study found that maternal BLLs were positively associated with both cord iron and cord BLLs. The cord BLL was negatively associated with maternal haemoglobin levels and infant birth weight. Preventive measures to reduce human lead exposure and monitor lead levels in pregnant women are important.</p>","PeriodicalId":22083,"journal":{"name":"Sultan Qaboos University Medical Journal","volume":"25 1","pages":"319-327"},"PeriodicalIF":0.0000,"publicationDate":"2025-05-02","publicationTypes":"Journal Article","fieldsOfStudy":null,"isOpenAccess":false,"openAccessPdf":"https://www.ncbi.nlm.nih.gov/pmc/articles/PMC12244235/pdf/","citationCount":"0","resultStr":"{\"title\":\"Lead and Iron Levels in Maternal and Umbilical Cord Blood in Basrah, Iraq.\",\"authors\":\"Balqees Kadhim Hasan, Jafar Sadek Abdulazeez, Meaad Kadhum Hassan, Hamid Jaddoah Abbas, Lamia Mustafa Al-Naama\",\"doi\":\"10.18295/2075-0528.2840\",\"DOIUrl\":null,\"url\":null,\"abstract\":\"<p><strong>Objectives: </strong>Lead can pass from a mother to her developing foetus and is associated with well-established risks for the foetus. This study aimed to evaluate maternal and cord iron and lead levels and study the association of maternal and cord blood lead levels (BLLs) with newborn anthropometric measurements.</p><p><strong>Methods: </strong>This cross-sectional study was conducted at Basra Maternity and Children Hospital, Basrah, Iraq, and included women and their newborns over the period from January through June 2023. Blood samples from mothers and umbilical cords were collected and sent to determine the complete blood count and lead and iron levels. Linear regression and Pearson correlation were used to assess the association of maternal and cord BLLs with different maternal and neonatal variables.</p><p><strong>Results: </strong>A total of 140 women and their newborns were included in this study. There was a significantly lower maternal haemoglobin (10.6 ± 1.4 g/dL) and serum iron (93.5 ± 44.8 μg/dL) levels compared to newborn levels (13.3 ± 1.8 g/dL and 135.0 ± 76.5 μg/dL, respectively; <i>P</i> <0.001). A significant negative correlation between maternal haemoglobin and cord BLLs (R2 = 0.12; <i>P</i> < 0.001) and a significant positive correlation between maternal and cord iron (B = 0.41; <i>P</i> < 0.05) levels and maternal BLLs with both cord iron (B = 4.78; <i>P</i> <0.05) and cord BLLs (R2 = 0.29; <i>P</i> <0.001) were reported. Furthermore, the Pearson correlation revealed a significant negative correlation between cord BLLs and infant birth weight (R2 = 0.06; <i>P</i> = 0.01).</p><p><strong>Conclusions: </strong>This study found that maternal BLLs were positively associated with both cord iron and cord BLLs. The cord BLL was negatively associated with maternal haemoglobin levels and infant birth weight. Preventive measures to reduce human lead exposure and monitor lead levels in pregnant women are important.</p>\",\"PeriodicalId\":22083,\"journal\":{\"name\":\"Sultan Qaboos University Medical Journal\",\"volume\":\"25 1\",\"pages\":\"319-327\"},\"PeriodicalIF\":0.0000,\"publicationDate\":\"2025-05-02\",\"publicationTypes\":\"Journal Article\",\"fieldsOfStudy\":null,\"isOpenAccess\":false,\"openAccessPdf\":\"https://www.ncbi.nlm.nih.gov/pmc/articles/PMC12244235/pdf/\",\"citationCount\":\"0\",\"resultStr\":null,\"platform\":\"Semanticscholar\",\"paperid\":null,\"PeriodicalName\":\"Sultan Qaboos University Medical Journal\",\"FirstCategoryId\":\"1085\",\"ListUrlMain\":\"https://doi.org/10.18295/2075-0528.2840\",\"RegionNum\":0,\"RegionCategory\":null,\"ArticlePicture\":[],\"TitleCN\":null,\"AbstractTextCN\":null,\"PMCID\":null,\"EPubDate\":\"\",\"PubModel\":\"\",\"JCR\":\"Q3\",\"JCRName\":\"Medicine\",\"Score\":null,\"Total\":0}","platform":"Semanticscholar","paperid":null,"PeriodicalName":"Sultan Qaboos University Medical Journal","FirstCategoryId":"1085","ListUrlMain":"https://doi.org/10.18295/2075-0528.2840","RegionNum":0,"RegionCategory":null,"ArticlePicture":[],"TitleCN":null,"AbstractTextCN":null,"PMCID":null,"EPubDate":"","PubModel":"","JCR":"Q3","JCRName":"Medicine","Score":null,"Total":0}
引用次数: 0

摘要

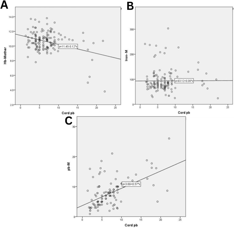
目的:铅可以从母亲传递给她发育中的胎儿,并与胎儿的既定风险相关。本研究旨在评估产妇和脐带血铁和铅水平,并研究产妇和脐带血铅水平(BLLs)与新生儿人体测量的关系。方法:这项横断面研究是在伊拉克巴士拉的巴士拉妇幼医院进行的,研究对象包括2023年1月至6月期间的妇女及其新生儿。从母亲和脐带采集血液样本并送去测定全血细胞计数和铅和铁水平。采用线性回归和Pearson相关来评估产妇和脐带bll与不同产妇和新生儿变量的关系。结果:本研究共纳入140名妇女及其新生儿。产妇血红蛋白(10.6±1.4 g/dL)和血清铁(93.5±44.8 μg/dL)水平分别低于新生儿(13.3±1.8 g/dL和135.0±76.5 μg/dL)水平;P < 0.001),母体铁与脐带铁呈显著正相关(B = 0.41;P < 0.05)水平和双脐带铁母亲bll (B = 4.78;P P P = 0.01)。结论:本研究发现母亲的血氧损伤与脐带铁和脐带血氧损伤呈正相关。脐带BLL与母亲血红蛋白水平和婴儿出生体重呈负相关。减少人体铅接触和监测孕妇铅水平的预防措施很重要。
本文章由计算机程序翻译,如有差异,请以英文原文为准。

Lead and Iron Levels in Maternal and Umbilical Cord Blood in Basrah, Iraq.

Lead and Iron Levels in Maternal and Umbilical Cord Blood in Basrah, Iraq.

Lead and Iron Levels in Maternal and Umbilical Cord Blood in Basrah, Iraq.

Lead and Iron Levels in Maternal and Umbilical Cord Blood in Basrah, Iraq.

Objectives: Lead can pass from a mother to her developing foetus and is associated with well-established risks for the foetus. This study aimed to evaluate maternal and cord iron and lead levels and study the association of maternal and cord blood lead levels (BLLs) with newborn anthropometric measurements.

Methods: This cross-sectional study was conducted at Basra Maternity and Children Hospital, Basrah, Iraq, and included women and their newborns over the period from January through June 2023. Blood samples from mothers and umbilical cords were collected and sent to determine the complete blood count and lead and iron levels. Linear regression and Pearson correlation were used to assess the association of maternal and cord BLLs with different maternal and neonatal variables.

Results: A total of 140 women and their newborns were included in this study. There was a significantly lower maternal haemoglobin (10.6 ± 1.4 g/dL) and serum iron (93.5 ± 44.8 μg/dL) levels compared to newborn levels (13.3 ± 1.8 g/dL and 135.0 ± 76.5 μg/dL, respectively; P <0.001). A significant negative correlation between maternal haemoglobin and cord BLLs (R2 = 0.12; P < 0.001) and a significant positive correlation between maternal and cord iron (B = 0.41; P < 0.05) levels and maternal BLLs with both cord iron (B = 4.78; P <0.05) and cord BLLs (R2 = 0.29; P <0.001) were reported. Furthermore, the Pearson correlation revealed a significant negative correlation between cord BLLs and infant birth weight (R2 = 0.06; P = 0.01).

Conclusions: This study found that maternal BLLs were positively associated with both cord iron and cord BLLs. The cord BLL was negatively associated with maternal haemoglobin levels and infant birth weight. Preventive measures to reduce human lead exposure and monitor lead levels in pregnant women are important.

求助全文
通过发布文献求助,成功后即可免费获取论文全文。 去求助
来源期刊
CiteScore
2.00
自引率
0.00%
发文量
86
审稿时长
7 weeks
×
引用
GB/T 7714-2015
复制
MLA
复制
APA
复制
导出至
BibTeX EndNote RefMan NoteFirst NoteExpress
×
提示
您的信息不完整,为了账户安全,请先补充。
现在去补充
×
提示
您因"违规操作"
具体请查看互助需知
我知道了
×
提示
确定
请完成安全验证×
copy
已复制链接
快去分享给好友吧!
我知道了
右上角分享
点击右上角分享
0
联系我们:info@booksci.cn Book学术提供免费学术资源搜索服务,方便国内外学者检索中英文文献。致力于提供最便捷和优质的服务体验。 Copyright © 2023 布克学术 All rights reserved.
京ICP备2023020795号-1
ghs 京公网安备 11010802042870号
Book学术文献互助
Book学术文献互助群
群 号:604180095
Book学术官方微信